長江三角洲區域醫療器械注冊人制度試點工作實施方案(試行)(滬藥監械管〔2019〕112號)
為深入貫徹落實中共中央辦公廳、國務院辦公廳印發的《關于深化審評審批制度改革鼓勵藥品醫療器械創新的意見》(廳字〔2017〕42號),按照國家藥品監督管理局《關于擴大醫療器械
來源:醫療器械注冊代辦 發布日期:2018-03-21 閱讀量:次
附件:持續葡萄糖監測系統注冊技術審查指導原則(2018年第56號).doc
本指導原則是對持續葡萄糖監測系統的一般要求,注冊申請人應依據具體產品的特性對注冊申報資料的內容進行充實和細化。注冊申請人還應依據具體產品的特性確定其中的具體內容是否適用,若不適用,需具體闡述其理由及相應的科學依據。
本指導原則是對注冊申請人和審查人員的指導性文件,但不包括注冊審批所涉及的行政事項,亦不作為法規強制執行,如果有能夠滿足相關法規要求的其他方法,也可以采用,但是需要提供詳細的研究資料和驗證資料。應在遵循相關法規的前提下使用本指導原則。
本指導原則是在現行法規和標準體系以及當前認知水平下制定的,隨著法規和標準的不斷完善,以及科學技術的不斷發展,本指導原則相關內容也將適時進行調整。
本指導原則適用于以電化學為基本原理,通過微創傳感器手段,檢測組織液中葡萄糖濃度的回顧式或實時持續葡萄糖監測系統。持續葡萄糖監測系統接收器中內置血糖檢測模塊的產品還應滿足血糖儀注冊技術審查指導原則的相關內容。接收器帶有胰島素泵功能的產品應考慮增加胰島素泵的適用要求。
(一)概述
持續葡萄糖監測(Continuous Glucose Monitoring,CGM)系統,通常稱為動態葡萄糖監測系統,屬于醫療器械分類目錄(2018版)中07醫用診察和監護器械,一級產品類別為04監護設備,二級產品類別為03動態血糖/葡萄糖監測設備。在醫療器械分類目錄(2002版)中屬于6821醫用電子儀器設備,03有創醫用傳感器。
產品從數據提供方式上可分為實時/回顧兩種類型,從校準情況上可分為校準/無校準兩種類型。
1.實時/回顧:根據產品在使用過程中,是否能在第一時間顯示出葡萄糖數據,而非在佩戴結束后將數據上傳后才能獲得,分為實時持續葡萄糖監測系統和回顧式持續葡萄糖監測系統。
2.校準/無校準:根據產品在使用過程中,是否需要使用者輸入指尖測量血糖或其他血糖值進行校準,分為需校準持續葡萄糖監測系統和無校準持續葡萄糖監測系統。
(二)產品描述
1.工作原理
描述產品工作原理,包括系統工作原理(數據傳輸方式)以及其核心部分傳感器的電化學反應工作原理。提供框圖及化學生物反應方程式詳細說明。
如持續葡萄糖監測系統,應用電化學反應原理,通過固定在傳感器上的生物酶,如葡萄糖氧化酶,經植入到皮下組織中,測量組織液中的葡萄糖濃度。葡萄糖氧化酶測量的電信號,通過持續葡萄糖監測系統的發射器或接收器,以及算法處理,將電信號轉化為葡萄糖濃度,顯示到顯示器或者軟件里,形成葡萄糖監測圖譜。
框圖舉例如下:

在監測圖譜的基礎上,可以分析患者每天的最高葡萄糖值、最低葡萄糖值及葡萄糖值波動的規律。實時顯示葡萄糖數值時,還可以對患者提供高低葡萄糖報警,及葡萄糖趨勢變化方向和速率等信息。
2.結構組成
應提供所有器械組件的詳細描述。
實時持續性葡萄糖監測系統通常包括一次性使用葡萄糖傳感器、發射器、接收器、軟件、附件等。附件(如有)包括傳感器輔助插入裝置、充電器、探頭檢測器、膠帶等。發射器可能與傳感器集成于一體;接收器可能與顯示器、胰島素泵集成于一體(以下統稱接收器),也可能是移動設備(如手機)。移動設備通常不是產品的組成部分。軟件包括記錄采集傳輸數據的軟件,用于轉換電流信號為血糖信號的軟件等。
回顧式持續性葡萄糖監測系統通常包括一次性使用葡萄糖傳感器、數據記錄器、信息提取器(如有)、軟件、附件等。
應提供所有器械組件(含附件)的實物圖、拆解圖、系統框圖以及便于理解的必要注釋。圖中標識出與人體接觸材料。
3.應提供與人體接觸材料的描述
應描述與人體接觸的部件名稱、材料的化學名稱、規格、組織接觸類型及接觸時間、材料來源(如葡萄糖氧化酶來源于黑曲霉)、高分子材料注明CAS號、金屬材料注明牌號、材料符合的標準。
4.應提供器械組件和附件的功能描述
說明器械組件功能,包括信號采集、存儲、傳輸、轉換、顯示、配套軟件功能及運行平臺,如:一次性使用葡萄糖傳感器是一次性使用組件,其核心作用是將組織液中的葡萄糖信號檢測出來,并轉化為電子信號。電流信號的強弱與葡萄糖濃度成正比。
發射器為葡萄糖傳感器供電,將傳感器檢測出來的電信號采集后轉換為數字信號并經過過濾減少噪聲和貯存,并通過有線和/或無線的方式發送至接收器。包括無線模塊、校準算法、探頭完整性診斷等部分。
接收器通常帶有信號處理軟件組件,通過特殊的運算法則將收集到的電信號轉化為葡萄糖數值,并以圖表或圖譜的形式顯示給患者或專業醫護人員。對于有些產品,信號接收和處理可能集成在發射器或移動設備所含應用軟件(APP)上。
電子顯示部分,應明確產品提供數據方式,如是回顧式還是實時提供數據,及得出數據的原理。
應當說明軟件組成、運行環境及功能。
5.應有器械組件和附件的設計說明
對于其核心部分的傳感器:
(1)應重點描述裸電極、葡萄糖限制膜層、助粘劑層(如有)、保護層(如有)、葡萄糖氧化酶層等化學堆層的制造流程方式,明確各膜層溶液成分、規格、配比及制造商,并標注制造過程中使用的助劑,如化學交聯劑(如戊二醛)、起始劑等,高分子聚合單體等對人體有害物質。
應提供化學堆層示意圖,圖上標明各堆層成分。
應提供傳感器電極剖面放大圖,描述各電極(如工作電極、參比電極、對電極)結構。
(2)應重點描述制造過程中所使用的生物源成分(如酶),人類血液制劑(如人血清白蛋白)及動物源組織(如牛血清白蛋白)等的來源、制造商、監管類型(生物制品、藥品)并提供與監管類型相適應的證書、明確符合的質量標準。
(3)反應原理(如氧化反應的公式和電流值的算法)及獲取信號的方式等的描述。
6.通信路徑功能組件的描述
通信路徑功能組件的描述應包括功能組件之間的信息傳遞,包括允許進行信息傳遞的硬件和軟件的描述。描述內容應包括:
(1)通信路徑。申請人應描述各功能組件與系統內部其他功能組件進行通信的各種方式。申請人應確定功能組件之間的通信流(即單向或雙向)并確定所傳遞的信息。
(2)通信硬件。申請人應描述各功能組件之間的信息傳遞方式并描述傳遞此信息所需使用的硬件。
(3)如果系統包括或預期包括射頻(RF)無線技術(例如:IEEE 802.11、藍牙、Zigbee),則描述應包括特定射頻無線技術和特性、用途和功能(例如:遠程監測或控制、軟件更新)、待傳輸數據(包括以無線方式傳輸的任何報警)、所需的服務品質(QoS)、無線安全協議及與其他射頻無線技術或電磁干擾(EMI)共存的相關限制或約束。
(4)如果能夠從遠方對器械進行遠程監測,則此功能等同于包含安全保證措施的描述。
(三)型號規格
應給出產品規格型號及產品配置表。
應提供各種型號規格、同種部件、配置間差異的描述(如有),可以采用說明性文字及圖表形式描述差異點。差異點包括不限于結構組成、功能、性能指標等內容。
(四)包裝說明
應當說明有關產品包裝的信息(如托盤、護蓋材料)以及與該產品一起銷售的配件包裝情況。
對于持續葡萄糖監測系統的傳感器部分,應當說明與滅菌方法相適應的最初包裝的信息。
(五)適用范圍和禁忌癥
1.適用范圍
明確說明產品的預期用途,應包含以下內容:
(1)應當明確檢測的樣本類型和臨床意義。如:用于檢測組織間液中葡萄糖濃度,監測連續變化趨勢并跟蹤其持續波動趨勢,輔助監測高血糖和低血糖的發生,不能作為治療藥物調整的依據。如果作為治療藥物調整的依據,應提供額外的證據。
(2)應當明確目標用戶及其操作該產品應當具備的技能、知識、培訓。
(3)應當明確適用目標人群,如成人、兒童或新生兒,患者選擇標準的信息,并在臨床評價資料中提供依據。
(4)明確預期的使用環境,說明持續葡萄糖監測系統預期使用的地點。如用于家用環境的要求(如是否需要醫生處方等),及需提供可用于家用環境的臨床證明。
(5)應當明確說明產品提供數據方式,如是回顧式還是實時提供數據。
適用范圍措辭的實例:
該器械用于糖尿病成年患者(等于或大于18歲)的組織間液葡萄糖水平的連續或定期監測,以便提高糖尿病管理水平。如葡萄糖水平低于或高于預設值,其會發出報警。數值并不直接用于治療調整,而是用于提醒何時需要進行指尖血測試。
該系統可提供并存儲實時葡萄糖值,從而允許用戶可以跟蹤葡萄糖濃度變化的趨勢,并識別可能出現的低血糖和高血糖反應。葡萄糖數據可以進一步下載到計算機軟件上,用于對歷史葡萄糖值進行分析。該器械用途旨在連續或定期記錄2型糖尿病成年患者(等于或大于18歲)的細胞間隙葡萄糖水平。該信息旨在補充而不是替代使用標準家用葡萄糖監測器械獲得的信息,旨在探測走勢和追蹤圖形,供專業醫生審查。這些值并不直接用于進行療法調整,而是用于指示可能需要進行指尖毛細血管血糖檢測。該系統收集的信息,可以通過下載顯示在計算機屏幕上,供專業醫生在整個記錄間期(建議為72小時)結束之后查看這些數據。該系統提供實時血糖值,從而允許用戶可以跟蹤血糖濃度變化的模式,它還存貯數據,以便對其進行分析來跟蹤模式。血糖數據可以進一步下載到計算機軟件上,用于對歷史血糖值進行分析。該器械用途旨在連續或定期記錄2型糖尿病成年患者(等于或大于18歲)的細胞間隙葡萄糖水平。該信息旨在補充而不是替代使用標準家用葡萄糖監測器械獲得的信息,旨在探測走勢和追蹤圖形,供專業醫生審查。這些值并不直接用于進行療法調整,而是用于指示可能需要進行指尖毛細血管血糖檢測。該系統收集的信息,可以通過下載顯示在計算機屏幕上,供專業醫生在整個記錄間期(建議為72小時)結束之后查看這些數據。該系統提供實時血糖值,從而允許用戶可以跟蹤血糖濃度變化的模式,它還存貯數據,以便對其進行分析來跟蹤模式。血糖數據可以進一步下載到計算機軟件上,用于對歷史血糖值進行分析。該器械用途旨在連續或定期記錄2型糖尿病成年患者(等于或大于18歲)的細胞間隙葡萄糖水平。該信息旨在補充而不是替代使用標準家用葡萄糖監測器械獲得的信息,旨在探測走勢和追蹤圖形,供專業醫生審查。這些值并不直接用于進行療法調整,而是用于指示可能需要進行指尖毛細血管血糖檢測。該系統收集的信息,可以通過下載顯示在計算機屏幕上,供專業醫生在整個記錄間期(建議為72小時)結束之后查看這些數據。該系統提供實時血糖值,從而允許用戶可以跟蹤血糖濃度變化的模式,它還存貯數據,以便對其進行分析來跟蹤模式。血糖數據可以進一步下載到計算機軟件上,用于對歷史血糖值進行分析。該器械用途旨在連續或定期記錄2型糖尿病成年患者(等于或大于18歲)的細胞間隙葡萄糖水平。該信息旨在補充而不是替代使用標準家用葡萄糖監測器械獲得的信息,旨在探測走勢和追蹤圖形,供專業醫生審查。這些值并不直接用于進行療法調整,而是用于指示可能需要進行指尖毛細血管血糖檢測。該系統收集的信息,可以通過下載顯示在計算機屏幕上,供專業醫生在整個記錄間期(建議為72小時)結束之后查看這些數據。該系統提供實時血糖值,從而允許用戶可以跟蹤血糖濃度變化的模式,它還存貯數據,以便對其進行分析來跟蹤模式。血糖數據可以進一步下載到計算機軟件上,用于對歷史血糖值進行分析。
2.禁忌癥
根據產品特性,說明產品不適用的情況,如由于產品的傳感器需要用膠布固定在皮膚上,所以過敏性皮膚患者或易患皮膚潰瘍的人慎用等,在進行核磁共振成像(MRI)之前,必須移除該產品。
(六)參考的同類產品或前代產品的情況
應當闡述參考的同類產品或前代產品的情況,應當闡述申請注冊產品的研發背景和目的。對于同類產品,應當說明選擇其作為研發參考的原因。
同時列表比較說明產品與參考產品在工作原理(如有創、化學反應)、結構組成、制造材料(包括動物源性材料、藥物成分、生物活性物質、符合的標準等信息)、性能要求、作用方式(如植入、介入)、適用范圍、傳感器存儲條件(溫度、濕度)、運行溫度和滅菌有效期等方面的異同。
傳感器性能要求比對資料應至少包括葡萄糖監測范圍、線性、響應時間、重復性、穩定性、藥物干擾、溫度響應、氧化反應、防水性能、傳感器佩戴時間(小時)、校正次數、報警功能、檢測頻率(分鐘)等。
在對比材料中應注意突出注冊產品與對比產品的不同,及不同點的原理基礎和性能等,在前面資料應有相應描述。
(七)其他需說明的內容
對于已獲得批準的部件或配合使用的附件(如傳感器、電子部分或助針器),應當提供批準文號和批準文件的復印件。預期與其他醫療器械或通用產品組合使用的,應當提供說明。應當說明系統各組合醫療器械間存在的物理、電氣等連接方式(如與胰島素泵組合使用,說明其使用方式及數據傳輸運用的安全性)。除了持續葡萄糖監測功能外,如還有其他血糖或血酮檢測功能,需要說明其特征、結構和原理。
(一)產品性能研究
應當提供與產品性能及產品技術要求相適應的研究資料,應明確制定依據,所采用的標準、采用的原因及理論基礎,以及標準不適用項目的合理解釋。試驗方法明確檢測樣本數量確定依據、檢測設備、方法學。
(二)生物相容性評價研究
持續葡萄糖監測系統的傳感器基座、傳感器探針、粘貼片、插入傳感器用導引針(如有)部分,由于其與皮下組織或者皮膚相接觸,應當通過生物相容性的研究資料,說明其生物相容性。
生物學評價應當按照GB/T 16886.1—2011標準進行,應提供基本信息:包括與人體接觸部件、部件材料、接觸部位、接觸時間、材料的化學名稱及規格、高分子材料CAS號、金屬材料牌號、材料符合的標準。
傳感器探針等組織接觸的部分可通過如細胞毒性試驗、致敏性(遲發型超敏反應試驗)、刺激(皮內反應試驗)、植入試驗、急性全身毒性試驗、亞急性毒性試驗、遺傳毒性試驗、溶血試驗等證明。粘貼片等皮膚接觸的部分可通過如細胞毒性試驗、遲發型超敏反應試驗、皮膚刺激試驗等試驗證明。
應當按照GB/T 16886.9、GB/T 16886.16、GB/T 16886.17、GB/T 16886.18對可濾瀝物、可溶出物、潛在降解產物進行分析。
供試液制備參照GB/T 16886.12—2005標準進行,明確浸提介質、浸提液用量、浸提液溫度、浸泡時間。
如提供境外實驗室的生物相容性測試報告,同時應提供境外實驗室符合GLP資質的證明文件。境外報告檢測依據與我國現行標準不符的,應進行差異分析并提供額外的支持性證據。
(三)生物安全性研究
對于持續葡萄糖監測系統,尤其是傳感器部分,若含有同種異體材料、動物源性材料或生物活性物質等具有生物安全風險類產品(常見的如牛血清白蛋白、人血清白蛋白),應當提供相關的研究資料及生物活性物質的生物安全性研究資料。采用人血清白蛋白的產品,應提供生物安全性檢測報告。采用牛血清白蛋白的產品需按照動物源性醫療器械產品注冊申報資料指導原則及YY/T0771.1標準提供生物安全性研究資料,并應加強研究,適時采用人血清白蛋白以降低潛在風險。
(四)滅菌和消毒工藝研究
根據滅菌方法的選擇,應明確產品的滅菌工藝(方法和參數)及其確定依據,并對殘留毒性提供研究資料。
應明確關鍵部分的滅菌工藝,如傳感器部分怎樣保證包裝完整而達到滅菌效果,且傳感器酶活性等不受影響。
(五)有效期和包裝研究
1.有效期的確定
應提供不同批次傳感器有效期的驗證報告。可以通過加速老化實驗和/或實時老化實驗相結合的方式驗證使用期限。
其他組件可按照通常方法測試使用期限。
2.對于有限次重復使用的醫療器械
對于持續葡萄糖監測系統的除傳感器外的其他部分,若為有限次重復使用,應當提供使用次數驗證資料。
3.包裝及包裝完整性
說明在宣稱的有效期內以及運輸儲存條件下,保持包裝完整性的依據。
由于持續葡萄糖監測系統的特殊性,建議以加速老化和實時老化相結合的方式驗證。
(六)軟件研究
對申報產品的軟件,應當按照《醫療器械軟件注冊技術審查指導原則》提供一份單獨的醫療器械軟件描述文檔。
對于具有網絡連接功能以進行電子數據交換或遠程監測的產品,申請人還應當按照《醫療器械網絡安全注冊技術審查指導原則》單獨提交一份網絡安全描述文檔。
對于移動應用軟件(App)、使用云計算服務的軟件,申請人還應當按照《移動醫療器械注冊技術審查指導原則》提交注冊申報資料。
(七)其他研究資料
應提供持續葡萄糖傳感器葡萄糖限制膜對葡萄糖濃度的控制原理、過氧化氫反向滲透可能性、氫離子積聚導致組織液pH值變化可能性的研究資料。
應提供傳感器在聲稱的佩戴天數中有無異體蛋白脫落帶來免疫源問題的研究資料,可以提供已上市產品的免疫源性安全性評價資料。
在制造過程中,應提供批內差異及批間差異研究資料,應提供確保傳感器性能在制造工藝中的一致性研究報告或經品質檢驗方法從而達到產品性能一致性的研究報告。應提供連續三批產品的線性、重復性、響應時間、穩定性、溫度響應的檢測報告。
應提供傳感器校準或者是免校準系統(工廠校準)控制的研究資料。
應提供抗干擾性研究資料。
應提供氧氣響應的研究資料。
如產品適用于家用,應參照IEC 60601—1—11:2015標準提供適宜家用的研究資料。
如適用,應提供無線設備符合無線電管理相關規定的支持性資料,應提供無線傳輸有效性的研究資料。
(一)生產工藝過程及過程控制點
應根據申報產品的實際情況,以流程圖的形式對傳感器與記錄儀等部分的生產工藝過程分別進行詳細描述,并根據流程圖逐一描述其中的過程控制點。尤其是傳感器部分的工藝過程,如如何保證酶的活性、滅菌等。
(二)生產場地
申請人應當對與申報產品有關的研制場地和生產場地情況進行概述。
如申報產品具有多個研制、生產場地,則對每一研制、生產場地的情況均應進行概述,如傳感器部分與記錄儀部分等,需分別描述。
(一)臨床評價基本原則
臨床評價應滿足《醫療器械監督管理條例》(中華人民共和國國務院令 第680號)、《醫療器械注冊管理辦法》(國家食品藥品監督管理總局令第4號)、《醫療器械臨床試驗質量管理規范》(國家食品藥品監督管理總局 中華人民共和國國家衛生和計劃生育委員會令第25號)和《醫療器械臨床評價技術指導原則》(國家食品藥品監督管理總局通告2015年第14號)的要求。
臨床評價應選擇合適的對比器械作等同性分析,如需臨床原始數據或產品技術資料,應得到相關企業的授權。
如部分適用范圍在臨床豁免目錄內(如部分產品內置指血血糖檢查模塊),則需按其相應法規提供豁免臨床的相關材料。
對于進口醫療器械,申請人在注冊申報時,應同時提交在境外上市時提交給境外醫療器械主管部門的臨床資料。
如果傳感器關鍵部分設計發生變更,包括但不限于使用時間延長、主要結構變更、酶層變化、傳感器植入部位變更等,必須進行臨床試驗,驗證其安全性和有效性。
如果傳感器沒有發生改變,而僅僅是核心算法的改變或升級,或者傳感器增加新的功能設計,不影響測量準確性,可以通過體外驗證的方法,提供臨床評價資料來驗證其有效性。
(二)臨床試驗
臨床試驗應按照《醫療器械臨床試驗質量管理規范》及相關規定的要求進行。臨床試驗應當獲得醫療器械臨床試驗機構倫理委員會的同意,并在當地食品藥品監督管理部門備案。臨床試驗具體要求詳見附1。
本要求的主要參考和依據是醫藥行業標準YY/T0316—2017《醫療器械 風險管理對醫療器械的應用》(以下簡稱醫療器械風險管理標準)。在產品生命周期內對申報產品可能造成的危害進行判定,對第一危害的風險進行判定和評價,形成風險管理報告,控制這些風險并監視控制的有效性,充分保證產品的安全性和有效性。
風險管理報告具體要求見附2。
如傳感器材料中含有人體白蛋白等材料,則報告中需要分析其安全性風險。
申請人應當按照《醫療器械產品技術要求編寫指導原則》(國家食品藥品監督管理總局通告2014年第9號)的規定編制。本指南僅給出重點考慮的技術項目,接受標準及檢測方法由申請人提供合理制定依據。
詳細技術要求模板,請參考附3。
(一)注冊單元劃分
持續葡萄糖監測系統作為一個系統進行注冊。一次性使用葡萄糖傳感器及專用型獨立軟件不需單獨注冊,獨立軟件可單獨注冊,也可以與系統一起注冊。
以傳感器為系統的核心部件作為產品注冊單元的劃分依據。如傳感器材料不同應劃分為不同注冊單元。
傳感器反應原理或作用機理不同時,應劃分為不同注冊單元。
回顧式持續葡萄糖監測系統與實時持續葡萄糖監測系統,應劃分為不同的注冊單元。實時持續葡萄糖監測系統包含回顧式持續葡萄糖監測模式的系統可以作為同一注冊單元。
系統的性能指標有較大差異的,應劃分為不同的注冊單元。
(二)檢測要求
同一注冊單元內所檢驗的產品應當能夠代表本注冊單元內其他產品的安全性和有效性。對同一注冊單元內代表產品的選取應考慮產品預期用途、性能指標、安全指標、結構組成等,具體原則如下:
1.性能指標、安全指標和結構組成一致,預期用途不同的產品,應選取預期用途最多的型號規格作為代表產品。
2.同一注冊單元產品如包含多個產品配置,一個檢測單元應僅包含一個產品配置。
3.同一注冊單元產品如包含多個軟件組件或多個版本的軟件組件,則每個軟件組件或每個版本軟件組件構成的產品均應作為一個檢測單元,除非檢測系統具有典型性。檢測報告應包含軟件發布版本及軟件完成版本的照片。
4.對于不同型號規格產品之間電磁兼容性能可以覆蓋的情形,需由醫療器械檢驗機構在檢測報告中提供相關說明。
5.對于典型檢品的選擇,申請人應當提供相關資料予以證明。
6.持續葡萄糖監測系統進行電磁兼容檢測時,運行模式應盡量與臨床典型應用一致。根據不同產品的功能差異,常見的運行模式示例如下:
正常運行模式:接收器和發射器無線連接后,發射器與葡萄糖傳感器連接,傳感器通過測試模擬的人體葡萄糖濃度或使用模擬傳感器(電阻),按照正常工作的通信模式,接收器接收發射器發射的葡萄糖濃度數據,在接收器上實時顯示。
充電模式(內部電池供電除外):通過適配器給設備充電。
待機模式:在正常運行模式以外,設備處于待機狀態下。
數據下載模式:葡萄糖接收器通過數據線連接電腦,打開用戶分析軟件,讀取和下載接收器中的數據。
(如再有其他功能,也需要考慮)
產品使用說明書應符合《醫療器械說明書和標簽管理規定》(國家食品藥品監督管理總局令第6號)和相關的國家標準、行業標準的要求。此外應特別注意:
(一)檢測原理
說明書中應有對樣本類型,佩戴部位和檢測原理的說明,包括是檢測組織液,還是血液中葡萄糖;采用電化學方法還是熒光方法,佩戴在上臂背側還是腹部等的說明。
(二)校準方法和有效使用時長
說明書中應包含用什么血糖值校準,及校準頻率(如需校準),傳感器最長使用時長等信息。
(三)禁忌癥(如有)
這部分內容應列出:在哪些情況下,絕對不能使用設備。
(四)警告/注意
基于可得到的信息,什么情況下風險會上升,效果會下降,或者在研究設計中,哪些沒有被充分考慮(例如,包含/排除準則),這些因素在本節中都應列出來。
(五)使用指導
應當提供詳細的指導,以反映在臨床前及臨床研究中獲得的經驗。
(六)適用范圍和條件
明確使用范圍和條件,如若為家用,是否需要醫生處方,或者是患者被培訓到什么程度等條件。
(七)電磁兼容信息
應包含YY/T0505—2012標準中要求的4個表格,指南和制造商的聲明—電磁發射/電磁抗擾度及相關警示和條款。
說明書應包含靠近射頻通信設備使用會影響持續葡萄糖監測系統正常工作的說明;
若持續葡萄糖監測系統存在無線傳輸功能,應列出非電離符號,使用說明書中應包含避免對周圍設備產生有害電磁影響的指南;說明書中應列出發射器的發射頻率或頻帶、調制類型和頻率特性、有效輻射功率;接收器的接收頻率、優選頻率或頻帶、帶寬(如適用);
持續葡萄糖監測系統的部件若需更換時,應使用制造商規定的型號,否則可能會導致發射的增加或抗擾度性能的降低;
持續葡萄糖監測系統如含有數據線,說明書應給出制造商規定的型號和長度;若數據線含有磁環等元件,應給出使用注意事項;
若持續葡萄糖監測系統含有免于靜電放電試驗的連接器,則應在使用說明書中列出靜電放電警示符號和警示信息、預防靜電放電的措施以及對可能使用這些信息的相關人員的培訓建議。
應說明確產品的基本性能。
(八)關于家用的說明
如產品是家用產品,使用說明書應簡潔且易于理解。應提供關于如何安全處置廢物的適當警告和注意事項。應提供器械的清潔/消毒方法,一般來說家用器械應使用易于獲取的用品和簡單的技術來清潔、消毒。應包含用戶檢查器械的損壞跡象,以及如何識別不能使用器械或其配件的情況。
(九)軟件的相關要求
應符合醫療器械網絡安全注冊技術審查指導原則、醫療器械軟件注冊技術審查指導原則、移動醫療器械注冊技術審查指導原則中說明書的相關要求。
申請人需聲明持續葡萄糖監測系統符合的相關法律法規的要求;聲明其符合的現行國家標準、行業標準,并提供符合標準的清單。需提交真實性的自我保證聲明。
標準清單示例如下:


1.中華醫學會糖尿病學分會.中國動態血糖監測臨床應用指南(2012年版).中華糖尿病雜志,2012,4(10):582-590.
2.中華醫學會糖尿病學分會.中國血糖監測臨床應用指南(2015年版).中華糖尿病雜志,2015,7(10):603-613.
3.中華醫學會糖尿病學分會.中國持續葡萄糖監測臨床應用指南(2017年版).中華糖尿病雜志,2017,9(11):667-675.
4.賈偉平.持續葡萄糖監測.上海:上??茖W技術出版社,2017:24-30.
5.Hoeks LB,Greven WL,de Valk HW. Real-time continuous glucose monitoring system for treat ment of diabetes: a systematic review. Diabet Med,2011,28(4):386-394.
6.Vashist SK.Continuous glucose monitoring systems: A review. Diagnostics (Basel),2013,3(4):385-412.
7.Clarke WL,Cox D,Gonder-Frederick LA,Carter W,Pohl SL. Evaluating clinical accuracy of systems for self-monitoring of blood glucose. Diabetes Care,1987,10(5):622-628.
8.Parkes JL,Slatin SL,Pardo S,Ginsberg BH. A new consensus error grid to evaluate the clinical significance of inaccuracies in the measurement of blood glucose. Diabetes Care,2000,23(8):1143-1148.
9.Zhou J,Lv X,Mu Y,Wang X,Li J,Zhang X,Wu J,Bao Y,Jia W. The accuracy and efficacy of real-time continuous glucose monitoring sensor in Chinese diabetes patients:a multicenter study. Diabetes Technol Ther,2012,14(8): 710-718.
10.Zhou J,Zhang S,Li L,Wang Y,Lu W,Sheng C,Li Y,Bao Y,Jia W. Performance of a New Real-Time Continuous Glucose Monitoring System: A Multicenter Pilot Study. J Diabetes Investig. 2017 May 31. doi: 10.1111/jdi.12699.
11.Food and Drug Administration. Mobile medical applications—Guidance for industry and Food and Drug Administration staff. Food and Drug Administration,MD,USA,2015.
12.Food and Drug Administration. Guidance for Industry and Food and Drug Administration Staff; The Content of Investigational Device Exemption and Premarket Approval Applications for Artificial Pancreas Device Systems; Availability. Food and Drug Administration,MD,USA,2012.
13.Food and Drug Administration. Design Considerations for Devices Intended for Home Use—Guidance for Industry and Food and Drug Administration Staff. Food and Drug Administration, MD,USA,2012.
14.國家食品藥品監督管理總局.血糖儀注冊技術審查指導原則(2016年修訂版)
15.國家食品藥品監督管理總局.動物源性醫療器械產品注冊申報資料指導原則(2015年修訂版)
16.國家食品藥品監督管理總局.醫療器械網絡安全注冊技術審查指導原則
17.國家食品藥品監督管理總局.醫療器械軟件注冊技術審查指導原則
附:1.臨床試驗要求
2.風險管理報告的內容
3.持續葡萄糖監測系統技術要求模板
附1
評價該醫療器械在正常使用條件下是否符合預期安全性設想和預期有效性設想。
(一)方案應體現注冊產品使用環境,如適用于醫療機構(住院),還是家庭環境(包含門診)。
(二)方案應明確對照產品,描述理由。
(三)方案應明確入選、排除原則,如入選標準,盡量選擇血糖波動性大的患者,以采集更寬的血糖數據范圍來更好的評價產品;排除標準中,不僅應當考慮對被試產品有影響的因素,如貧血、皮下水腫等情況,也要考慮對對照器械有影響的情況,如紅細胞壓積比等。
(四)方案體現產品適用范圍,如適用人群屬于成人、青少年及兒童等。
(五)方案應當體現注冊產品佩戴部位,如佩戴位置是上臂、腹部或是產品相符合的其他部位。可以考慮讓受試者佩戴兩個傳感器以驗證產品的重復性。
(六)方案應明確危險性控制、潛在傷害或風險分析,及數據管理統計方法等。
(七)產品使用環境為家庭環境(包含門診),應進行單獨的臨床試驗設計。
應體現家用使用條件,在家用使用條件下,設定一些特定的任務來使用器械,如自行閱讀使用說明,自行佩戴傳感器,自行輸入參比,自行讀取葡萄糖值,患者自我血糖管理評估,儀器易用性、便利性、安全性的評估等。
(一)臨床評價指標應基于以下內容進行評價
1.提供數據的方式(回顧式、實時);
2.校準次數(如需校準);
3.佩戴部位;
4.參考值:以靜脈血糖值為對照,使用EKF血糖檢測儀或Yellow Spring Instrument(YSI)的檢測結果;
5.佩戴時長。
(二)主要評價指標
1.與參考值的20/20%的一致性,通過一致率表示;
2.測量點落在Clarke誤差柵格分析A+B區的比例;
3.測量點落在Consensus誤差柵格分析A+B區的比例;
4.平均絕對相對誤差值(MARD%)。
(三)次要評價指標
1.高、低血糖報警率準確性(僅限于實時持續葡萄糖監測系統適用);
2.傳感器的穩定性評價;
3.傳感器的重復性評價(即產品批內精密度)等;
4.使用者關于產品易用性問卷調查(適用于自測用器械);
5.傳感器壽命;
6.安全性評價;
7.其他。
(一)主要指標評價
1.與對照參考值的20/20%一致性評價,通過一致率表示
對持續葡萄糖監測系統所測實時葡萄糖值與EKF血糖檢測儀或YSI分析儀所測靜脈血糖值(EKF值或YSI值)進行比較,分析一致率。
一致率=A+B;
A=(持續血糖監測值-EKF值或YSI值偏差在±20%內的配對數/全濃度總配對數)×100%(當血糖濃度大于4.4 mmol/L(80 mg/dL)時,與參考值偏差在±20%范圍內的結果的百分數);
B=(持續血糖監測值-EKF值或YSI值偏差在±20 mg/dL內的配對數/全濃度總配對數)×100%(在血糖濃度小于或等于4.4 mmol/L(80 mg/dL)時,與參考值偏差落在±1.1 mmol/L(20 mg/dL)范圍內的結果的百分數)。
也可按照在上述界值時,分析不同濃度的情況,以及在15/15%、30/30%的情況。
2.測量點落在Clarke誤差柵格分析A+B區的比例
分析測量點在A、B、C、D、E等各區的分布狀況。A區為臨床絕對準確;B區為臨床可接受準確;其余C、D、E區為不同程度的不準確。計算落在各個區的數據點數及其所占的百分比,以及A區和B區的和。
3.測量點落在Consensus誤差柵格分析A+B區的比例:
分析測量點在A、B、C、D、E等各區的分布狀況。A區為對臨床行為無影響;B區為對臨床結果僅有一點或者沒有影響;C區很可能影響臨床結果;其余D、E區為對臨床結果影響較大或導致危險。
計算落在各個區的數據點數及其所占的百分比,以及A區和B區的和。
4.平均絕對相對誤差值(MARD%):

(二)主要指標對應的評價標準及原則

*評價95%置信區間的上限,其余指標評價下限。
對于持續葡萄糖監測系統的評價,要求上述四項主要評價指標同時達到上表所列標準,方能認為產品性能符合臨床應用需要,即按照共同主要終點設置。上述四項主要評價指標中有任何一項或多項未達到所列出的評價標準要求,則不認可產品性能。需注意的是,MARD%評價需先計算每位受試者水平的結果,而不能像其他指標直接計算所有測量點水平的匯總結果。
(三)次要評價指標
1.報警正確率
(1)低血糖值報警成功率與失敗率(即敏感性)
低血糖報警用來驗證持續葡萄糖監測系統的“低血糖報警”功能。低血糖報警成功率(True Alert Rate)是用來驗證報警的正確與否,是以當EKF值或YSI測量值低于報警閾值時的前15分鐘內,后30分鐘內,持續葡萄糖監測系統是否提示低血糖報警的比例來評價。
低血糖報警失敗率(False Alert Rate)就是上述時間內,EKF值或YSI值高于等于報警線。
(2)低血糖檢測成功率與失敗率(即特異性)
低血糖檢測成功率(Hypoglycemia Detection Rate)是在連續發生的低血糖事件的前后30分鐘內,EKF或YSI同樣檢測到低血糖的發生比例。
低血糖檢測失敗率(Hypoglycemia Missed Detection Rate)是在低血糖事件的前后30分鐘內,YSI未檢測到低血糖發生的比例。
申請人應明確低血糖事件定義。
(3)高血糖報警成功率與失敗率
高血糖報警用來驗證持續葡萄糖監測系統的“高血糖報警”功能。高血糖報警成功率(True Alert Rate)是用來驗證報警的正確與否,是以當EKF值或YSI測量值高于報警閾值時的前15分鐘內,后30分鐘內,持續葡萄糖監測系統是否提示高血糖報警的比例來評價。
高血糖報警失敗率(False Alert Rate)就是上述時間內,EKF值或YSI值高于報警閾值。
(4)高血糖檢測成功率與失敗率
高血糖檢測成功率(Hyperglycemia Detection Rate)是在高血糖事件的前后30分鐘內,EKF或YSI同樣檢測到高血糖的發生比例。
高血糖檢測失敗率(Hyperglycemia Missed Detection Rate)是在高血糖事件的前后30分鐘內,EKF或YSI未檢測到高血糖發生的比例。
申請人應明確高血糖事件定義。
2.傳感器的穩定性
將不同時間段的佩戴的準確性,進行比較,評價傳感器的穩定性。
3.傳感器的重復性
為了評價本系統的重復性,本次臨床試驗中同一患者在可選的植入部位分別佩戴一套持續葡萄糖監測系統。用成對的平均絕對差值(Paired Absolute Relative Difference,PARD)計算,即用同一時間點兩套系統的差值除以同一時間點兩套系統的均值。
4.使用者關于產品易用性問卷調查(適用于自測用器械)
5.傳感器壽命
6.安全性評價
(1)不良事件:在臨床試驗過程中出現的不利的醫學事件,無論是否與試驗用醫療器械相關。
(2)分析器械相關性。
7.其他
臨床試驗采用多中心的自身對照試驗。
根據臨床要求,持續葡萄糖監測系統以靜脈血血糖值為對照,試驗例數的要求需要符合臨床統計學中對成對的持續葡萄糖值與靜脈血糖值關系的要求。
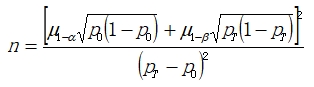
針對持續葡萄糖監測系統開展的上市前臨床試驗,至少應入選60例受試者,申請人所設定的方案中,樣本量規模應同時滿足統計學原則以及上述最低例數要求,申請人可提出自己的樣本量確定依據,但當該數量小于60例受試者時,仍需按本指導原則要求的最低例數開展試驗。因設置了四項共同主要評價指標,原則上需要針對每一指標分別計算樣本量并取其中最大者作為試驗的最終樣本量要求。
現就具體計算過程進行舉例:
首先以與參考值的20/20%標準確定的一致率為計算基礎,假設持續葡萄糖監測與靜脈血血糖值的一致率(20/20%標準)為65%,將目標值設定為60%,則當雙側顯著性水平取0.05,并考慮20%的脫落率時,1200個測量點將能夠提供超過80%的把握度(考慮來自同一受試者的多次測量存在一定的相關性)證明試驗產品性能滿足臨床應用的需要,如果保守估計在試驗過程中每名受試者能夠提供至少20個測量點的結果,故入選60例受試者剛好能夠滿足上述樣本量(測量點)的要求。
對Clarke或Consensus誤差柵格分析時落在A+B區的點所占比例的預期結果與目標值一致(同為95%和90%),故上述樣本量能夠提供的足夠的把握度證明產品滿足要求。
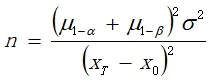
對于MARD%值,假設實際觀察結果為18%±5%(患者水平),在顯著性水平取雙側0.05,同時考慮20%脫落的前提下,60例受試者能提供約80%的把握度證明受試者水平的MARD%值小于20%。
綜上,為了同時滿足四項主要指標對樣本量的要求,最終確定總的受試者納入規模為60例。
此外,研究者還需考慮具體持續葡萄糖系統佩戴時長上的差異,需要在方案中明確佩戴時間、靜脈血采集時點,以及總測量點或每名受試者平均提供的測量點數量。且出于對低血糖報警性能的評價考慮,建議申請人在提交的數據中高濃度血糖大于等于11.1 mmmol/L的測量點至少360個,低濃度血糖4.4 mmmol/L以下測量點至少60個。
在上述計算中采用的樣本量計算公式為:

用于前三項主要評價指標;
公式中的對應試驗組的預期療效水平,則對應目標值水平,代表標準正態分布對應的分位數,對應統計檢驗的一類錯誤水平,在此取0.025,而對應檢驗的二類錯誤水平,計算時取0.2。

用于MARD%值計算。
由于本試驗所用持續葡萄糖監測系統的連續性特征,對采集的樣本有如下要求:
(1)需要有不同時間段內的成對持續葡萄糖值與靜脈血糖值。目的一是驗證傳感器使用時長,二是檢驗傳感器的穩定性。由于目前持續葡萄糖的佩戴時長不同,有佩戴3天的,有佩戴7天或14天的,因此需要驗證在不同時間內采樣的正確性,如需要分別驗證開始階段(第1天或第2天)、中間階段(中位數±1天)及最后階段(最后24小時)分別的準確性情況。驗證階段時間隨機選擇。特別提醒,如果要驗證產品在開始階段的準確性,需提供第一天佩戴情況的評價。同時為了驗證產品在其使用時長內整體的準確性,也需要提供最后一天的準確性評價。
(2)需要有不同濃度的成對持續葡萄糖值與靜脈血糖值,高濃度血糖大于等于11.1 mmmol/L的測量點至少360個,低濃度血糖4.4 mmmol/L以下測量點至少60個。目的是檢測在不同血糖范圍內傳感器的準確性。從目前的技術來看,在不同的濃度時,傳感器的靈敏度是不同的,尤其是在低血糖時,往往準確性要低于平均水平。需要有持續的靜脈血糖采樣:間隔15分鐘采集一次靜脈血糖值,至少持續7小時及以上時間。
另外,在采樣過程中,若高濃度和低濃度的血糖值樣品數量不足,可在臨床過程中通過選擇特定類型糖尿病患者,或者通過試驗過程中的設備提示、受試者感受等,采集高、低血糖的靜脈血糖值。
(3)每例受試者相同植入部位兩側佩戴2個傳感器:目的是檢測傳感器的重復性。通過同一受試者同時佩戴2個傳感器,比較在同一時刻,兩套持續葡萄糖監測值的符合性,是驗證重復性的方法。
(一)登記入組
由于該類研究屬于單組目標值設計,出于保證研究質量及病人安全性的考慮,應將所有入組病人的相關信息記錄在中央計算機注冊系統內,以備今后對病人信息進行跟蹤、核查。建議采用基于互聯網(IWR)/電話(IVR)/傳真等計算機注冊系統分配病例注冊登記號,所有病例的注冊登記號不得二次使用。
(二)統計分析方法
數據分析時應考慮數據的完整性,所有簽署知情同意并使用了受試產品的受試者必須納入分析。數據的剔除或偏倚數據的處理必須有科學依據和詳細說明。
臨床試驗的數據分析應基于不同的分析集,通常包括全分析集(Full Analysis Set,FAS)和符合方案集(Per Protocol Set,PPS),研究方案中應明確各分析集的定義。同時,對于全分析集中脫落的病例,其主要評價指標缺失值的填補方法應在方案中予以事先說明。
臨床試驗數據的分析應采用國內外公認的經典統計方法。臨床試驗方案中應該明確統計檢驗的類型、檢驗假設、判定療效有臨床意義的界值(目標值)等,界值的確定應有依據。
對于主要評價指標,統計結果需采用點估計及相應的95%置信區間進行評價。不能僅將p值作為主要評價指標的評價依據。
(三)統計結果評價
統計結果評價應至少包括如下四部分內容:
1.臨床試驗完成情況描述:包括臨床試驗概況(篩選人數、入選人數、完成人數、失訪/退出/剔除人數等);
2.基線描述:應對所有入選受試者(FAS分析集)的基線人口統計學指標及其他相關病史指標等進行描述;
3.療效/效果評價:應對所有入選的受試者(FAS分析集)和最終完成試驗并符合方案的受試者(PPS分析集)分別進行統計分析。療效分析時,除點估計外,還應給出點估計的95%的置信區間;
4.安全性評價時,應對所有入選并使用該儀器的受試者進行分析(SS分析集),不能遺漏所有發生的任何不良事件(包括實驗室指標:試驗前正常、試驗后異常并有臨床意義的事件),對所有發生的不良事件應評價其是否與所研究產品有關。
所有試驗記錄均要完整、真實、清晰、客觀。為了保證受試者的安全性及數據的完整性,建議采用中央登記系統入選受試者,以便將所有參加臨床試驗的受試者記錄在案。
附2
由申請人成立風險管理組。列出組長、組員姓名,職務及責任范圍。管理組成員應具有與管理任務相適應的知識和經驗。
風險管理組負責風險管理報告的編寫,接受有關方面的查詢并對報告的內容負責。
描述該產品的預期用途、工作原理、作用機理(如適用)、結構組成(含配合使用的附件)、主要功能及其組成部件(關鍵組件和軟件)的功能,以及區別于其他同類產品的特征,操作環境等內容。
包括但不限于:
1.GB9706.1—2007 醫用電氣設備 第一部分:通用安全要求
2.YY 0505—2012 醫用電氣設備第1—2部分安全通用要求并列標準 電磁兼容—要求和試驗
3.GB/T 16886.1—2011 醫療器械生物學評價 第1部分:風險管理過程中的評價與試驗
4.GB 18280.1—2015 醫療保健產品滅菌 輻射 第1部分:醫療器械滅菌過程的開發、確認和常規控制要求
申請人應聲明注冊產品符合上述哪些安全標準,并注明標準的有效版本號。
申請人應按“醫療器械風險管理標準”附錄C的34條提示,對照注冊產品的實際情況作針對性的簡明描述。
如:對C.2.1:應闡明注冊產品的預期用途是用于持續監測人體什么體液的葡萄糖濃度變化
對C.2.2:是否預期用于植入?應闡明注冊產品是否需植入及植入的部位
對C.2.43及以下31項提示,應根據注冊產品的實際情況逐條回答,本文不再贅述。注意:注冊產品如存在34條提示以外的可能影響安全性的特征,也應做出說明。
申請人應編寫有關醫療器械在正常和故障兩種條件下已知和可預見危險(源)的清單,并研究可產生危險情況和傷害的可預見的事件序列,然后可用估計可能產生的傷害嚴重度及其發生概率來評定風險。申請人可以根據醫療器械風險管理標準附錄E的指南列出匯總表,包括:引起危險(源)的原因(可預見的事件序列)、危險(源)、危險情況和傷害。危險(源)示例如下:
(一)能量危險(源)和形成因素
對患者和使用者的電能危險(源)如:
—偏置電壓下傳感器微電流;
機械力危險(源)如:
—針狀傳感器的作用力
(二)生物和化學危險(源)
傳播生物病原體;
生物不相容性如:插入人體部分電極材料與人體不相容;
再次或交叉感染如:產品帶菌感染醫護人員;
變態反應性如:與人體接觸物質中有致敏因子等。
(三)環境危險(源)
電磁干擾如:電路中高頻諧波產生電磁干擾;
由于廢物和或產品處置的污染如:作用后的傳感器處置不當造成針狀電極扎傷人體組織。
(四)運作中的危險(源):
如:—未經培訓或培訓后仍未掌握;
—對無效數據誤判為有效數據,而作轉換依據。
(五)信息危險(源):
如:—再次使用和或不適當的再次使用;
—沒有按照要求校準傳感器;
—傳感器佩戴超出規定的時長等。
(對以上各項,根據注冊產品實際情況判定列出。)
對于每個已判定的危險情況,評價和決定是否需要降低風險。
為對所有危險(源),使其風險達到可接受的水平,一般依次采取如下的一種或多種方法:
1.通過設計取得固有安全;
2.醫療器械本身或在生產過程中的防護措施;
3.告知安全信息。
申請人應根據所列出的危險(源),為風險降低到可接受的水平所采取的方法逐一列出。所有具有不可接受風險水平的潛在危險(源)的引發原因都需要風險控制措施。如果在方案分析中,申請人確定所需的風險降低是不可行的,申請人應進行剩余風險的風險/受益分析。
評估風險控制措施實施前的嚴重程度(S)、發生可能性(P1)、傷害發生概率(P)和風險水平(R),與風險控制措施實施后的嚴重程度(S)、發生可能性(P1)、傷害概率(P2)、傷害發生概率(P)和風險水平(R)。根據醫療器械的使用情況,按照風險的嚴重度水平和發生概率分級,可采用半定量矩陣風險分析確定風險可接受準則。(申請人可以根據實際情況自行制定并在風險管理報告中說明,也可參考YY/T0316的附錄D或下表的方法。)


依據以上準則申請人可采用FMEA的方法對產品的設計過程、制造過程和臨床使用過程中的風險進行分析和評價。
在采取風險控制措施后,對于任何剩余風險,都應使用風險管理計劃中規定的準則進行評價。如果剩余風險判斷為不可接受的,應采取進一步的風險控制措施。對于判斷為可接受的剩余風險,申請人應決定哪些剩余風險應予以公開,并且需要將信息包括在隨附文件中,以便公開那些剩余風險。
如果使用風險管理計劃中建立的準則,判斷剩余風險是不可接受的,而進一步的風險控制又不可行,申請人可以收集和評審資料和文獻,以便決定預期使用的醫療受益是否超過剩余風險。如果此項證據不支持醫療受益超過剩余風險的結論,則剩余的風險是不可接受的。如果醫療受益超過剩余風險,則評價是否會由風險控制措施引入新的危險(源),危險情況或已存在的風險受到影響。
申請人應確保所有已判定的危險情況產生的一個或多個風險已經得到充分考慮。
申請人在風險分析、風險評價和風險控制過程中參考的有關產品設計和驗證方面的內部文件記錄。例如:風險管理計劃;風險管理流程;產品設計要求(包括硬件和軟件);設計驗證;失效模式和效應分析(FMEA);產品說明書等。
附3
醫療器械產品技術要求編號:
持續葡萄糖監測系統技術要求
1.產品型號/規格及其劃分說明
1.1系統型號
1.2配置表示例


注:應明確不同規格部件差異(如有);√表示配置中包含該部件
1.3傳感器電極結構及化學堆層
1.3.1提供傳感器電極剖面放大圖,描述各電極(如:工作電極、參比電極、對電極)結構。
1.3.2傳感器電極化學堆層示意圖及必要中文注釋,結合制造工藝明確各膜層溶液成分、規格。
1.4軟件
1.4.1軟件名稱
1.4.2軟件發布版本
1.4.3軟件完整版本命名規則
1.5與人體接觸材料(如下圖)

注:與人體接觸材料應結合圖示注明
1.6滅菌方式
1.7滅菌有效期
2.性能指標
2.1外觀
明確傳感器、發射器、接收器部分各自的外觀要求。
2.2傳感器性能
2.2.1線性
明確傳感器在有效使用時間內對體外葡萄糖測量的范圍。
明確傳感器測得電流相對于標準液濃度的線性相關系數和線性偏差。
2.2.2重復性
明確單個傳感器的重復性。明確至少3個濃度(至少包含小于4 mmol/l、4-11.1 mmol/l、大于11.1 mmol/l)對應的變異系數。
2.2.3響應時間
明確體外葡萄糖濃度變化時,傳感器輸出結果達到穩定所需的時間范圍。
2.2.4穩定性
明確傳感器壽命時長運行過程中,體外信號每24小時的變化范圍。
2.2.5溫度響應
明確在不同的溫度下,傳感器結果線性偏差的范圍。
2.2.6 傳感器的抗干擾性
依據說明書,明確系統對常見藥品(如抗壞血栓和醋氨酚等)的抗干擾的能力。
2.2.7啟動時間
明確傳感器插入并連接到發射器后,系統開始工作并提示用戶探頭已啟動所需的時間。
2.2.8傳感器機械要求
明確傳感器機械要求,如電極連接牢固度、傳感器與發射器間插入力(如適用)、導引針穿刺力(如適用)、導引針針座拉力、針座探頭基座拔出力、貼片拉力、探頭拉力、導引針回縮。
2.2.9傳感器與發射器的連接
明確連接力、連接電阻、持續性、鎖定力、水密性。
2.2.10傳感器物理設計
明確傳感器物理設計要求,如導引針尺寸、電極長度/寬度/厚度、植入人體深度、電極角度、旋轉穩定性、連接兼容性、安放面積、導引針防護、導引針長度。
2.2.11無菌
傳感器應無菌。
2.2.12細菌內毒素
傳感器的細菌內毒素應不超過20 EU/套。
2.2.13熱原
傳感器應無熱原。
2.2.14傳感器化學性能
與傳感器相適應的化學性能檢測(酸堿度,重金屬)。
2.2.15溶劑、交聯劑殘留量(如適用)
2.3發射器/接收器性能
2.3.1發射器防水性能(如適用)
應明確發射器防水性能等級。
2.3.2發射器或接收器等記錄原始數據的準確性(如適用)
應明確有效使用時間內的準確性范圍。
2.3.3發射器的線性相關系數
2.3.4發射器/接收器的電池性能
應明確與傳感器一起使用的發射器/接收器電池壽命,充電功能等。
2.3.5射頻要求
應明確傳輸距離。
2.3.6發射器配對要求
2.3.7系統兼容性
應明確多個系統近距離工作時,不會導致任何危險。
2.4操控性
按鍵、連接結構應靈活可靠,操作方便。
2.5軟件功能
依據說明書明確軟件功能,如接收器軟件應包括患者時間輸入(參比血糖輸入、記錄胰島素用量、記錄飲食、記錄用藥、記錄鍛煉)、傳感器開關、血糖回顧、基本設置、醫生設置、當前電流。用戶分析軟件應包含數據下載、患者病例存儲、參考數據輸入、血糖濃度計算、作圖、診斷結果建議、結果報告輸出。
2.6數據接口、用戶訪問控制的要求(如適用)
2.6.1數據接口
應明確傳輸協議/存儲格式。
2.6.2用戶訪問控制
應明確用戶身份鑒別方法、用戶類型及權限。
2.7粘貼片的持粘性
2.8提示功能
包括不限于:指示燈、輸入參比血糖的提示、數據處理器電量不足提示、數據采集器電量不足提示、通信異常提示、信號異常提示、提示的確認和清除。
2.9環境試驗
應符合GB/T 14710—2009標準中的要求。
2.10安全
應符合9706.1—2007、YY0709—2008(如申請人聲稱)標準中的要求。產品安全特征參照附錄A。
2.11電磁兼容
應符合YY 0505—2012標準的要求。
3. 檢驗方法
工作條件:明確系統的工作條件,如額定工作電壓,環境條件(如相對溫、濕度等)等。
3.1外觀
實際觀察、實際操作驗證符合性。
3.2傳感器性能
3.2.1—3.2.10依據其研究方法等提出的方法,對各性能進行驗證,應符合2.2.1—2.2.10的規定。
3.2.11無菌
試驗按GB/T 14233.2—2005中要求的直接接種方法進行試驗,以金黃色葡萄球菌作為陽性對照菌,應符合2.2.11的規定。
3.2.12細菌內毒素
按GB/T 14233.2—2005中第4章規定的方法進行試驗,應符合2.2.12的要求。
3.2.13熱原
按GB/T 14233.2—2005中第5章規定的方法進行試驗,應符合2.2.13的要求。
3.2.14化學性能
按GB/T 14233.1—2008中第五章對應條款規定的方法進行試驗,應符合2.2.14的要求。
3.2.15溶劑、交聯劑殘留量(如適用)
采用經適宜方法學驗證過的方法進行測定,應符合2.2.15的規定。
3.3發射器/接收器性能
依據其研究方法等提出的方法,對各性能進行驗證,應符合2.3的規定。
3.4操控性
實際操作驗證符合性。
3.5 軟件功能
實際操作驗證符合性。
3.6數據接口、用戶訪問控制的要求
采用經適宜方法學驗證過的方法進行測定,應符合2.6的規定。
3.7粘貼片的持粘性
應符合YY/T 0148—2006附錄B中第B.2章的方法進行,應符合2.6的規定。
3.8提示功能
采用經適宜方法學驗證過的方法進行測定,應符合2.7的規定。
3.9環境試驗
試驗方法應按照GB/T 14710—2009條款的要求和附錄B中表1環境試驗要求及檢測項目表進行,應符合2.8的規定。
3.10安全
試驗方法應符合GB 9706.1—2007、YY 0709—2008(如申請人聲稱)條款的要求,應符合2.10的規定。
3.11電磁兼容
試驗方法應符合YY 0505—2012條款的要求,應符合2.11的規定。
……
(分頁)
附錄A.產品安全特征
本指導原則旨在針對持續葡萄糖監測系統注冊申報資料進行規范,為申請人申請持續葡萄糖監測系統上市許可提供建議。同時也用于規范持續葡萄糖監測系統的技術審評。
本指導原則是在現行法規和標準體系以及當前認知水平下,參考了國內和國際指南、標準制定的。
(一)臨床試驗部分
主要明確了參考對照應為靜脈血。確定YSI分析儀或EFK分析儀可以作為對照采血用試驗設備。確定試驗須在傳感器壽命期內隨機選擇1天參加連續7小時(每15分鐘1次)的靜脈血測試,確定每人在靜脈血測試日至少應完成20次靜脈血糖值。
匯總了國內外已在中國上市產品的臨床試驗結果,參考了國際上最新產品的臨床試驗設計,結果我國國情設定了主要評價指標及目標值。
(二)技術要求部分
由于目前尚無相關標準,各申請人檢測方法各異,尚無通用的檢測平臺,本指南僅給出重點考慮的技術項目,接受標準及檢測方法由各申請人提供合理制定依據。
本指導原則編寫單位為國家食品藥品監督管理總局醫療器械技術審評中心,編寫、定稿、審定過程中得到了上海交通大學附屬第六人民醫院的大力支持。

站點聲明
本網站所提供的信息僅供參考之用,并不代表本網贊同其觀點,也不代表本網對其真實性負責。圖片版權歸原作者所有,如有侵權請聯系我們,我們立刻刪除。如有關于作品內容、版權或其它問題請于作品發表后的30日內與本站聯系,本網將迅速給您回應并做相關處理。
鄭州思途醫療科技有限公司專注于醫療器械產品政策與法規規事務服務,提供產品注冊備案申報代理、臨床試驗、體系建立輔導、分類界定、申請創新辦理服務。
為深入貫徹落實中共中央辦公廳、國務院辦公廳印發的《關于深化審評審批制度改革鼓勵藥品醫療器械創新的意見》(廳字〔2017〕42號),按照國家藥品監督管理局《關于擴大醫療器械
為規范醫療器械注冊人跨區域委托生產的監督管理,推進長江三角洲區域醫療器械跨區域監管,根據《中共中央辦公廳國務院辦公廳關于深化審評審批制度改革鼓勵藥品醫療器械創新的意見》《
附件:血液透析用水處理設備注冊審查指導原則(2024年修訂版)(2024年第19號).doc血液透析用水處理設備注冊審查指導原則(2024年修訂版)本指導原則旨在指導注冊申請人對血液透析用水處理設備注冊申報資料的準備及撰寫,同時也為技術審評部門提供參考。本指導原則是對血液透析用水處理設備的一般要求,注冊申請人依據產品的具體特性確定其中內容是否適用。若不適用,要具體闡述理由及相應的科學依據,并依據產
本指導原則旨在幫助和指導注冊申請人對一次性使用腹部穿刺器注冊申報資料進行準備,以滿足技術審評的基本要求。同時有助于審評機構對該類產品進行科學規范的審評,提高審評工
附件:重組膠原蛋白創面敷料注冊審查指導原則(2023年第16號).doc重組膠原蛋白創面敷料注冊審查指導原則本指導原則旨在指導注冊申請人準備及撰寫重組膠原蛋白創
國家藥監局關于發布免于臨床試驗的體外診斷試劑臨床評價技術指導原則的通告(2021年第74號)發布時間:2021-09-24為指導體外診斷試劑的臨床評價工作,根據
國家市場監督管理總局令 第47號 《醫療器械注冊與備案管理辦法》已經2021年7月22日市場監管總局第11次局務會議通過,現予公布,自2021年10月1日起施行。 附件: 醫療器械注冊與備案管
國家藥監局藥審中心關于發布《抗腫瘤藥物臨床試驗中SUSAR分析與處理技術指導原則》的通告(2024年第42號) 發布日期:20241010
國家藥監局器審中心關于發布影像型超聲診斷設備(第三類)注冊審查指導原則(2023年修訂版)的通告(2024年第29號)發布時間:2024-10-14為進一步規范
附件:一次性使用醫用沖洗器產品注冊審查指導原則(2022年第41號).doc一次性使用醫用沖洗器產品注冊審查指導原則本指導原則旨在指導注冊申請人對一次性使用醫用
行業資訊
知識分享
八年
醫療器械服務經驗
聯系思途,免費獲得專屬《落地解決方案》及報價
咨詢相關問題或咨詢報價,可以直接與我們聯系
思途CRO——醫療器械注冊臨床第三方平臺
