山東省醫療器械工藝用水現場檢查指南(魯藥監械〔2021〕35號)
為規范醫療器械現場檢查,提升檢查員現場檢查能力,指導檢查員對醫療器械生產企業工藝用水控制情況的檢查,提高企業工藝用水質量安全保證水平,依據《醫療器械監督管理條例》
來源:醫療器械注冊代辦 發布日期:2021-04-15 閱讀量:次
附件:輪狀病毒抗原檢測試劑注冊技術審查指導原則(2021年第24號).doc
本指導原則旨在指導注冊申請人對輪狀病毒抗原檢測試劑注冊申報資料的準備及撰寫,同時也為技術審評部門審評申報資料提供參考。
本指導原則是對輪狀病毒抗原檢測試劑的一般要求,申請人應依據產品的具體特性確定其中內容是否適用,若不適用,需闡述理由及相應的科學依據。同時應根據產品的具體特性對研究內容進行充實和細化。
本指導原則是對申請人和審查人員的指導性文件,不涉及注冊審批等行政事項,亦不作為法規強制執行,如有能夠滿足法規要求的其他合理方法也可以采用,并應提供詳細的研究資料和驗證資料。應在遵循相關法規的前提下使用本指導原則。
本指導原則是在現行法規、標準體系以及當前認知水平下制定的,隨著法規、標準的不斷完善和科學技術的不斷發展,本指導原則相關內容也將適時進行調整。
輪狀病毒(Rotavirus,RV)屬于呼腸孤病毒科輪狀病毒屬。輪狀病毒顆粒為球形,直徑70~75nm,負染后在電鏡下觀察,病毒外形呈車輪狀。輪狀病毒基因組總長約18kb,由11個節段的雙股RNA組成,分別編碼6個結構蛋白(VP1~4,VP6和VP7)和5-6個非結構蛋白(NSP1~NSP5/6)。根據內層衣殼蛋白VP6的血清型,目前主要將輪狀病毒分為A~G群。已知A、B、C群輪狀病毒可致人類急性胃腸炎,其中A群輪狀病毒最為常見,是引起嬰幼兒急性腸胃炎的主要病原體之一。B群輪狀病毒可在兒童和成人中暴發流行。C群輪狀病毒的發病率相對較低。
輪狀病毒根據VP6蛋白的兩個抗原決定簇可分為4個亞群(Ⅰ,Ⅱ,Ⅰ+Ⅱ,非Ⅰ非Ⅱ)。根據VP7和VP4表達中和抗原的不同,又可分為多個血清型或基因型。VP7蛋白是糖基化的蛋白,決定G的血清型。VP4是蛋白酶敏感蛋白,決定P的血清型/基因型。目前世界范圍內流行的A群輪狀病毒主要為G1、G2、G3、G4、G9、G12等血清型,P分型主要為P[4]、P[8]和P[6]等基因型。我國常見的A群輪狀病毒型別主要為G9P[8]、G3P[8]、G1P[8]、G2P[4]等。
輪狀病毒可污染食物、水和環境等,主要通過糞-口途徑傳播。輪狀病毒感染的典型癥狀為嘔吐、腹痛、腹瀉,部分伴發熱,嚴重脫水和/或電解質紊亂者可能會出現休克、昏迷甚至死亡。
本指導原則適用于以抗原抗體反應為原理,對人糞便樣本或其他適用樣本中的輪狀病毒進行體外定性檢測的試劑,臨床用于急性胃腸炎患者輪狀病毒感染的輔助診斷。對于采用其他檢測方法的試劑,有利之處可參照執行。
本指導原則適用于進行產品注冊和相關許可事項變更的產品。其他未盡事宜應當符合《體外診斷試劑注冊管理辦法》(國家食品藥品監督管理總局令第5號)(以下簡稱《辦法》)等相關法規要求。
(一)綜述資料
主要包括臨床適應癥背景情況、產品預期用途、產品描述、有關生物安全性的說明、有關產品主要研究結果的總結和評價以及其他內容。其中,產品描述應明確試劑盒可檢測的輪狀病毒具體群組;其他內容包括同類產品在國內外批準上市的情況,應著重從檢驗方法及臨床適用范圍等方面寫明擬申報產品與目前市場上已獲批準的同類產品之間的主要區別。綜述資料應符合《辦法》和《關于公布體外診斷試劑注冊申報資料要求和批準證明文件格式的公告》(原國家食品藥品監督管理總局公告2014年第44號,以下簡稱《公告》)的相關要求。
(二)主要原材料的研究資料
主要原材料包括抗原、抗體、質控品、參考品等。應提供主要原材料的選擇與來源、制備過程、質量標準等相關研究資料。如主要原材料為企業自制,應提供其詳細制備過程;如主要原材料源于外購,應提供資料包括:選擇該原材料的依據及對比篩選試驗資料、供應商提供的質量標準、出廠檢驗報告,以及該原材料到貨后的質量檢驗資料,供應商應固定,不得隨意更換。申請人應對各主要原材料均明確質量控制標準。
1.特異性抗原、抗體
病原體特異的抗原、抗體是該類產品的關鍵原材料。對于抗原,如為天然抗原應明確來源,如為重組抗原應明確相應的核酸或者蛋白序列信息。應詳述抗體所針對的抗原表位和抗體制備所用的免疫原,提交確定該抗體作為主要原材料的依據,還應提交抗體來源、制備、篩選、鑒定及質量標準(外觀、蛋白濃度、純度、分子量、效價、功能性試驗等)等詳細試驗資料。
2.其他主要原材料
除上述主要原材料外,產品中包含的其他主要原材料,如其他抗體、膠體金、硝酸纖維素膜、微孔板、樣本稀釋液等,均應進行選擇及驗證,并提交相關資料。明確主要原材料的供應商和質量控制標準。
3.試劑盒質控品/質控線
產品應設置合理的質控品/質控線。質控品(如適用)應至少包含陰性和陽性兩個水平。陽性質控品可選擇滅活的病毒株或臨床陽性樣本,陰性質控品可選擇臨床陰性樣本等。提交質控品/質控線相關原料的來源、選擇和性能確認等相關研究資料,明確供應商和質量控制標準。企業應對質控品/質控線的檢測結果做出明確的范圍要求(試驗有效性的判斷)。
4.企業參考品
應提交企業參考品的原料來源、選擇、制備、陰陽性及濃度/滴度確認方法或試劑等相關驗證資料。企業參考品的基質應與實際樣本相同。
陽性參考品應至少包括所有常見型別的病毒株或臨床陽性樣本,并設置不同滴度水平。A組輪狀病毒型別應至少包括G9P[8]、G3P[8]、G1P[8]和G2P[4]等。
陰性參考品應考慮檢測特異性的評價,應納入正常臨床樣本、含干擾因素的樣本及其他病原體特異性抗原陽性樣本。
檢測限參考品可設置病毒株/臨床陽性樣本的系列梯度樣本,其中應包含檢測限附近水平。A組輪狀病毒型別應至少包括G9P[8]、G3P[8]、G1P[8]和G2P[4]等。
精密度參考品一般包括弱陽性水平、中/強陽性水平。
(二)主要生產工藝及反應體系的研究資料
1.產品基本反應原理介紹。
2.主要生產工藝介紹,可用流程圖方式表示,并簡要說明主要生產工藝的確定依據。
3.包被/標記工藝研究,申請人應考慮如包被/標記液量、濃度、時間、條件等指標對產品性能的影響,通過實驗確定上述指標的最佳組合。
4.顯色系統、酶作用底物等的介紹以及最適條件研究。
5.反應條件確定:申請人應考慮反應時間、判讀時間、反應溫度、洗滌液體積和洗滌次數(如涉及)等條件對產品性能的影響,通過實驗確定上述條件的最佳組合。
6.反應體系中樣品加樣方式及加樣量確定:通過實驗確定最佳的加樣方式及加樣量。如樣本需采取稀釋或其他必要的方法進行處理后方可用于最終檢測,申請人還應對樣本稀釋液及其用量、其他必要的處理方法等進行研究。
(三)分析性能評估
申請人應提交對試劑盒的全部性能進行評估的資料,對于每項分析性能的評價都應包括研究目的、實驗設計、研究方法、可接受標準、實驗數據、統計方法等詳細資料。有關分析性能評估的背景信息也應在申報資料中有所體現,包括實驗地點(實驗室)、人員及數量、適用儀器、儀器掃描模式、試劑規格、批號、臨床樣本來源(如涉及)等。分析性能評估的實驗方法可以參考相關文件或指導原則進行。建議著重對以下適用分析性能進行研究:
1.樣本采集和處理
研究對保存液成分、濃度和使用量的要求;具體采樣量和采樣方式的要求;樣本運輸和保存要求等。
2.最低檢測限
2.1最低檢測限的確定
在進行最低檢測限研究時,應先進行檢測限范圍的初步確認。最低檢測限的確定試驗建議采用梯度稀釋的病毒、每個梯度的病毒液重復3-5份、每份重復檢測不少于20次,通常將具有90%-95%以上陽性檢出率的病毒水平作為最低檢測限。建議采用蝕斑形成單位(plaque forming units,PFU)或半數組織培養感染量(50% tissue culture infectious dose,TCID50)法進行病毒滴度的滴定,并采用上述兩種方式作為病毒濃度的表示方式。
2.2最低檢測限的驗證
應在最低檢測限水平附近,選擇不同來源的病毒株進行最低檢測限的驗證。
最低檢測限的驗證應包含輪狀病毒所有常見型別(至少包括G9P[8]、G3P[8]、G1P[8]、G2P[4]等,以及近年來我國流行的型別)。試驗采用的稀釋液應與適用樣本類型的性質一致。應提供詳細的病毒滴度的確定方法,同時應詳細描述病毒樣本的確認方法及驗證結果。
3.包容性
申請人應使用輪狀病毒所有常見型別的多個病毒株,進行包容性的驗證,以考察試劑對不同病毒株的檢出能力。可從最低檢出限、重復性、準確性等方面進行驗證,提供樣本相關信息及病毒濃度的確認方法、實驗數據。
4.精密度
應對可能影響檢測精密度的主要變量進行驗證,包括檢測時間、分析儀、操作者、地點、檢測輪次等要素。設定合理的精密度評價周期,對批內/批間、日內/日間以及不同操作者之間的精密度進行綜合評價。用于精密度評價的臨床樣本應至少包含3個水平:陰性樣本、臨界陽性樣本、(中或強)陽性樣本,并根據產品特性設定適當的精密度要求。
5.特異性
5.1交叉反應
用于交叉反應驗證的病原體種類主要考慮以下幾方面可能性:抗原結構的同源性、易引起相同或相似的臨床癥狀、采樣部位可能存在的其他微生物。建議在病毒和細菌感染的醫學相關水平進行交叉反應的驗證。申請人應提供所有用于交叉反應驗證的病毒和細菌的來源、種屬/型別和濃度確認等試驗資料。
建議用于交叉反應研究的病原微生物至少包括:腸道腺病毒,腸道病毒、杯狀病毒(如諾如病毒)、甲型肝炎病毒、戊型肝炎病毒、星狀病毒、金黃色葡萄球菌、傷寒沙門菌、甲/乙/丙副傷寒沙門菌、腸炎沙門菌、鼠傷寒沙門菌、小腸耶爾森菌、鏈球菌、痢疾志賀氏菌、彎曲桿菌、致瀉性大腸桿菌、艱難芽孢梭狀桿菌、產氣莢膜桿菌、弧菌等,以上病原體應包含常見型別或亞型。建議使用病原體培養液/臨床樣本作為研究樣本類型。
應使用至少20例正常人樣本進行驗證,考察樣本中存在的人體正常菌群、條件致病菌等的交叉反應影響。
5.2干擾研究
建議申請人在每種干擾物質的潛在最大濃度(“最差條件”)條件下,使用病毒抗原臨界陽性水平樣本、陰性樣本進行干擾試驗研究。
推薦用于干擾試驗的物質包括:血液(血紅蛋白、白細胞)、腸道炎性分泌液、粘液(粘蛋白)、脂肪、緩解腹瀉或其他胃腸道癥狀的藥物、抗細菌類藥物、抗病毒類藥物等。
6.鉤狀(HOOK)效應
建議采用高滴度的病毒株/陽性樣本進行梯度稀釋后分別檢測,每個梯度重復3至5次,將顯色深度或檢測值隨滴度升高反而變淺或降低時的滴度作為出現鉤狀效應時的最低滴度。
7.其他
應提供企業參考品驗證資料:采用至少三批產品對企業參考品進行檢驗并提供詳細的實驗數據。
如有不同包裝規格,應分別提交性能評估資料,或提供不同包裝規格無性能差異的依據。如適用不同機型,應分別提交性能評估資料,并在產品說明書【適用儀器】項下明確所有機型。注意不同樣本類型的適用性,根據產品特點進行分析性能評估。
應明確試劑盒可檢測的輪狀病毒群組,提交采用該群組輪狀病毒進行的分析性能研究資料,同時在產品名稱和產品說明書【預期用途】項下明確可檢測群組。對于其他群組,建議進行相應的交叉反應驗證,如有可能存在的風險,應在產品說明書【檢驗結果的局限性】項下進行提示。
(四)陽性判斷值的研究
提交對申報試劑陰性/灰區/陽性等結果判斷的陽性判斷值(cut-off,CO)確定的研究資料,包括具體的試驗方案、人群及受試者樣本選擇、評價標準、統計學分析和研究數據等。建立陽性判斷值使用的樣本來源的選擇應考慮到不同的地理區域、不同的感染階段和生理狀態等因素的影響。另外,不同的樣本類型如有差異應分別確定。
如適用,可采用受試者工作特征曲線(receiver operating characteristic curve,ROC)的分析方式來選擇確定合理的陽性判斷值;如結果存在灰區(equivocal zone),應明確灰區建立的基礎。
(五)穩定性研究資料
穩定性研究主要包括實時穩定性、開封(使用)穩定性、運輸穩定性、開瓶(復溶)穩定性等。研究資料應包括研究方法的確定依據、具體方法及過程。對于實時穩定性研究,應提供至少3批樣品在實際儲存條件下保存至成品有效期后的研究資料。
應提交不同使用環境條件對檢測結果影響的研究資料。例如,試紙實時和開封穩定性研究,不同溫度和濕度條件下的性能研究等。
(六)臨床試驗
臨床試驗的開展、方案的制定以及報告的撰寫等均應符合相關法規及《體外診斷試劑臨床試驗技術指導原則》(原國家食品藥品監督管理總局通告2014年第16號)的要求,如相關法規、文件有更新,臨床試驗應符合更新后的要求。下面僅說明臨床試驗中應關注的重點問題。
1.研究方法
此類產品的樣本類型一般為糞便樣本。
對于已有同類產品上市的試劑的臨床研究,選擇境內已批準上市、臨床普遍認為質量較好的同類產品作為參比試劑,采用試驗用體外診斷試劑與之進行對比試驗研究,評價兩種方法檢測結果的一致性,評價指標通常包括陽性符合率、陰性符合率等。對比試劑在預期用途、適用人群、樣本類型、檢測方法學、檢測性能等方面應與試驗用體外診斷試劑具有較好的可比性。
對于無同類產品上市的情況,其臨床研究可選擇與臨床參考標準進行比較研究的方法,評價試驗用體外診斷試劑的臨床性能。
2.受試者選擇
輪狀病毒抗原檢測試劑一般用于急性胃腸炎患者輪狀病毒感染的輔助診斷。根據試驗用體外診斷試劑預期用途,臨床試驗應選擇具有急性胃腸炎癥狀(如嘔吐,腹瀉等),急性胃腸炎相似癥狀的人群作為研究對象,制定合理的臨床試驗受試者入組/排除標準。此外,考慮輪狀病毒感染的流行病學特征,臨床試驗應主要入組嬰幼兒人群,也應納入一定量成年人病例,以及各種可能的干擾樣本和交叉反應樣本。
3.臨床試驗機構數量和要求
應選擇不少于3家(含3家)符合要求的臨床試驗機構開展臨床試驗。臨床試驗機構的選擇應充分考慮試驗用體外診斷試劑的特點和預期用途,選擇具有代表性的機構開展臨床試驗,包括受試人群的代表性等。
4.臨床評價指標
該類產品臨床評價指標主要包括試驗用體外診斷試劑與已上市同類產品相比的陽性符合率、陰性符合率等。如試驗用體外診斷試劑與臨床參考標準進行對比研究,其臨床評價標準應包括臨床靈敏度、臨床特異度等。
5.臨床試驗樣本量估算
適當的樣本量是保證申報產品臨床性能得到準確評價的必要條件。臨床試驗樣本量應滿足統計學要求,可采用適當的統計學方法進行估算。根據相應臨床試驗設計,可選擇陰性符合率和陽性符合率,或臨床特異度和臨床靈敏度,分別估算最低陰性樣本例數和陽性樣本例數。
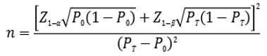
如臨床試驗采用試驗用體外診斷試劑與已上市同類產品進行比對的試驗設計,可采用單組目標值法樣本量公式估算最低樣本量。

公式中,n為樣本量;Z1-α、Z1-β為顯著性水平和把握度的標準正態分布的分數位,P0為評價指標的臨床可接受標準,PT為試驗用體外診斷試劑評價指標預期值。
基于現有認知,評價指標的臨床可接受標準(P0)即輪狀抗原檢測試劑陽性符合率建議不低于90%,陰性符合率建議不低于95%。獲得臨床試驗數據后,證明產品相對于對比試劑的陰/陽性符合率(置信區間下限)不低于預設的臨床可接受標準。當評價指標P接近100%時,上述樣本量估算方法可能不適用,應考慮選擇更加適宜的方法進行樣本量估算,如精確概率法等。
對于尚無同類產品上市的情況,申請人應根據產品特性和臨床需求進行合理的樣本量估算。
臨床試驗樣本量除需滿足上述統計學估算的最低樣本量要求外,還需納入干擾樣本、交叉反應樣本,同時還要考慮受試者脫落剔除率等情況。如臨床試驗研究有更合理的樣本量估算方式,在說明其合理性后亦可采用。
6.統計分析
應選擇合適的統計方法對臨床試驗結果進行統計分析,對于試驗用體外診斷試劑與已上市產品(對比試劑)的一致性評價,一般選擇2×2表的形式總結兩種試劑/方法的檢測結果,并據此計算陽性符合率、陰性符合率、總符合率、Kappa值等指標及其可信區間。
對于不一致樣本,應進行原因分析。如臨床試驗方案規定采用其他方法進行確認,則確認結果不應納入統計分析。
7.倫理學要求
臨床試驗必須符合赫爾辛基宣言的倫理學準則,必須獲得臨床試驗機構倫理委員會的同意。研究者應充分考慮臨床試驗用樣本的獲得和試驗結果對受試者的風險性,應提交倫理委員會的審查意見。
8.質量控制
臨床試驗開始前,建議進行臨床試驗的預試驗,以熟悉并掌握相關試驗方法的操作、儀器、技術性能等,最大限度控制試驗誤差。整個試驗過程都應處于有效的質量控制下,最大限度保證試驗數據的準確性及可重復性。
9.臨床試驗方案
臨床試驗實施前,研究人員應從流行病學、統計學、臨床醫學、檢驗醫學等方面考慮,設計科學合理的臨床試驗方案。各臨床試驗機構應執行統一的臨床試驗方案,且保證在整個臨床試驗過程中遵循預定的方案,不可隨意改動。整個試驗過程應在臨床試驗機構的實驗室內由本實驗室的技術人員操作完成,申報單位的技術人員除進行必要的技術指導外,不得隨意干涉實驗進程,尤其是數據收集過程。
試驗方案中應確定嚴格的病例納入/排除標準,任何已經入選的病例再被排除出臨床試驗都應記錄在案并明確說明原因。在試驗操作過程中和判定試驗結果時應采用盲法以保證試驗結果的客觀性。
10、臨床試驗報告
臨床試驗報告應該對試驗的整體設計及各個關鍵點給予清晰、完整的闡述,所有臨床試驗操作應符合說明書的相關要求,例如由于糞便樣本不易均質化,臨床試驗中應明確樣本采集方法和樣本用量等信息,對整個臨床試驗實施過程、結果分析、結論等進行條理分明的描述,并應包括必要的基礎數據和統計分析方法,得出臨床試驗結論。
(七)注冊檢驗
應提供符合產品技術要求的、在具有相應醫療器械檢驗資質和承檢范圍的醫療器械檢驗機構進行的產品檢驗報告,應提供連續3個生產批次樣品的檢驗合格報告。該項目目前已有國家參考品,應采用國家參考品進行注冊檢測。
(八)產品說明書
說明書承載了產品預期用途、標本采集及處理、檢驗方法、檢驗結果解釋以及注意事項等重要信息,是指導實驗室工作人員正確操作、臨床醫生針對檢驗結果給出合理醫學解釋的重要依據。產品說明書的格式應符合《體外診斷試劑說明書編寫指導原則》(原國家食品藥品監督管理總局通告2014年第17號)的要求,進口體外診斷試劑的中文說明書除格式要求外,其內容應盡量保持與原文說明書的一致性,翻譯力求準確且符合中文表達習慣。產品說明書中相關技術內容均應與申請人提交的注冊申報資料中的相關研究結果保持一致,如某些內容引用自參考文獻,則應以規范格式對此內容進行標注,并單獨列明文獻的相關信息。
下面對產品說明書的重點內容進行詳細說明。
1.【預期用途】
應至少包括以下內容:
1.1試劑盒用于定性檢測人體***樣本(如糞便)中的*群輪狀病毒抗原。
1.2相關背景信息:簡要描述病原體生物學特征及致病性,感染后臨床表現,相關的實驗室診斷方法,臨床目標人群,產品功能(如可用于輪狀病毒感染的輔助診斷)等。
2.【檢驗原理】
描述試劑盒的技術原理,可結合圖示進行說明。
3.【主要組成成分】
3.1詳細說明試劑盒內各組分的名稱、數量、成分、濃度等信息,如含有生物源性物質,應說明其(生物學)來源、活性及其他特性;對于膠體金、免疫層析法等試劑應描述試劑條/卡結構組成。說明不同批號試劑盒中各組分是否可以互換。
3.2試劑盒中不包含但對該項檢測必需的組分,應列出相關試劑的生產企業、產品名稱以及備案憑證號或注冊證號(如有)等信息。
4.【儲存條件及有效期】
說明試劑盒的效期穩定性、開封穩定性、運輸穩定性、凍融次數要求等,應標明具體的儲存條件及效期,明確溫濕度要求。
5.【適用機型】(如適用)
注明所有適用的儀器型號,并提供與儀器有關的重要信息以指導用戶操作。酶標儀應明確波長要求。
6.【樣本要求】
說明對樣本采集、處理、保存等方面的要求,包括采樣要求、采集器的要求、離心條件、運送條件、保存條件及效期、凍融要求、預處理方法等,相關內容應經過前期驗證。
7.【檢驗方法】
7.1實驗環境:檢測試劑及樣本的復溫要求等。
7.2試劑配制方法,試劑開封后使用方法等。
7.3樣本稀釋的方法。
7.4試驗條件:操作步驟、溫度、時間、儀器條件等。
7.5質量控制:操作步驟,質控結果的要求(試驗有效性的判斷),質控結果不符合要求的處理方式。
7.6可采用圖示形式顯示正確的檢驗操作方法、程序及注意事項等。特別注意應強調操作溫度及濕度條件、讀取結果的時間。
7.7特別說明檢驗操作過程中的注意事項。
8.【陽性判斷值】(如適用)
明確陽性判斷值,簡要描述陽性判斷值確定的試驗方法。
9.【檢驗結果的解釋】
詳細描述檢測結果的判定標準或計算方法,如有灰區判定,應詳細說明灰區樣本的處理方法。建議可采用圖示形式描述結果判讀方法(例如膠體金、免疫層析法等試劑)。
10.【檢驗方法局限性】
綜合產品的預期用途、臨床背景、檢測方法及適用范圍等信息,對可能出現的局限性進行相關說明。
11.【產品性能指標】
詳述以下性能指標:
11.1對相應國家參考品檢測的符合情況。
11.2企業內部參考品符合率。簡單介紹各企業參考品的組成、來源以及濃度梯度設置等信息。
11.3最低檢測限:簡要介紹評價方法、所用病毒株或樣本情況以及評價結果。
11.4對包容性的研究情況進行總結。
11.5對精密度的研究情況進行總結。
11.6分析特異性
11.6.1交叉反應:詳述交叉反應驗證的病原體種類,及有/無交叉反應的濃度水平。
11.6.2干擾物質:說明驗證的干擾物質種類及有/無干擾反應的濃度水平。
11.7鉤狀(HOOK)效應:對高濃度鉤狀效應的驗證情況進行總結。
11.8臨床試驗:簡要介紹試驗方法、受試者及樣本、試驗結果和結論等。
12.【注意事項】
應至少包括以下內容:
12.1有關試劑盒內人源組分(如有)生物安全性的警告。如:試劑盒內對照品(質控品)或其他可能含有人源物質的組分,雖已經通過了乙型肝炎病毒表面抗原(HBs-Ag)、人類免疫缺陷病毒1/2型抗體(HIV1/2-Ab)、丙型肝炎病毒抗體(HCV-Ab)等項目的檢測,結果為陰性,但截至目前,沒有任何一項檢測可以確保絕對安全,故仍應將這些組分作為潛在傳染源對待。
12.2有關實驗操作、樣本保存及處理等其他注意事項。
1.國家食品藥品監督管理總局.體外診斷試劑注冊管理辦法(局令第5號),2014年7月.
2.國家食品藥品監督管理總局.體外診斷試劑臨床試驗技術指導原則,2014年9月.
3.國家食品藥品監督管理總局.體外診斷試劑說明書編寫指導原則,2014年9月.
4.國家食品藥品監督管理總局.體外診斷試劑注冊申報資料要求和批準證明文件格式,2014年9月.
5.兒童輪狀病毒胃腸炎預防診療專家共識(2020年版)[J].中華預防醫學雜志,2020(04).
6.Knipe D M,Howley PM. Fields Virology,6th ed. Lippincott Williams & Wilkins,Philadelphia,PA,2013.
國家藥品監督管理局醫療器械技術審評中心

站點聲明
本網站所提供的信息僅供參考之用,并不代表本網贊同其觀點,也不代表本網對其真實性負責。圖片版權歸原作者所有,如有侵權請聯系我們,我們立刻刪除。如有關于作品內容、版權或其它問題請于作品發表后的30日內與本站聯系,本網將迅速給您回應并做相關處理。
鄭州思途醫療科技有限公司專注于醫療器械產品政策與法規規事務服務,提供產品注冊備案申報代理、臨床試驗、體系建立輔導、分類界定、申請創新辦理服務。
為規范醫療器械現場檢查,提升檢查員現場檢查能力,指導檢查員對醫療器械生產企業工藝用水控制情況的檢查,提高企業工藝用水質量安全保證水平,依據《醫療器械監督管理條例》
2024年10月19日,在第 75 屆世界醫學會全體大會上正式通過了《赫爾辛基宣言》的最新修訂版本;《赫爾辛基宣言》作為人類參與者的醫學研究倫理
附件:血液透析用水處理設備注冊審查指導原則(2024年修訂版)(2024年第19號).doc血液透析用水處理設備注冊審查指導原則(2024年修訂版)本指導原則旨在指導注冊申請人對血液透析用水處理設備注冊申報資料的準備及撰寫,同時也為技術審評部門提供參考。本指導原則是對血液透析用水處理設備的一般要求,注冊申請人依據產品的具體特性確定其中內容是否適用。若不適用,要具體闡述理由及相應的科學依據,并依據產
本指導原則旨在幫助和指導注冊申請人對一次性使用腹部穿刺器注冊申報資料進行準備,以滿足技術審評的基本要求。同時有助于審評機構對該類產品進行科學規范的審評,提高審評工
附件:重組膠原蛋白創面敷料注冊審查指導原則(2023年第16號).doc重組膠原蛋白創面敷料注冊審查指導原則本指導原則旨在指導注冊申請人準備及撰寫重組膠原蛋白創
國家藥監局關于發布免于臨床試驗的體外診斷試劑臨床評價技術指導原則的通告(2021年第74號)發布時間:2021-09-24為指導體外診斷試劑的臨床評價工作,根據
國家藥監局藥審中心關于發布《抗腫瘤藥物臨床試驗中SUSAR分析與處理技術指導原則》的通告(2024年第42號) 發布日期:20241010
國家藥監局器審中心關于發布影像型超聲診斷設備(第三類)注冊審查指導原則(2023年修訂版)的通告(2024年第29號)發布時間:2024-10-14為進一步規范
附件:一次性使用醫用沖洗器產品注冊審查指導原則(2022年第41號).doc一次性使用醫用沖洗器產品注冊審查指導原則本指導原則旨在指導注冊申請人對一次性使用醫用
附件:醫用透明質酸鈉創面敷料注冊審查指導原則(2024年第21號).doc醫用透明質酸鈉創面敷料注冊審查指導原則本指導原則旨在指導注冊申請人準備及撰寫醫用透明質酸鈉創面敷料注冊申報資料,同時也為技術審評部門審查注冊申報資料提供參考。本指導原則是對醫用透明質酸鈉創面敷料產品的一般要求,注冊申請人應依據產品的具體特性確定其中內容是否適用,若不適用,需具體闡述理由及相應的科學依據,并依據產品的具體特性對
行業資訊
知識分享
八年
醫療器械服務經驗
聯系思途,免費獲得專屬《落地解決方案》及報價
咨詢相關問題或咨詢報價,可以直接與我們聯系
思途CRO——醫療器械注冊臨床第三方平臺
