血液透析用水處理設備注冊審查指導原則(2024年修訂版)(2024年第19號)
附件:血液透析用水處理設備注冊審查指導原則(2024年修訂版)(2024年第19號).doc血液透析用水處理設備注冊審查指導原則(2024年修訂版)本指導原則旨在指導注冊申請人對血液透析用水處理設備注冊申報資料的準備及撰寫,同時也為技術審評部門提供參考。本指導原則是對血液透析用水處理設備的一般要求,注冊申請人依據產品的具體特性確定其中內容是否適用。若不適用,要具體闡述理由及相應的科學依據,并依據產
來源:醫療器械注冊代辦 發布日期:2025-03-31 閱讀量:次
附件:人MTHFR基因多態性檢測試劑注冊審查指導原則(2025年第4號).doc
本指導原則旨在指導注冊申請人對MTHFR基因多態性檢測試劑注冊申報資料的準備及撰寫,同時也為技術審評部門對注冊申報資料的技術審評提供參考。
本指導原則是對MTHFR基因多態性檢測試劑的一般要求,申請人應依據產品的具體特性確定其中內容是否適用,若不適用,需具體闡述理由及相應的科學依據,并依據產品的具體特性對注冊申報資料的內容進行充實和細化。
本指導原則是供注冊申請人和技術審評人員使用的指導性文件,但不包括注冊審批所涉及的行政事項,也不作為法規強制執行,如有能夠滿足相關法規要求的其他方法,也可以采用,但需要提供詳細的研究資料和驗證資料,相關人員應在遵循相關法規的前提下使用本指導原則。
本指導原則是在現行法規和標準體系以及當前認知水平下制定的,隨著法規和標準的不斷完善,以及科學技術的不斷發展,本指導原則的相關內容也將適時進行調整。
本指導原則適用于采用熒光探針PCR法,對預期或正在服用葉酸的高同型半胱氨酸血癥患者的靜脈全血或口腔拭子等樣本DNA中的MTHFR基因多態性進行體外定性檢測的試劑,用于葉酸的用藥指導。
對于采用其他分子生物學檢測方法或其他樣本類型的MTHFR基因多態性檢測試劑,可能部分要求不完全適用或本文所述內容不夠全面,申請人可參照本指導原則,根據產品特性對適用部分進行評價,并補充其他的評價資料。
亞甲基四氫葉酸還原酶(methylene tetrahydrofolate reductase,MTHFR)基因位于1號染色體lp36.3位置,基因全長19.3kb,含有11個外顯子和10個內含子。MTHFR基因編碼的MTHFR酶是機體葉酸-甲硫氨酸代謝過程中的關鍵酶,催化5,10-亞甲基四氫葉酸還原為5-甲基四氫葉酸,而5-甲基四氫葉酸是同型半胱氨酸(Homocysteine,Hcy)體內代謝的重要底物。
MTHFR基因有多個單核苷酸多態性突變位點,MTHFR基因多態性可導致MTHFR酶活性改變,使機體活性葉酸水平降低及Hcy水平升高,從而導致心腦血管疾病及不良妊娠等相關疾病的發生,例如C677T(rs1801133)位點。MTHFR基因C677T(rs1801133)突變導致MTHFR酶活性及穩定性下降,與野生型(CC)相比雜合突變型(CT)使MTHFR酶活性下降30%,純合突變型(TT)使MTHFR酶活性下降65%~70%。
中國高血壓患者存在高Hcy、低葉酸現象,MTHFR基因 C677T(rs1801133)位點TT基因型可以進一步增加H型高血壓腦卒中發病風險,MTHFR基因檢測可為臨床H型高血壓的危險分層提供參考。
對MTHFR基因C677T(rs1801133)位點進行基因多態性檢測,有助于制定合理的葉酸補充方案。
本指導原則適用于MTHFR基因多態性檢測試劑注冊申請和變更注冊申請的情形。本指導原則僅針對MTHFR基因多態性檢測試劑注冊申報資料中的部分內容進行撰寫,其他未盡事宜應當符合《關于公布體外診斷試劑注冊申報資料要求和批準證明文件格式的公告》等相關法規要求。
(一)監管信息
1. 產品名稱及分類編碼
產品名稱應符合《體外診斷試劑注冊與備案管理辦法》及相關法規的要求,如MTHFR基因多態性檢測試劑盒(熒光PCR法)。根據《體外診斷試劑分類目錄》,該產品按照第三類體外診斷試劑管理,分類編碼為6840。
2. 其他信息還包括產品列表、關聯文件、申報前與監管機構的聯系情況和溝通記錄以及符合性聲明等文件。
(二)綜述資料
綜述資料主要包括概述、產品描述、預期用途、申報產品上市歷史及其他需說明的內容。其中,同類產品上市情況介紹部分應著重從技術原理、預期用途、被測靶標(基因多態性位點)、性能指標、臨床應用情況等方面詳細說明申報產品與目前市場上已獲批準的同類產品之間的主要區別。此外,還應說明被測靶標純合突變型和雜合突變型在中國人群的發生頻率。
若被測靶標為新的多態性位點,申請人還應提交支持資料,以證明:1.攜帶新位點等位基因所編碼的MTHFR酶的活性和穩定性變化情況;2.攜帶新位點等位基因的患者,其葉酸—甲硫氨酸代謝過程的預期變化;3.提交充分的臨床證據證明新位點的臨床意義。
(三)非臨床資料
1. 產品技術要求及檢驗報告
注冊申請人應當在原材料質量和生產工藝穩定的前提下,根據產品研制、前期評價結果等,依據國家標準、行業標準及有關文獻資料,結合產品特性按照《醫療器械產品技術要求編寫指導原則》的要求編寫。該類產品作為第三類體外診斷試劑,應當以附錄形式明確主要原材料及生產工藝要求。
第三類體外診斷試劑應當提供三個不同生產批次產品的檢驗報告。如有適用的國家參考品發布,技術要求中需體現國家參考品的相關要求。可提交申請人出具的自檢報告或委托有資質的醫療器械檢驗機構出具的檢驗報告。
如有適用的國家標準、行業標準,產品技術要求的相關要求應不低于相應的要求。
2. 分析性能研究
注冊申請人應采用在符合質量管理體系的環境下生產的試劑盒進行所有分析性能研究,并提交詳細的性能評估資料,包括試驗方案、試驗數據、統計分析結果及結論等詳細資料。有關分析性能研究的背景信息也應在資料中有所體現,包括實驗地點、適用儀器、試劑規格、批號等。分析性能評估的試驗方法可參考國際或國內有關體外診斷試劑性能評估指導原則進行,每項性能評估應采用與適用樣本類型一致的臨床樣本。對于本類產品建議著重從以下分析性能進行研究。
2.1樣本穩定性
樣本穩定性研究主要包括核酸提取純化前樣本的穩定性和提取純化后核酸的穩定性兩方面。在包含最不利條件情形的儲存條件下儲存,每間隔一定的時間段即對儲存樣本進行分析驗證。適于冷凍保存的樣本還應對凍融次數進行評價。如聲稱多種適用樣本類型,注冊申請人應針對不同樣本類型分別進行樣本穩定性研究。
樣本穩定性研究應涵蓋檢測位點的野生型、雜合突變型和純合突變型樣本。
2.2適用的樣本類型
列明產品適用的樣本類型。應采用合理方法對每種樣本類型進行適用性研究確認,對于全血樣本還需考察不同抗凝劑的適用性。對于不可比樣本應分別提交相應的分析性能研究資料。
2.3準確度
采用申報試劑與測序結果或已上市產品,使用臨床樣本采用方法學比對的方法進行申報試劑的準確度評價。
樣本應涵蓋野生型和所有多態性位點的雜合突變型、純合突變型。
2.4企業參考品驗證
根據主要原材料研究資料中的企業參考品設置情況,采用三批產品對企業參考品進行檢驗并提供詳細的試驗數據。
2.5精密度
精密度評價應采用臨床樣本進行試驗,試驗操作完全按照說明書執行,包含核酸提取/純化等樣本處理步驟。樣本應至少涵蓋所有多態性位點的雜合突變型。
精密度評價需滿足如下要求:
2.5.1對可能影響檢測精密度的主要因素進行驗證,除檢測試劑(包括核酸提取/純化組分)本身外,還應考慮儀器、操作者、地點、時間、運行、試劑批次等因素。
2.5.2設定合理的精密度評價周期,對批內/批間、日內/日間實驗室間以及操作者之間的精密度進行綜合評價。
2.5.3用于精密度評價的臨床樣本建議至少包含檢出限附近水平和中/高濃度水平,檢測結果應與預期結果一致。
2.5.4申請人應結合產品特點,對精密度指標評價標準做出合理要求,如CV值。
2.6檢出限
2.6.1檢出限的確定
MTHFR基因多態性檢測試劑的檢出限可定義為:在滿足一定的檢測準確性和精密度的條件下,能夠檢出目標基因的最低人基因組DNA濃度。檢出限評價建議采用臨床樣本,并至少包含所有多態性位點的雜合突變型。
可采用梯度濃度的人基因組DNA樣本進行多次重復檢測,將95%檢出率(n≥20)水平下的最低人基因組DNA濃度,確定為檢出限。系列稀釋度應能夠覆蓋大部分檢出概率區間(0~100%),可根據各濃度梯度檢測結果直接判定,也可通過概率計算或其他適當方法進行測算。
2.6.2檢出限的驗證
另外選擇不同來源的至少3個臨床樣本在檢出限濃度水平進行驗證,進行至少20次檢測,應達到95%檢出率要求。
檢出限驗證的樣本型別應覆蓋所有多態性位點的不同基因型別。
同時,申請人亦應評價申報產品可準確檢出的人基因組DNA濃度上限,即適當檢出率水平下的最高人基因組DNA濃度。
應提供詳細的樣本型別和濃度的確定方法。
2.7分析特異性
2.7.1交叉反應
應針對靶基因序列相近或同源性序列(例如MTHFR的其他位點突變序列)進行交叉反應驗證,同時申請人還應驗證檢測范圍內各突變位點間的交叉干擾(如適用)。說明交叉反應樣本的制備方法、核酸序列確認方法,提交詳細的驗證資料。
2.7.2干擾物質
應針對可能的內源和外源性干擾物進行干擾試驗研究。干擾物的選擇與所用樣本類型有關,例如:對于全血樣本,內源干擾物主要涉及血脂、膽紅素、血紅蛋白和白蛋白等,外源干擾物主要包括血液樣本采集可能用到的抗凝劑和常用藥物(如降壓藥、調脂藥、降糖藥、解熱鎮痛藥等);對于口腔拭子樣本,干擾物需考慮全血、口腔定植菌以及口腔可能接觸到的抗菌漱口液、牙膏、食物、藥物(如:硝酸甘油、口腔噴霧劑)、煙草等。
干擾試驗可通過在臨床樣本中人工添加干擾物質的方式,評價干擾物質對目標基因檢測的影響,也可直接采集暴露于干擾因素后的受試者樣本,進行干擾試驗評價。建議申請人在每種干擾物質的潛在最大濃度(“最差條件”)條件下進行評價;如有干擾,應確定不產生干擾的最高濃度。
2.8核酸提取/純化性能
在進行核酸檢測之前,建議有核酸提取/純化步驟。無論檢測試劑是否含有核酸提取/純化的組分,企業都應結合檢測試劑的特性,對配合使用的所有核酸提取試劑進行提取核酸純度、濃度、提取效率的研究,并評價該方法能否滿足MTHFR基因多態性檢測試劑的要求,提供詳細的評價資料。
若產品適用兩種或以上核酸提取試劑,則每一種核酸提取試劑均需配合檢測試劑進行精密度、檢出限和抗干擾的驗證。
2.9反應體系
2.9.1樣本采集和處理
請詳述樣本的采集和處理方式,明確樣本的保存介質。
對于口腔拭子樣本,還應提供采樣拭子及樣本保存介質(如:樣本保存液)的選擇研究,明確對拭子頭和拭子桿的材質要求、保存液或裂解液的成分、濃度和使用量的要求等。配套的不同保存液或裂解液需驗證檢出限和重復性。
2.9.2反應體系確定
依據產品特性,提供最佳反應體系確定的研究資料,包括核酸提取用的樣本體積、洗脫體積和PCR加樣體積、各試劑組分加樣量及反應各階段溫度、時間、循環數等。
如有多個適用機型,需提交不同適用機型基線和閾值確定的研究資料。不同適用機型的反應條件如果有差異應分別詳述,并提交驗證資料。
3. 穩定性研究
申報試劑的穩定性主要包括實時穩定性、開瓶穩定性、運輸穩定性、機載穩定性(如適用)及凍融次數限制等,申請人可根據實際需要選擇合理的穩定性研究方案。穩定性研究資料應包括具體的實施方案、詳細的研究數據以及結論。對于實時穩定性研究,應提供至少三批樣品在實際儲存條件下保存至成品有效期后的研究資料。
4. 陽性判斷值研究
對于此類試劑,陽性判斷值即為能夠獲得理想的檢測準確性的臨界值(Cut-off)。建議納入一定數量的臨床樣本,涵蓋野生型和所有多態性位點的雜合突變型和純合突變型,采用受試者工作特征(ROC)曲線的方式進行研究。亦可采用其他科學合理的方法進行陽性判斷值研究。相關資料中應詳述試驗方案、樣本來源、樣本量、樣本入組標準及試驗結果等。如試劑判讀存在灰區,應解釋說明灰區范圍的確定方法。如采用其他方法對陽性判斷值進行確認研究,應說明這種方法的合理性。
如果產品適用不同樣本類型,需要對各樣本類型分別進行陽性判斷值研究。
對于某些檢測方法學,陽性判斷值研究可能不適用,申請人應說明理由。
5. 其他資料
5.1主要原材料研究資料
該類產品的主要原材料一般包括人基因組核酸提取/純化試劑、檢測所需引物、探針、酶、dNTP、反應緩沖液等。應提供主要原材料的選擇與來源、制備過程、質量控制標準等相關研究資料。如主要原材料為企業自制,應提供其詳細制備過程;如主要原材料源于外購,應提供資料包括:選擇該原材料的依據及對比篩選試驗資料、生產商提供的質量標準、出廠檢驗報告,以及該原材料到貨后的質量檢驗資料。
5.1.1引物和探針:應詳述引物和探針的設計原則,提供引物、探針核酸序列、模板核酸序列及兩者的對應情況。建議設計兩套或多套引物、探針以供篩選,針對待測位點的特異性等進行評價,選擇最佳引物探針組合,并提交詳細的篩選研究數據。
申請人應針對選定的引物、探針原材料進行質量評價,一般包括:分子量、純度(HPLC等)、濃度、序列準確度、探針熒光標記基團,以及功能性試驗等,并依據評價結果建立合理的質量標準。
5.1.2脫氧三磷酸核苷(dNTP):包括dATP、dGTP、dCTP、dTTP或dUTP,應提交對其純度、濃度等的驗證資料,以及功能性試驗資料,并確定質量標準。
5.1.3酶:涉及的酶主要包括DNA聚合酶和尿嘧啶DNA糖基化酶(UDG/UNG)等。申請人應針對各種酶的活性進行驗證,提交功能性試驗資料,并確定酶的質量標準。
DNA聚合酶應具有DNA聚合酶活性,無核酸內切酶活性,具熱穩定性。UDG/UNG應具有水解尿嘧啶糖苷鍵的活性,無核酸外切酶及核酸內切酶活性。
5.1.4質控品
MTHFR基因多態性檢測試劑的質控品可分別設置野生型、雜合突變型及純合突變型,同時設置不含待測靶序列的空白質控品用于交叉污染的質控;亦可直接采用待測位點的雜合突變型樣品及空白質控品進行質量控制。
對于此類產品,一般情況下,反應體系中野生型序列和突變型序列均有陽性反應,可以對管內抑制導致的假陰性結果進行質量控制,則試劑盒中可不另外設置內標對照;否則,應另外設置內標對照。
質控體系應能夠對檢測全過程進行有效的質量控制,包括試劑及儀器性能、可能的擴增反應抑制物(管內抑制)、交叉污染等因素造成的假陰性或假陽性結果。質控品可采用質粒、細胞系或臨床樣本的核酸提取液等。空白質控品應參與樣本核酸的平行提取。申請人應針對質控品原料選擇、制備、定值過程等提供詳細的研究數據,并對質控品的檢測結果做出明確的范圍要求。
5.1.6企業參考品
企業參考品一般包括準確性參考品、特異性參考品、檢出限參考品和精密度參考品等。申請人應提交有關企業參考品原料選擇、制備方法、基因型別確認及檢驗標準的研究資料等。
準確性參考品:可采用臨床樣本,樣本類型與待測樣本一致。應包含野生型和所有多態性位點的雜合突變型樣本、純合突變型樣本。
特異性參考品:應考慮檢測特異性的評價,建議包括同源序列交叉反應樣本、干擾樣本等。特異性參考品可采用細胞系進行制備;
檢出限參考品:可選擇檢出限濃度(例如:95%檢出率水平)或接近檢出限濃度(例如100%檢出率水平)的臨床樣本,應至少包含所有多態性位點的雜合突變型樣本。
精密度參考品:建議包括高、低兩個濃度的樣本,其中一個濃度應為檢出限附近的濃度。至少包括所有多態性位點的雜合突變型臨床樣本。
如MTHFR基因多態性檢測試劑已有國家參考品,企業參考品的要求應不低于國家參考品要求。
5.2生產工藝研究資料
生產工藝研究資料包括工作液配制(引物、探針濃度、酶濃度、dNTP濃度、緩沖液離子濃度等)、分裝和凍干(如有)、熒光標記等工藝過程的描述及確定依據。生產過程應對關鍵參數進行有效控制,可采用流程圖方式描述生產工藝,標明關鍵工藝質控步驟,并詳細說明該步驟的質控方法及質控標準。
(四)臨床評價資料
臨床試驗的開展、方案的制定以及報告的撰寫等均應符合相關法規及《體外診斷試劑臨床試驗技術指導原則》(國家藥品監督管理局通告2021年第72號)的要求,如相關法規、文件有更新,臨床試驗應符合更新后的要求。
1.臨床試驗機構
應選擇不少于3家(含3家)已備案的臨床試驗機構,按照相關法規、指導原則的要求開展臨床試驗。申請人應根據產品特點及預期用途,綜合不同地區人種和流行病學背景等因素選擇臨床試驗機構。臨床試驗機構應具有分子生物學方法檢測的優勢,操作人員應熟悉臨床試驗方案及檢測系統的各環節。
2.臨床試驗方法
2.1對于有已上市同類產品(突變位點為C677T,rs1801133)的產品,建議申請人選擇境內已批準上市的同類產品作為對比試劑,采用試驗體外診斷試劑與之進行對比試驗研究,評價申報產品的臨床性能。對比試劑的選擇應從預期用途、樣本要求、檢測性能等方面,確認其與申報產品具有較好的可比性。
2.2如申報新的突變位點用于葉酸用藥指導,應根據其公認的臨床意義,提供其適用人群相應的臨床意義的證據及性能驗證臨床試驗。性能驗證臨床試驗中可以選擇公認的參考方法(如Sanger測序法)作為對比方法,評價其突變位點的檢測性能。臨床意義的證據應包括新的突變位點基因型與血液同型半胱氨酸含量、紅細胞中葉酸含量,服用葉酸劑量與相應結局的相關性研究證據。
針對Sanger測序和相關性研究分析方法(如涉及)的建立、驗證和質量控制,應提交詳細的研究論述,相關內容納入臨床試驗報告中。
3.受試者選擇和樣本類型
3.1受試者選擇
臨床試驗中應選擇高同型半胱氨酸血癥患者作為適用人群。如需要服用或正在服用葉酸的H型高血壓等心腦血管疾病患者等。
如涉及新的位點及臨床使用場景,應根據相應的適用人群納入受試者。
3.2 樣本類型
適用的樣本類型一般為靜脈抗凝全血,應采用相同樣本類型的已上市同類產品進行比較研究。
如產品同時適用于口腔拭子,可與相同樣本類型或靜脈全血的已上市同類產品進行比較研究;也可采用與申報產品的靜脈全血進行同源比對的方式進行評價,純合突變型/雜合突變型/野生型樣本例數建議均不少于100例。
臨床試驗中應以臨床原始樣本進行試驗,不應直接采用提取的基因組DNA。臨床樣本的采集、處理、保存和提取等應同時滿足申報產品說明書以及對比試劑說明書(如適用)的相關要求。
4.臨床試驗樣本量
臨床試驗樣本量應滿足統計學要求,可采用適當的統計學方法進行估算,同時應滿足法規最低樣本量的要求。根據相應臨床試驗設計,本臨床試驗可依據申報產品相對于對比試劑的純合突變型/雜合突變型/野生型符合率分別估算相應的最低樣本例數。
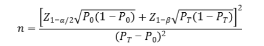
與對比試劑的比較研究中,臨床樣本量的估算建議采用單組目標值法進行計算,純合突變型/雜合突變型/野生型符合率的臨床可接受標準(P0)建議均不低于95%。當評價指標PT接近100%時,該樣本量估算方法可能不適用,應考慮選擇更加適宜的方法進行樣本量估算和統計學分析,如精確概率法等。

公式中,n為樣本量;Z1-α/2、Z1-β為顯著性水平和把握度的標準正態分布的分數位,P0為評價指標的臨床可接受標準,PT為申報產品評價指標預期值。
臨床試驗總體樣本量確定時應在上述各型別樣本最低樣本量估算的基礎上,同時考慮其他可能造成受試者脫落的情況適當增加入組樣本量。
5.統計學分析
依據年齡、性別和臨床診斷背景信息等,對納入統計的病例進行人口學分析。
總結野生型、雜合突變型和純合突變型的例數,以3×3表分別總結兩種試劑的定性檢測結果,并分別計算各基因型的符合率、總體符合率及其95%置信區間,對定性結果進行kappa檢驗,以評價兩種試劑檢測結果的一致性;以交叉四格表分別總結兩種試劑對野生型及突變型(包括雜合突變型和純合突變型)的定性檢測結果,計算符合率、總符合率及其95%置信區間,并對定性結果進行kappa檢驗,以驗證兩種試劑檢測結果的一致性。
對于兩種試劑檢測結果不一致的樣本,應采用合理方法進行復核,并對差異原因進行分析。
6.倫理學要求
臨床試驗必須符合赫爾辛基宣言的倫理學準則。研究者應考慮臨床試驗用樣本的獲得和試驗結果對受試者的風險,提請倫理委員會審查,并獲得倫理委員會的同意。注冊申報時應提交倫理委員會的審查意見。
7.臨床試驗方案
各臨床試驗機構的方案設置應基本一致,且保證在整個臨床試驗過程中遵循預定的方案,不可隨意改動。整個試驗過程應在臨床試驗機構的實驗室內并由本實驗室的技術人員操作完成,申報單位的技術人員除進行必要的技術指導外,不得隨意干涉實驗進程。
試驗方案應確定嚴格的入選/排除標準,任何已入選的樣本被排除出臨床試驗都應記錄在案并明確說明原因。在試驗操作過程和結果判定時應采用盲法以保證試驗結果的客觀性。
8.質量控制
臨床試驗開始前,建議進行臨床試驗的預試驗,以熟悉并掌握相關試驗方法的操作、儀器、技術性能等,最大限度控制試驗誤差。整個試驗過程都應處于有效的質量控制下,最大限度保證試驗數據的準確性及精密度。
9.臨床試驗小結與報告
臨床試驗的小結與報告應該對試驗的整體設計及各個關鍵點給予清晰、完整的闡述,應該對整個臨床試驗實施過程、結果分析、結論等進行條理分明的描述,并應包括必要的基礎數據和統計分析方法,最后得出臨床試驗結論。臨床試驗報告的撰寫參考《體外診斷試劑臨床試驗技術指導原則》的相關要求。
(五)產品說明書和標簽樣稿
產品說明書格式應滿足《體外診斷試劑說明書編寫指導原則》的要求。產品說明書中技術內容應與注冊申報資料中的相關研究結果保持一致,如某些內容引用自參考文獻,應以規范格式進行標注,并單獨列明文獻的相關信息。人MTHFR基因多態性檢測試劑說明書編寫應重點關注以下內容。
1.【預期用途】 應至少包括以下幾部分內容:
1.1本產品用于體外定性檢測人體XX樣本中的MTHFR基因XX位點的多態性。
1.2介紹被測靶標(基因多態性位點),說明基因位點與臨床適用癥的關系,明確野生型、雜合突變型和純合突變型的臨床發生頻率,明確可進行葉酸用藥指導的適用人群。
1.3明確本產品檢測結果僅供臨床參考,不應作為患者是否用藥的唯一依據,臨床醫生應結合患者病情、療效及其他實驗室檢測指標等對本產品的檢測結果進行綜合判斷。
2.【檢驗原理】
對試劑盒的被測靶標進行詳細描述(基因位置、多態性位點及相關特征等),對試劑盒所用探針、引物、多態性的判定終點等進行詳細的介紹;對不同樣本反應管組合、質控品設置及熒光信號檢測原理等進行介紹。
試劑盒技術原理的詳細介紹,建議結合適當圖示進行說明。如反應體系中添加了相關的防污染組分(如UNG酶),也應對其作用機理進行適當介紹。
3.【主要組成成分】
明確試劑盒中各組分及具體成分。明確需要但未提供的材料,例如核酸提取試劑等的產品名稱,生產廠家,貨號及注冊證號、備案號等信息。
4.【儲存條件及有效期】
說明試劑盒的效期穩定性等,明確具體的儲存條件及有效期等信息。
5.【樣本要求】
應明確樣本采集、處理、保存等各環節要求,說明樣本保存條件及期限等。冷藏/冷凍樣本檢測前是否需要恢復至室溫,凍融次數的限制等。
6.【適用儀器】
注明所有適用的儀器型號,并提供與儀器有關的重要信息以指導用戶操作。
7.【檢驗方法】
詳細說明實驗操作的各個步驟,包括:
7.1實驗條件:實驗室分區、實驗環境的溫度、濕度和空調氣流方向控制等注意事項。
7.2試劑配制方法和注意事項。
7.3簡述核酸提取純化的條件、步驟及注意事項(如適用),對核酸提取純化環節進行合理的質量控制。
7.4擴增反應前準備:加樣體積、順序等。
7.5 PCR各階段的溫度、時間設置、循環數設置或相應的自動化檢測程序及相關注意事項。
7.6儀器設置(如適用):特殊參數、探針的熒光素標記情況、對待測多態性及其他質控品的熒光通道選擇等。
8.【檢驗結果的解釋】
結合質控品、樣本管檢測結果以及多態性類型與葉酸代謝表型之間的關系,以列表形式詳述所有可能出現的結果及相應的解釋。如存在檢測灰區,應詳述對于灰區結果的處理方式。
9.【檢驗方法局限性】
9.1申報產品僅對MTHFR 基因XX位點基因多態性進行了驗證。
9.2有關假陰性結果的可能性分析
9.2.1不合理的樣本采集、運送及處理或核酸過度降解均有可能導致檢測失敗。
9.2.2未經驗證的其他干擾或PCR抑制因子等可能會導致假陰性結果(如有)。
10.【產品性能指標】
詳述以下性能指標:
10.1國家參考品和企業參考品的符合情況。
10.2檢出限:簡單介紹檢出限的確定方法,并明確檢出限結果。
10.3精密度:簡單介紹精密度的確定方法,并明確精密度結果。
10.4分析特異性
10.4.1交叉反應驗證:同源性序列等交叉反應驗證。
10.4.2干擾物質驗證:樣本中常見干擾物質對檢測結果的影響。
10.5臨床試驗:介紹試驗方法、受試者及樣本、試驗結果和結論等。
11.【注意事項】
11.1如產品含有人源或動物源性物質,應給出具有潛在感染性的警告。
11.2 試劑保存運輸及使用過程中多種因素可能導致性能變化,如保存運輸不當、樣本采集、樣本處理及檢測過程操作不規范等,請嚴格按照說明書操作。
11.3臨床實驗室應嚴格按照《醫療機構臨床基因擴增實驗室管理辦法》等有關分子生物學實驗室、臨床基因擴增實驗室的管理規范執行。
[1]國家市場監督管理總局.體外診斷試劑注冊與備案管理辦法:國家市場監督管理總局令第48號[Z].
[2]國家藥品監督管理局.關于公布體外診斷試劑注冊申報資料要求和批準證明文件格式的公告:國家藥品監督管理局公告2021年第122號[Z].
[3]國家藥品監督管理局.體外診斷試劑臨床試驗技術指導原則:國家藥品監督管理局2021年第72號[Z].
[4]國家藥品監督管理局醫療器械技術審評中心.定性檢測體外診斷試劑分析性能評估注冊審查指導原則:國家藥品監督管理局醫療器械技術審評中心2022年第36號[Z].
[5]藥物代謝酶和藥物作用靶基因檢測技術指南(試行)
[6]中華醫學會心血管病分會高血壓學組、中華醫學會心血管病分會,精準心血管病學組、中華醫師協會高血壓專業委員會. H型2高血壓診斷與治療專家共識[J].全科醫學臨床與教育,2016,14(3):243-248.
[7]中國高血壓防治指南修訂委員會、高血壓聯盟(中國)中國醫學會心血管病分會、中國醫師協會高血壓專業委員會等.中國高血壓防治指南(2018年修訂版)[J].中國心血管病雜志,2019(24):24-56.
[8]中國醫藥教育協會臨床合理用藥專業委員會、中國醫療保健國際交流促進會高血壓分會、中國婦幼保健協會圍產營養與代謝專業委員會等.中國臨床合理補充葉酸多學科專家共識[J].醫藥導報,2021(40):1-18.

站點聲明
本網站所提供的信息僅供參考之用,并不代表本網贊同其觀點,也不代表本網對其真實性負責。圖片版權歸原作者所有,如有侵權請聯系我們,我們立刻刪除。如有關于作品內容、版權或其它問題請于作品發表后的30日內與本站聯系,本網將迅速給您回應并做相關處理。
鄭州思途醫療科技有限公司專注于醫療器械產品政策與法規規事務服務,提供產品注冊備案申報代理、臨床試驗、體系建立輔導、分類界定、申請創新辦理服務。
附件:血液透析用水處理設備注冊審查指導原則(2024年修訂版)(2024年第19號).doc血液透析用水處理設備注冊審查指導原則(2024年修訂版)本指導原則旨在指導注冊申請人對血液透析用水處理設備注冊申報資料的準備及撰寫,同時也為技術審評部門提供參考。本指導原則是對血液透析用水處理設備的一般要求,注冊申請人依據產品的具體特性確定其中內容是否適用。若不適用,要具體闡述理由及相應的科學依據,并依據產
國家藥監局關于發布免于進行臨床評價醫療器械目錄的通告(2025年第19號)發布時間:2025-05-13為做好醫療器械注冊管理工作,根據《醫療器械注冊與備案管理
本指導原則旨在幫助和指導注冊申請人對一次性使用腹部穿刺器注冊申報資料進行準備,以滿足技術審評的基本要求。同時有助于審評機構對該類產品進行科學規范的審評,提高審評工
附件:醫療器械監督管理條例(2025年修訂版).doc醫療器械監督管理條例(2000年1月4日中華人民共和國國務院令第276號公布 2014年2月12日國務院第
附件:重組膠原蛋白創面敷料注冊審查指導原則(2023年第16號).doc重組膠原蛋白創面敷料注冊審查指導原則本指導原則旨在指導注冊申請人準備及撰寫重組膠原蛋白創
國家藥監局關于發布免于臨床試驗的體外診斷試劑臨床評價技術指導原則的通告(2021年第74號)發布時間:2021-09-24為指導體外診斷試劑的臨床評價工作,根據
國家藥監局藥審中心關于發布《抗腫瘤藥物臨床試驗中SUSAR分析與處理技術指導原則》的通告(2024年第42號) 發布日期:20241010
國家藥監局器審中心關于發布影像型超聲診斷設備(第三類)注冊審查指導原則(2023年修訂版)的通告(2024年第29號)發布時間:2024-10-14為進一步規范
附件:一次性使用醫用沖洗器產品注冊審查指導原則(2022年第41號).doc一次性使用醫用沖洗器產品注冊審查指導原則本指導原則旨在指導注冊申請人對一次性使用醫用
附件:醫用透明質酸鈉創面敷料注冊審查指導原則(2024年第21號).doc醫用透明質酸鈉創面敷料注冊審查指導原則本指導原則旨在指導注冊申請人準備及撰寫醫用透明質酸鈉創面敷料注冊申報資料,同時也為技術審評部門審查注冊申報資料提供參考。本指導原則是對醫用透明質酸鈉創面敷料產品的一般要求,注冊申請人應依據產品的具體特性確定其中內容是否適用,若不適用,需具體闡述理由及相應的科學依據,并依據產品的具體特性對
行業資訊
知識分享
八年
醫療器械服務經驗
聯系思途,免費獲得專屬《落地解決方案》及報價
咨詢相關問題或咨詢報價,可以直接與我們聯系
思途CRO——醫療器械注冊臨床第三方平臺
