臨床試驗中的單盲、雙盲、三盲、破盲是什么意思?
盲法試驗常用的有兩種:單盲(single blinding)和雙盲(double blinding),更嚴格的對照試驗要用到三盲(triple blinding),在對照藥物和試驗藥物劑型或外觀不同時,還要用到雙盲雙模擬技
來源:醫療器械注冊代辦 發布日期:2024-12-05 閱讀量:次
藥物臨床試驗的設計是一個復雜而嚴謹的過程,涉及多個關鍵步驟以確保研究的科學性和有效性。從確定研究問題和目標到選擇研究對象、設計類型、樣本大小、隨機化與盲法、觀察指標和數據收集方法,再到統計分析計劃和倫理考慮,每一個環節都需要精心規劃。藥物臨床試驗的設計是一個復雜的過程,以下是主要步驟:
(1)例如,研究一種新的抗癌藥物是否比現有標準治療更有效。這個問題要具體、有針對性,并且基于臨床需求。
(2)從臨床實踐中發現問題,比如某種疾病治療后的復發率較高,希望找到新的治療方法來降低復發率。
(1)可以分為主要目標和次要目標。主要目標通常是關于治療效果的關鍵指標,如新藥治療組患者的生存率是否提高。
(2)次要目標可能包括藥物的安全性(如不良反應的發生率)、患者的生活質量改善情況等。
(1)明確疾病類型和階段。例如,對于上述抗癌藥物試驗,目標人群可能是特定類型的癌癥患者,如非小細胞肺癌 III 期患者。
(2)考慮患者的年齡、性別、種族等因素,盡量使研究對象具有代表性,能夠反映將來實際使用藥物的人群情況。
(1)納入標準可以包括確診疾病的時間范圍、患者的身體功能狀態等。例如,患者的體能狀態(ECOG 評分)在 0 - 2 分之間,能夠耐受試驗藥物的治療。
(2)排除標準可能涉及同時患有其他嚴重疾病(如嚴重的心臟病、肝腎功能衰竭等),因為這些疾病可能影響試驗結果或者增加治療風險。
(1)這是最常見的設計類型。將研究對象隨機分配到試驗組和對照組,試驗組接受研究藥物治療,對照組接受現有標準治療或安慰劑治療。
(2)例如,在一個高血壓藥物試驗中,隨機將患者分為兩組,一組服用新研發的降壓藥,另一組服用傳統降壓藥,比較兩組患者的血壓下降情況。
(1)每個研究對象先后接受試驗藥物和對照藥物(或安慰劑)。這種設計可以減少個體差異對結果的影響。
(2)比如在一個止痛藥物試驗中,患者先使用藥物 A,記錄止痛效果和持續時間,經過一段時間的洗脫期后,再使用藥物 B,比較兩種藥物的療效。
(1)用于同時研究兩種或多種因素(如兩種藥物或藥物與其他治療方法)的聯合作用。
(2)假設要研究藥物 A 和藥物 B 聯合治療糖尿病的效果,可以將患者分為四組:單獨使用藥物 A 組、單獨使用藥物 B 組、聯合使用藥物 A 和 B 組、使用安慰劑組,從而分析每種藥物的單獨作用以及聯合作用。
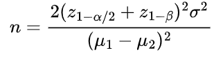
(1)主要基于研究的主要目標來計算。需要考慮預期的治療效果差異(如兩組生存率的差值)、統計學顯著性水平(通常設為 α = 0.05)和檢驗效能(一般設為 1 - β,β 通常取 0.2,即檢驗效能為 80%)。
(2)例如,如果預計新的抗癌藥物能將患者的一年生存率從 30% 提高到 40%,結合設定的統計學參數,通過相應的樣本量計算公式來確定所需的患者數量。
(1)對于不同類型的研究數據(如計量資料、計數資料)有不同的計算公式。對于計量資料,常用的公式如:
其中是每組樣本量,和是對應于顯著性水平和檢驗效能的標準正態分布分位數,是標準差,和是兩組的均值。


(1)目的是減少選擇偏倚,確保試驗組和對照組在基線特征上具有可比性。可以采用簡單隨機化、區組隨機化或分層隨機化等方法。
(2)簡單隨機化就像抽簽一樣,每個研究對象有相同的概率被分配到試驗組或對照組。區組隨機化是將研究對象按一定數量(如每 4 個或 6 個患者為一個區組)進行隨機分組,以保證每個區組內兩組的患者數量平衡。分層隨機化則是先根據某些重要因素(如年齡、性別、疾病嚴重程度等)將患者分層,然后在各層內進行隨機分組,這樣可以更好地控制混雜因素。
(1)單盲是指研究對象不知道自己接受的是試驗藥物還是對照藥物,這種方法可以減少患者的心理因素對結果的影響。
(2)雙盲是指研究對象和研究者都不知道分組情況,直到試驗結束。這可以避免研究者在評估結果時產生偏倚。例如,在藥物療效評估中,雙盲設計可以防止研究者因為知道患者分組情況而有意或無意地對患者的癥狀評估產生偏差。
(1)主要觀察指標要與研究目標緊密相連。如在心血管藥物試驗中,主要觀察指標可能是血壓、心率、血脂等指標的變化。
(2)次要觀察指標可以包括患者的癥狀改善情況(如頭痛、頭暈等癥狀是否減輕)、藥物的耐受性(是否出現不良反應)等。
(1)可以通過醫療記錄(如病歷、檢查報告)、問卷調查(如患者生活質量問卷)、定期的體檢和實驗室檢查等方式收集數據。
(2)例如,在一個糖尿病藥物試驗中,收集患者的血糖監測記錄、糖化血紅蛋白檢測報告,同時通過問卷調查患者的飲食、運動情況和自我感覺等信息。
(1)根據觀察指標的類型(計量資料、計數資料)和研究設計來選擇。對于計量資料,常用的統計方法有 t 檢驗(兩組比較)、方差分析(多組比較)等。對于計數資料,常用卡方檢驗。
(2)如果是生存分析,如研究癌癥患者的生存率,可以使用 Kaplan - Meier 曲線和 Log - rank 檢驗。
(1)包括意向性分析(ITT)和符合方案分析(PP)。ITT 分析是將所有隨機化的患者納入分析,無論他們是否完成試驗,這樣可以避免因患者脫落而產生的偏倚。PP 分析則只包括按照方案完成試驗的患者,它可以更準確地評估藥物在理想情況下的療效。
(1)在開始臨床試驗之前,研究方案必須經過獨立的倫理委員會審查和批準。倫理委員會會評估試驗的科學性、公正性以及對研究對象的潛在風險和受益。
(2)例如,確保研究對象的隱私保護,試驗藥物的風險在可接受范圍內,并且研究對象能夠在充分知情的情況下自愿參加試驗。
(1)研究者必須向研究對象或其法定代理人詳細介紹試驗的目的、方法、可能的風險和受益等內容,并且獲得他們簽署的知情同意書。
(2)知情同意書的內容要用通俗易懂的語言書寫,讓研究對象能夠真正理解試驗的情況。例如,對于一項基因治療試驗,要清楚地說明基因治療可能帶來的未知風險和潛在的治療突破。
總之,設計藥物臨床試驗需要從多個方面入手,確保每一個環節都經過深思熟慮。從確定研究問題和目標到選擇研究對象、設計類型、樣本大小、隨機化與盲法、觀察指標和數據收集方法,再到統計分析計劃和倫理考慮,每個步驟都是為了確保試驗的科學性和有效性。通過嚴格遵循這些設計原則,可以為臨床試驗的成功實施打下堅實基礎,確保試驗結果可靠并具有實際應用價值。

站點聲明
本網站所提供的信息僅供參考之用,并不代表本網贊同其觀點,也不代表本網對其真實性負責。圖片版權歸原作者所有,如有侵權請聯系我們,我們立刻刪除。如有關于作品內容、版權或其它問題請于作品發表后的30日內與本站聯系,本網將迅速給您回應并做相關處理。
鄭州思途醫療科技有限公司專注于醫療器械產品政策與法規規事務服務,提供產品注冊備案申報代理、臨床試驗、體系建立輔導、分類界定、申請創新辦理服務。
盲法試驗常用的有兩種:單盲(single blinding)和雙盲(double blinding),更嚴格的對照試驗要用到三盲(triple blinding),在對照藥物和試驗藥物劑型或外觀不同時,還要用到雙盲雙模擬技
剛接觸CRO行業的小伙伴,在學習文件法規資料的同時,常看到一些英文類專業名詞不知道是什么意思。下面,一起看看常見的臨床試驗專業術語: CRO行業的常用術語解釋: 1:新藥研發
SSU是Study Start Up的縮寫,從最初的項目準備,到啟動訪視(Site Initiation Visit)之前所有的準備工作,對整個臨床研究項目的啟動非常關鍵。負責這個關鍵階段工作的部門人員,就叫做SS
醫學的進步是以研究為基礎的,這些研究在一定程度上賴于以人作為受試者的試驗。--《赫爾辛基宣言》。Ⅰ期臨床研究目的是確定可用于臨床新藥的安全有效劑量與合理給藥方案。根據
病例報告表(CRF)是臨床試驗中記錄臨床資料的表格,每一受試者有關試驗的資料均應記錄在預先按試驗方案設計的病例報告表中。它們依據原始記錄而填寫,以便申辦者對不同試驗單
試驗用藥品是指用于臨床試驗的試驗藥物、對照藥品。試驗用藥品滲透到了臨床試驗過程中的每一個步驟,包括藥物的生產、包裝、運輸、保存、使用、回收等。今天我們從臨床試驗中
不少二三類需要臨床的產品,客戶一聽到臨床報價就退縮。既然這么貴,還不如自己做......事實真的是這樣嗎?臨床報價費用都由哪些組成?費用都誰收走了?自己做又有哪些風險?文
大多數CRO公司在臨床試驗現場啟動會(SIV)上,常由CRA主導。作為一名有上進心的CRA必須清楚的了解到臨床試驗現場啟動考察的流程,再分享一些本人在啟動會考察的細節,請看下文。
俗話說“知己知彼,百戰不殆”,對于作為CRC的我們,自認為對CRA其實已經很了解了,但是在我們工作過程有一個角色平時接觸不到,但是卻又繞不開躲不過,尤其是面對滿屏EDC query的
在臨床試驗中,無論是監查員、質控人員或者項目管理人員到研究中心查看項目資料的時候,總會多多少少發現一些問題,有些問題可能大家都比較熟知,但處理手法五花八門的。處理
行業資訊
知識分享
八年
醫療器械服務經驗
聯系思途,免費獲得專屬《落地解決方案》及報價
咨詢相關問題或咨詢報價,可以直接與我們聯系
思途CRO——醫療器械注冊臨床第三方平臺
