長江三角洲區域醫療器械注冊人制度試點工作實施方案(試行)(滬藥監械管〔2019〕112號)
為深入貫徹落實中共中央辦公廳、國務院辦公廳印發的《關于深化審評審批制度改革鼓勵藥品醫療器械創新的意見》(廳字〔2017〕42號),按照國家藥品監督管理局《關于擴大醫療器械
來源:醫療器械注冊代辦 發布日期:2023-07-18 閱讀量:次
附件:持續葡萄糖監測系統注冊審查指導原則(2023年修訂版)(2023年第24號).doc
本指導原則旨在指導注冊申請人對持續葡萄糖監測系統(Continuous Glucose Monitoring System,CGMS)注冊申報資料的準備及撰寫,同時也為技術審評部門提供參考。
本指導原則是對CGMS的一般要求,申請人應依據產品的具體特性確定其中的內容是否適用。若不適用,需具體闡述其理由及相應的科學依據,并依據具體的產品特性對注冊申報資料的內容進行充實和細化。
本指導原則是供注冊申請人和技術審評人員使用的指導性文件,但不包括注冊審批所涉及的行政事項,亦不作為法規強制執行,應在遵循相關法規的前提下使用本指導原則。如果有能夠滿足相關法規要求的其他方法,也可以采用,但是需要提供詳細的研究資料和驗證資料。
本指導原則是在現行法規和標準體系以及當前認知水平下制定的,隨著法規和標準的不斷完善,以及科學技術的不斷發展,相關內容也將適時進行調整。
本指導原則適用于有創式CGMS,附加血糖/血酮/其他檢測模塊的產品還應滿足血糖儀等其他檢測模塊注冊審查指導原則的相關內容,如《血糖儀注冊技術審查指導原則》等。
連接智能移動終端、胰島素自動給藥裝置、人工控制的治療儀器的CGMS,應考慮增加連接對象注冊審查指導原則的相關內容,如《移動醫療器械注冊技術審查指導原則》《胰島素泵注冊審查指導原則》等。
本指導原則不包括無創式及植入式CGMS。
注:產品分類參見附件1。
(一)監管信息
1. 產品名稱
產品命名需符合《醫療器械通用名稱命名指導原則》的要求。可采用持續葡萄糖監測系統進行命名。實時、回顧式、有創、無創等字樣無需寫入產品名稱。關鍵詞缺省代表有創式持續葡萄糖監測系統。若產品符合iCGM相關要求,可采用“集成式持續葡萄糖監測系統”進行命名。
2.分類編碼
依據《醫療器械分類目錄》,申報產品分類編碼為07-04-03。按第三類醫療器械管理。
3.產品注冊單元
原則上依據產品的技術原理、結構組成、性能指標和適用范圍劃分注冊單元。
3.1CGMS包括葡萄糖傳感器、發射器、接收器(如有)、附件等,作為一個注冊單元進行注冊。
3.2傳感器反應原理或作用機理不同時,劃分為不同注冊單元。
3.3系統的性能指標有較大差異的,應劃分為不同的注冊單元。
如傳感器設計不同,佩戴天數差異較大的,原則上應劃分為不同的注冊單元;傳感器設計完全相同,通過軟件設置實現不同佩戴天數的,可劃分為同一注冊單元。
如傳感器材料不同劃分為不同注冊單元。
如具備云校正功能的與具備手動校正功能的應用程序應劃分為不同的注冊單元。
具有改變初始血糖值功能的血糖修正算法應用程序,如對電流信號轉化后血糖值進行算法修正的應用程序、輸入校準數據并傳輸至CGMS的應用程序,應與CGMS作為同一單元注冊。
3.4回顧式與實時式CGMS,應劃分為不同的注冊單元。實時式CGMS包含回顧式持續葡萄糖監測模式的系統可以作為同一注冊單元。
(二)綜述資料
1.產品描述
1.1工作原理
描述產品工作原理,包括系統工作原理(數據傳輸方式)以及其核心部分傳感器的工作原理。提供框圖及化學生物反應方程式詳細說明。
如CGMS應用電化學反應原理,通過固定在傳感器上的生物酶,如葡萄糖氧化酶,經植入到皮下組織中,測量組織液中的葡萄糖濃度。葡萄糖氧化酶測量的電信號,通過CGMS的發射器或接收器,以及算法處理,將電信號轉化為葡萄糖濃度,顯示到顯示器或者軟件里,形成葡萄糖監測圖。
框圖舉例如下:

在監測圖的基礎上,可以分析患者每天的最高葡萄糖值、最低葡萄糖值及葡萄糖值波動的規律。實時顯示葡萄糖數值時,還可以對患者提供高低葡萄糖報警,及葡萄糖趨勢變化方向和速率等信息。
1.2結構組成
提供完成最終預期用途的整體系統的完整描述。包括各部件之間相互連接的圖形化描述。
描述系統物理組成及用途,提供每個部件(含附件)的實物圖、三視圖以及便于理解的必要注釋。包裝結構件可在包裝綜述資料中描述。
1.2.1傳感器包括傳感電極、基座、膠布等結構。葡萄糖傳感器的核心作用是將組織液中的葡萄糖信號檢測出來,并轉化為電流信號。電流信號的強弱與葡萄糖濃度成正比。
1.2.2發射器通常包括發射板、電池、外殼、背膠等。發射器可能與傳感器集成于一體。
發射器為葡萄糖傳感器供電,將傳感器檢測出來的電信號采集后轉換為數字信號并經過過濾減少噪聲和貯存,并通過有線和/或無線的方式發送至接收器。
1.2.3接收器套件包括接收器、充電線和AC/DC適配器等結構。接收器可能與顯示器、胰島素泵集成于一體,也可能是移動設備(如手機)。移動設備通常不是產品的組成部分。
接收器通常帶有信號處理軟件組件,通過特殊的運算法則將收集到的電信號轉化為葡萄糖數值,并以圖表或圖的形式顯示給患者或專業醫護人員。對于有些產品,信號接收和處理可能集成在發射器或移動設備所含應用軟件上。
1.2.4附件(如有)可能包括傳感器輔助插入裝置、充電器、傳感器電極檢測器、用于加固傳感器的膠帶等。
1.2.5軟件包括發射器嵌入式軟件、接收器嵌入式軟件、CGMS應用程序及血糖數據管理軟件(含患者APP、醫生端APP、系統管理端網頁)等。
通常情況下,發射器嵌入式軟件用于采集、存儲、傳輸數據;接收器嵌入式軟件用于藍牙交互、數據運算、數據顯示、參數管理、異常提醒和數據存儲等;CGMS應用程序,運行在通用移動計算終端,用于接收和顯示葡萄糖濃度值,并在血糖值超出用戶預設的血糖值上限或下限時進行提醒,還具有事件記錄功能、血糖回顧功能以及系統設置功能。血糖數據管理軟件用于幫助患者或醫護人員查看、分析和評估由掃描式葡萄糖監測系統上傳的信息,從而支持有效的糖尿病健康管理方案。
1.3產品分類
參考附件1明確產品分類。
1.4器械組件和附件的設計說明
對于其核心部分的傳感器:
1.4.1采用電化學原理的傳感器重點描述基體電極、葡萄糖限制膜層、助粘劑層(如有)、保護層(如有)、葡萄糖氧化酶層(或葡萄糖脫氫酶)等化學堆層的制造流程(如酶固化和涂膜處理工藝),明確各膜層溶液成分、規格、配比及制造商,并標注制造過程中使用的助劑,如化學交聯劑戊二醛、起始劑等。
提供化學堆層示意圖,圖上標明各堆層成分。
提供傳感器電極剖面放大圖,描述基體電極結構(如,工作電極、參比電極、對電極)、各電極材料(鉑、碳、Ag/ AgCl)、工藝流程(如絲網印刷工藝)等。
采用光學原理的傳感器,結合圖示詳細描述熒光標記方法、葡聚糖和葡萄糖結合蛋白、傳感器的制造流程,明確各成分、規格、含量、制造商信息。其葡萄糖檢測模塊描述光源器件、分光組件、光電轉化處理電路、微控制單元、無線通信模塊等核心模塊。
1.4.2如產品中含有生物安全風險類成分,應重點描述。如在制造過程中所使用的生物源成分(如酶),人類血液制劑(如人血清白蛋白)及動物源組織(如牛血清白蛋白)等的來源、制造商、監管類型(生物制品、藥品)并提供與監管類型相適應的證書、明確符合的質量標準。
1.4.3反應原理及獲取信號的方式等的描述。
參考附件1詳細描述采用的傳感技術,氧化反應的公式和電流值的算法等。
除描述主反應產生電流的化學方程式,同時需列明其他可能存在的副化學反應,并分析各副化學反應對產品電流信號和葡萄糖濃度對應關系的影響。
光學原理的傳感器應明確發射光強度、生物傳感器與葡萄糖反應產生熒光信號的原理等。
1.5器械組件(含附件)功能模塊描述
描述器械組件(含附件)內部每個功能組件及關鍵元器件。提供每個功能組件(含附件)的實物圖、拆解圖、系統框圖、三視圖以及便于理解的必要注釋。
如,發射器通常包括一次性電池、藍牙通信模塊、信號采集存儲模塊、發射器嵌入式軟件等功能模塊。關鍵元器件包括射頻天線、藍牙模塊、霍爾開關、溫度傳感器、I-V轉換、連接座觸點等。
溫度傳感器:用于測量發射板附近的溫度。
霍爾開關:當發射器置于敷貼器里,由于敷貼器里含有磁鐵,故該霍爾開關進入關閉狀態,從而發射板的電路被關斷,電池以最低功耗支持;當發射器置入人體,遠離敷貼器的磁鐵,該霍爾開關進入連通狀態,發射板電路正常工作,此時藍牙SOC可以定時采集和發送血糖數據。
傳感電極的信號通過連接座觸點傳輸到I-V轉換模塊進行放大,之后通過藍牙SOC的ADC模塊進行模擬和數字信號的轉換,最終通過藍牙SOC的FLASH模塊進行存儲,通過RF模塊將信號發送給RF天線,從而實現血糖數據的發送。
接收器包括顯示屏,功能按鍵、主板、可充電電池、蜂鳴器等。主板主要包括MCU控制芯片、藍牙模塊、射頻天線等。
RF天線:用于發射和接收無線電波。
發射器藍牙傳送的數據通過接收器的天線與接收器的藍牙模塊進行通信,然后傳輸至MCU控制芯片(可驅動LCD屏、控制藍牙模塊、驅動電容屏、存儲FLASH、響應按鍵、控制喇叭、檢測電池電量等),最終通過FLASH模塊進行存儲,通過顯示屏進行顯示。
電子顯示部分,描述產品提供數據方式(回顧式/實時式),得出數據的原理。
1.6無線技術和功能描述
通信路徑功能組件的描述應包括功能組件之間的信息傳遞,包括允許進行信息傳遞的硬件和軟件的描述。描述內容應包括:
1.6.1通信路徑。申請人應描述各功能組件與系統內部其他功能組件進行通信的各種方式。申請人應確定功能組件之間的通信流(即單向或雙向)并確定所傳遞的信息。明確采用的網絡類型(局域網、互聯網)、服務器部署(本地服務器、云服務器)。
1.6.2通信硬件。申請人應描述各功能組件之間的信息傳遞方式并描述傳遞此信息所需使用的硬件。
1.6.3如果系統包括或預期包括射頻無線技術(例如:IEEE 802.11、藍牙、Zigbee),則描述應包括特定射頻無線技術和特性、用途和功能(例如:遠程監測或控制、軟件更新)、待傳輸數據(包括以無線方式傳輸的任何報警)、所需的服務品質(QoS)、無線安全協議及與其他射頻無線技術或電磁干擾(EMI)共存的相關限制或約束。
1.6.4描述遠程監測功能的安全保證措施(如適用)。
1.6.5建議采用圖形化描述并有必要解釋,且應包括不同臨床應用場景(住院、門診、居家)的不同型號及配置產品的通信路徑描述,同時描述各環節的可能的使用者(患者、關注者、專業醫護人員、醫院維修人員)、網絡部署地點及示意圖。
1.7描述CGMS所提供信息
提供評估報告樣例,結合用戶界面詳細描述葡萄糖值的報告頻率、產品提供的數值(如平均葡萄糖值(MG)、預估糖化血紅蛋白(e)、變異系數CV、血糖目標范圍內時間比例TIR等),定義、計算方法,計算方法制定依據、基于多日CGM數據所構建的統計圖(如中位數葡萄糖曲線、25%葡萄糖曲線、75%葡萄糖曲線、5%葡萄糖曲線、95%葡萄糖曲線、血糖控制范圍標記線等)、趨勢信息、提示信息等。
1.8警示功能描述
產品中的警示功能的描述。明確警示的內容(葡萄糖濃度、葡萄糖變化速率和變化方向)、高低血糖警示閾值、高低血糖閾值、高低血糖事件的定義,范圍。
1.9聯合使用設備及接口描述
明確與申報產品聯合使用實現預期用途的其他產品的詳細信息。區分不同臨床使用場景描述各種型號、配置的部件間連接、組合方式。聯合使用設備可能包括非醫療器械(手機、手表、數據傳輸器、網絡設備等)、醫療器械(胰島素泵、藍牙適配器、血糖儀等)。對于已獲得批準的部件或配合使用的附件,應當提供注冊證編號和國家藥監局官方網站公布的注冊證信息。結合產品技術要求的數據接口信息,進行詳細介紹。
1.10描述各部件間連接、組合、使用操作流程。描述傳感器所插入的解剖部位。
1.11與人體接觸材料
描述與人體接觸的部件名稱、材料的化學名稱、規格、組織接觸類型及接觸時間、材料來源(如葡萄糖氧化酶來源于黑曲霉)、高分子材料注明CAS號、金屬材料注明牌號、材料符合的標準。結合圖示進行材料說明,圖中標識出與人體接觸部件及材料。
1.12詳細描述產品采用的核心技術。
2.型號規格
對于存在多種型號規格的產品,應當明確各型號規格的區別。應當采用對比表或帶有說明性文字的圖片、圖表,描述各種型號規格的結構組成(或配置)、功能、產品特征和運行模式、技術參數等內容。
套件中獨立包裝的替換件型號可單獨提供型號列表。
3.包裝說明
應當說明有關產品包裝的信息(如托盤、護蓋材料、型號、關鍵指標(材料密度、抗拉強度、厚度))以及與該產品一起銷售的配件包裝情況。結合帶有文字說明的圖示明確包裝內容物。
對于CGMS的傳感器部分,應當說明與滅菌方法相適應的最初包裝的信息,并提供產品包裝的正反外觀圖示。
4.適用范圍和禁忌證
4.1適用范圍
明確說明產品的預期用途,應包含以下內容:
4.1.1應當明確檢測的樣本類型和臨床意義。
如:用于檢測組織間液中葡萄糖濃度,監測連續變化趨勢并跟蹤其持續波動趨勢,輔助監測高葡萄糖和低葡萄糖的發生,不能作為決定和調整糖尿病患者治療方案的依據。
4.1.2應當明確目標用戶(專業醫護人員,患者)及其操作該產品應當具備的技能、知識、培訓。
4.1.3應當明確適用目標人群,如成人、兒童、青少年、孕婦,患者選擇標準的信息,應與申請人提供的相應證據保持一致。
4.1.4明確預期的使用環境(醫療機構、家用環境)。應與申請人提供的相應證據保持一致。
4.1.5應當明確說明產品提供數據方式(回顧式/實時提供數據)、適用人群、高低葡萄糖提醒功能等。
4.1.6應當明確說明該器械是否可與采用開放通信協議的數字連接設備進行自主通信,系統為單獨使用,還是可與數字連接設備配合使用。還應明確當與數字連接設備配合使用時,用戶可以根據治療決策人工控制操作還是可與自動胰島素輸注系統配合使用。
適用范圍示例:
該產品可用于糖尿病成年患者(≥18歲)的組織間液葡萄糖水平的連續或定期監測。產品可提供并存儲實時葡萄糖值,供用戶跟蹤葡萄糖濃度變化的趨勢,如葡萄糖水平低于或高于預設值,產品可發出提醒。葡萄糖傳感器僅供單個用戶使用,不需要用戶進行校準,使用時間最長14天。產品測量結果不作為決定和調整糖尿病患者治療方案的依據。
該產品適用于連續監測18周歲及以上糖尿病患者組織間液葡萄糖水平,可替代指尖采血血糖檢測,用于糖尿病患者的糖尿病治療決策。
該系統預期在醫療機構使用/家庭環境使用。系統可單獨使用,也可與數字連接設備配合使用,與數字連接設備配合使用時,用戶可以根據治療決策人工控制操作/可與自動胰島素輸注系統配合使用。
4.1.7其他注意事項
如果工廠校準的CGMS同時也接受手動校準,需提供最小校準頻率下的系統準確性和警示性能數據,并比較工廠校準及接受手動校準不同工作模式下的相關性能。
臨床方案中的校準要求應與產品標簽中的聲稱一致。校準頻率應不超過產品標簽中規定的頻率。
4.2禁忌證
根據產品特性,說明產品不適用的情況,如由于產品的傳感器需要用膠布固定在皮膚上,所以過敏性皮膚患者或易患皮膚潰瘍的人慎用等,在進行核磁共振成像、X射線計算機體層攝影設備掃描或透熱療法治療之前,必須移除該系統。尚未評價磁共振成像、X射線計算機體層攝影設備掃描或透熱療法對系統性能的影響。暴露于磁共振、X射線計算機體層攝影設備掃描或透熱療法可能會損壞傳感器,影響器械的正常功能,從而導致讀數不正確。系統不得與閉環胰島素輸注系統和胰島素輸注暫停系統配合使用。
5.參考的同類產品或前代產品的情況
應當闡述參考的同類產品或前代產品的情況,應當闡述申請注冊產品的研發背景和目的。對于同類產品,應當說明選擇其作為研發參考的原因。
同時列表比較說明產品與參考產品在工作原理(如有創、化學反應)、結構組成、制造材料(包括動物源性材料、藥物成分、生物活性物質、符合的標準等信息)、性能指標、作用方式(如植入、介入)、適用范圍、適用人群、臨床使用環境(家用、院用)、器械類型(如ICGMS)、傳感器佩戴位置、校準類型(工廠校準、工廠校準并提供用戶校準選項、用戶再校準)校準次數、提示功能(閾值低血糖、閾值高血糖、低血糖、高血糖、預測低血糖提示、對于低血糖和高血糖提示,需要用戶發起操作來查看葡萄糖讀數等)、葡萄糖讀數更新間隔(如每5分鐘)、無線通信協議(藍牙/近距離無線通信)、通信范圍、主要顯示器械(接收器、兼容智能設備、掃描檢測儀)、顯示的數據(當前葡萄糖值、趨勢、圖譜、用戶輸入事件)、傳感器存儲條件(溫度、濕度)、運行溫度和滅菌有效期等方面的異同。
傳感器性能指標比對資料應至少包括酶類型(葡萄糖氧化酶)、葡萄糖監測范圍、線性、響應時間、重復性、穩定性、藥物干擾、溫度響應、氧化反應、啟動時間、防水性能、傳感器佩戴時間(天)、等。如有不適用項應明確合理理由。
在對比材料中應注意突出注冊產品與對比產品的不同,及不同點的原理基礎和性能等,在產品描述資料中應有相應描述。
6.其他需說明的內容
對于已獲得批準的部件或配合使用的附件(如傳感器、電子部分或助針器),應當提供注冊證號和注冊證信息。預期與其他醫療器械或通用產品組合使用的,應當提供說明。應當說明系統各組合醫療器械間存在的物理、電氣等連接方式(如與胰島素泵組合使用,說明其使用方式及數據傳輸運用的安全性)。除了持續葡萄糖監測功能外,如還有其他血糖或血酮檢測功能,需要說明其特征、結構和原理。
(三)非臨床資料
1.產品技術要求
依據《醫療器械產品技術要求編寫指導原則》的規定編制產品技術要求。
符合的標準清單見附件2,產品技術要求示例見附件3,根據產品實際設計情況增減技術指標,不適用項應在性能研究中闡述合理理由。
2.檢測報告
同一注冊單元內所檢驗的產品應當能夠代表本注冊單元內其他產品的安全性和有效性。對同一注冊單元內代表產品的選取應考慮產品預期用途、性能指標、安全指標、結構組成等,具體原則如下:
2.1性能指標、安全指標和結構組成、預期用途差異較大的產品,應分別檢測。
2.2同一注冊單元產品如包含多個產品配置,一個檢測單元應僅包含一個產品配置。
2.3應選擇功能最全,最具典型性的產品進行檢測。不能互相涵蓋時應分別檢測。
2.4同一注冊單元產品如包含多個軟件組件或多個版本的軟件組件,則每個軟件組件或每個版本軟件組件構成的產品均應作為一個檢測單元,除非檢測系統具有典型性。檢測報告應包含軟件發布版本及軟件完整版本的照片或信息。
2.5對于不同型號規格產品之間電磁兼容性能可以覆蓋的情形,需由醫療器械檢驗機構在檢測報告中提供相關說明。
2.6對于典型檢品的選擇,申請人應當提供相關資料予以證明。
2.7該產品進行電磁兼容檢測時,宣稱可以家用的產品根據GB 4824歸為B類設備,宣稱僅為院用的產品,根據GB4824歸為A類設備,運行模式應與臨床典型應用一致。根據不同產品的功能差異,常見的運行模式示例如下:
正常運行模式:接收器和發射器無線連接后,發射器與葡萄糖傳感器連接,傳感器通過測試模擬的人體葡萄糖濃度或使用模擬傳感器(電阻),按照正常工作的通信模式,接收器接收發射器發射的葡萄糖濃度數據,在接收器上實時顯示。
充電模式(內部電池供電除外):通過適配器給設備充電。
待機模式:在正常運行模式以外,設備處于待機狀態下。
數據下載模式:葡萄糖接收器通過數據線連接電腦,打開用戶分析軟件,讀取和下載接收器中的數據。
其他模式(如有)。
3.產品性能研究
應當提供與產品性能及產品技術要求相適應的研究資料,應明確制定依據,所采用的標準、采用的原因及理論基礎,以及標準不適用項目的合理解釋。試驗方法明確檢測樣本數量確定依據、檢測設備、方法學。參考附件4明確性能指標的定義及計算公式。
聯合使用:如申報產品預期與其他醫療器械、非醫療器械產品聯合使用實現同一預期用途,如,配套使用的能夠用于該產品校準的血糖儀,胰島素泵、藍牙適配器、手機、手表等,應當提供證明聯合使用安全有效的研究資料,包括互聯基本信息(連接類型、接口、協議、最低性能)、聯合使用風險及控制措施、聯合使用上的限制,兼容性研究、可用性驗證資料(可用讀數在預期讀數總數中的百分比)等。
4.生物相容性評價研究
依據 GB /T 16886.1標準要求開展生物學評價。按照具體部件的接觸類型進行相應的評價,并應關注由于多次使用的累計效應。例如,傳感器電極與組織持久接觸,穿刺針與組織瞬時接觸。膠布、電極連接座外殼、傳感器基座與皮膚持久接觸。宜對不同接觸部位和類型的部件分別進行評價。豁免進行試驗的項目宜給出充分理由和論證。
應提供生物相容性測試總結,包括部件名稱、產品型號、試驗項目、試驗方法、參考標準、浸提介質、浸提比、浸提溫度和時間、試驗結果、報告號及提交位置。
按照GB /T 16886.17、GB /T 16886.18對可濾瀝物、可溶出物進行分析。
參考藥典等中測試方法對溶劑、交聯劑殘留量(如適用)進行測試或分析。
5.生物安全性研究
該產品尤其是傳感器部分,若含有同種異體材料、動物源性材料或生物活性物質等具有生物安全風險類產品(常見的如牛血清白蛋白、人血清白蛋白),應當提供相關的研究資料及生物活性物質的生物安全性研究資料。采用人血清白蛋白的產品,應提供生物安全性研究資料。采用牛血清白蛋白的產品需按照動物源性醫療器械產品注冊申報資料指導原則提供生物安全性研究資料。產品可按照GB /T 16886.20、YY /T 1465.1系列方法提供免疫原性研究資料,或提供已有數據的評估資料。
6.滅菌工藝研究
根據滅菌方法的選擇,明確產品的滅菌工藝(方法和參數)和無菌保證水平及其確定依據,并對殘留毒性提供研究資料。
明確關鍵部分的滅菌工藝,如傳感器部分怎樣保證包裝完整而達到滅菌效果,且傳感器酶活性等不受影響。若傳感器酶活性下降,則下降趨勢應可預測、或者其變化可被識別。
7.穩定性研究
7.1貨架有效期
參考《無源植入性醫療器械穩定性研究指導原則2022年修訂版》提供滅菌后、預期儲存條件及有效期內傳感器性能穩定性的研究資料。可通過加速老化試驗和/或實時老化試驗相結合的方式驗證有效期,推薦采用實時老化試驗。應至少評估三批傳感器。應明確每個測試點所需的傳感器數量及性能評估的方法。
提供無菌初包裝研究資料,說明在宣稱的有效期內以及運輸儲存條件下,保持包裝完整性的依據。可通過染色、密封強度、氣泡試驗、目測完整性試驗、微生物屏障試驗等驗證包裝完整性。
7.2使用穩定性
參考《有源醫療器械使用期限注冊技術審查指導原則》,提供使用期限研究資料。
對于CGMS除傳感器外的其他部分,若為有限次重復使用,應當提供使用次數驗證資料。證明在申請人規定的使用期限/使用次數內,在正常使用、維護和校準(如適用)情況下,產品的性能功能滿足使用要求。
7.3運輸穩定性
參考GB /T 14710《醫用電器環境要求及試驗方法》、ASTM D 4169-16《運輸包裝件性能測試規范》等標準,提供運輸穩定性和包裝研究資料,證明在生產企業規定的運輸條件下,運輸過程中的環境條件(例如:震動、振動、溫度和濕度的波動)不會對醫療器械的特性和性能,包括完整性和清潔度,造成不利影響。
8.軟件研究
非輔助型CGMS,軟件安全級別為嚴重級別。輔助型CGMS,軟件安全級別為中等級別。軟件研究需按照《醫療器械軟件注冊審查指導原則》《醫療器械網絡安全注冊審查指導原則》《人工智能醫療器械注冊審查指導原則》(如適用)《移動醫療器械注冊技術審查指導原則》(如適用)的要求提交研究資料。
軟件組成及功能(如適用)應區分客戶端、服務器端分別進行描述。
9.其他研究資料
研究資料應明確評價指標、接受標準、測試方法(樣本量及制定依據、測試設備、測試步驟等)、數據分析方法、測試結果、測試結論。
9.1提供持續葡萄糖傳感器葡萄糖限制膜性能研究資料。分別測試酶電極(未涂葡萄糖限制膜)和涂膜后的傳感器(在酶電極上加涂了葡萄糖限制膜)在葡萄糖溶液中的電流響應,并計算其線性相關系數和靈敏度,根據酶電極與傳感器在不同濃度葡萄糖溶液得出相應的響應電流值,做響應曲線圖,對比酶電極和涂膜后傳感器的響應范圍。
9.2提供過氧化氫反向滲透可能性研究資料。提供氧氣響應的研究資料。
9.3提供氫離子積聚導致組織液pH值變化對傳感器性能影響的研究資料,包括線性、穩定性、pH值變化驗證。線性觀察在高濃度的葡萄糖體系下傳感器相應的變化;穩定性試驗宜在較高濃度葡萄糖體系中進行使用期限的穩定性測試,觀察傳感器性能變化;pH值變化驗證觀察測試前后測試體系中的pH值。
9.4提供傳感器在聲稱的佩戴天數中有無異體蛋白脫落帶來免疫源問題的研究資料,可以提供已上市產品的免疫源性安全性評價資料。
9.5在制造過程中,應提供批內差異及批間差異研究資料,應提供確保傳感器性能在制造工藝中的一致性研究報告或經品質檢驗方法從而達到產品性能一致性的研究報告。
9.6提供傳感器校準或者是工廠校準控制的研究資料(可參考附件5)。
9.7應提供無線傳輸有效性的研究資料。包括
-基于風險的驗證和確認方法。
-無線服務質量研究。提供無線傳輸數據完整性,包括延遲和吞吐量、檢測、糾正及損壞控制和/或預防等的研究資料。
-無線共存研究,提供丟失連接、無法建立連接或服務降級可能產生的后果,檢測方法及控制措施研究資料。
-特定已知環境中預期的電磁干擾相關來源及來自醫療器械和其他射頻頻段用戶的同頻和臨頻干擾,檢測方法及控制措施研究資料。
-安全性措施(如身份驗證及無線加密)及驗證方法及結果。
-無線技術的電磁兼容性。
-提供無線通信符合無線電管理規定的證明文件。
9.8應用納米材料的產品應按照《應用納米材料的醫療器械安全性和有效性評價指導原則第一部分:體系框架》提供相關研究資料。
9.9提供柔性傳感電極彎曲疲勞或斷裂研究資料。
根據產品原理和設計差異,以上研究資料如不適用于申報產品,應明確不適用的合理理由。
(四)產品說明書和標簽樣稿
產品使用說明書應符合《醫療器械說明書和標簽管理規定》和相關的國家標準、行業標準的要求。此外應特別注意:
1.檢測原理
說明書中應有對樣本類型,佩戴部位和檢測原理的說明,包括是檢測組織液,還是血液中葡萄糖;采用電化學方法還是熒光方法,佩戴在上臂背側還是腹部等的說明。
2.校準方法和有效使用時長
說明書中應包含用什么血糖值校準,及校準頻率(如需校準),傳感器最長使用時長等信息。
3.禁忌證(如有)
這部分內容應列出:在哪些情況下,絕對不能使用設備。
如,磁共振環境不安全的說明。
4.警告/注意
基于可得到的信息,什么情況下風險會上升,效果會下降,或者在研究設計中,哪些沒有被充分考慮(例如,包含/排除準則),這些因素應在本節中列出。如,干擾物可能影響檢測準確度;傳感器松動或脫出可能導致APP沒有讀數;傳感器折斷,請勿自行處理,請向專業醫護人員尋求幫助。
5.使用指導
應當提供詳細的指導,以反映在臨床前及臨床研究中獲得的經驗。
6.適用范圍和條件
明確使用范圍和條件,如若為家用,是否需要醫生處方,或者是患者被培訓到什么程度等條件。
7.電磁兼容信息
應包含YY 9706.102標準中要求相關表格,指南和制造商的聲明—電磁發射/電磁抗擾度及相關警示和條款。
說明書應包含靠近射頻通信設備使用會影響CGMS正常工作的說明;
若CGMS存在無線傳輸功能,應列出非電離符號,使用說明書中應包含避免對周圍設備產生有害電磁影響的指南;說明書中應列出發射器的發射頻率或頻帶、調制類型和頻率特性、有效輻射功率;接收器的接收頻率、優選頻率或頻帶、帶寬(如適用);
部件若需更換時,應使用制造商規定的型號,否則可能會導致發射的增加或抗擾度性能的降低;
如含有數據線,說明書應給出制造商規定的型號和長度;若數據線含有磁環等元件,應給出使用注意事項;
含有免于靜電放電試驗的連接器,則應在使用說明書中列出靜電放電警示符號和警示信息、預防靜電放電的措施以及對可能使用這些信息的相關人員的培訓建議。
明確產品的基本性能。
8.家庭環境使用
如產品是家用產品,使用說明書應簡潔且易于理解。應提供關于如何安全處置廢物的適當警告和注意事項。應提供器械的清潔/消毒方法,一般來說家用器械應使用易于獲取的用品和簡單的技術來清潔、消毒。應包含用戶檢查器械的損壞跡象,以及如何識別不能使用器械或其配件的情況。佩戴該產品游泳及淋浴的注意事項;該產品含有小部件,小孩如果吞咽有窒息危險的提示。
9.軟件要求
應符合《醫療器械網絡安全注冊審查指導原則》《醫療器械軟件注冊審查指導原則》《移動醫療器械注冊技術審查指導原則》中說明書的相關要求。
10.數字連接設備
應當明確聯合使用器械信息,如經臨床試驗驗證的的血糖儀、胰島素泵、藍牙適配器、手機、手表的制造商、型號/最低性能參數(如顯示屏最小尺寸、分辨率、最大亮度、環境光、最低電池電量)(如適用)等。應包括可能影響數字連接設備性能的傳感器數據的可用性及與數字連接設備進行通信的說明。
11.潛在干擾物質的信息
應提供潛在干擾物質的信息,列出任何已確定會對傳感器準確性造成干擾的被測化合物以及證明即使存在干擾物質臨床性能也可接受的數據,可參考CLSI EP07文件。
12.臨床試驗信息
包括不限于目標人群、警示準確性、整個測量區間的系統性能準確性指標,不同人群、不同傳感器植入部位的性能差異、每個預期使用人群的臨床研究中觀察到的不良事件等信息。
13.使用期限
分別列明各組件的使用期限。
14.動物源
包含動物源性材料的產品,出于對患者知情權的考慮,需在產品說明書中明示出產品取材于何種動物的何種組織。
[1]國家市場監督管理總局.醫療器械注冊與備案管理辦法:國家市場監督管理總局令第47號[Z].
[2]國家食品藥品監督管理總局.醫療器械說明書和標簽管理規定: 國家食品藥品監督管理總局令第6號[Z].
[3]國家藥品監督管理局.醫療器械注冊申報資料要求和批準證明文件格式:國家藥品監督管理局公告2021年第121號[Z].
[4]國家藥品監督管理局.醫療器械通用名稱命名指導原則:國家藥品監督管理局通告2019年第99號[Z].
[5]國家食品藥品監督管理總局.醫療器械分類目錄:國家食品藥品監督管理總局公告2017年第104號[Z].
[6]國家藥品監督管理局.醫療器械產品技術要求編寫指導原則: 國家藥品監督管理局指導原則2022年第8號[Z].
[7]醫療器械技術審評中心.醫療器械軟件注冊審查指導原則(2022年修訂版):醫療器械技術審評中心指導原則2022年第9號[Z].
[8]醫療器械技術審評中心.醫療器械網絡安全注冊審查指導原則(2022年修訂版):醫療器械技術審評中心指導原則2022年第7號[Z].
[9]醫療器械技術審評中心.人工智能醫療器械注冊審查指導原則:醫療器械技術審評中心指導原則2022年第8號[Z].
[10]國家食品藥品監督管理總局.移動醫療器械注冊技術審查指導原則:國家食品藥品監督管理總局指導原則2017年第222號[Z].
[11]國家食品藥品監督管理總局.血糖儀注冊技術審查指導原則(2016年修訂版):國家食品藥品監督管理總局指導原則2016年第22號[Z].
[12]國家食品藥品監督管理總局.動物源性醫療器械注冊技術審查指導原則(2017年修訂版):國家食品藥品監督管理總局指導原則2017年第224號[Z].
[13] 國家藥品監督管理局.有源醫療器械使用期限注冊技術審查指導原則:國家藥品監督管理局指導原則2019年第23號[Z].
[14]醫療器械技術審評中心.無源植入性醫療器械穩定性研究指導原則(2022年修訂版): 醫療器械技術審評中心指導原則2022年第12號[Z].
[15]國家藥品監督管理局.應用納米材料的醫療器械安全性和有效性評價指導原則第一部分:體系框架: 國家藥品監督管理局指導原則2021年第65號[Z].
[16]GB /T 14710-2009,醫用電氣設備環境要求及試驗方法[S].
[17]ASTM D 4169-16,運輸包裝件性能測試規范[S].
[18]YY /T 0771.1-2020,動物源醫療器械 第1部分:風險管理應用[S].
[19]GB 4824-2019,工業、科學和醫療設備 射頻騷擾特性 限制和測量方法[S].
[20]GB /T 16886.1-2022,醫療器械生物學評價 第1部分:風險管理過程中的評價與試驗[S].
[21]GB /T 16886.17-2005,醫療器械生物學評價 第17部分:可瀝濾物允許限量的建立[S].
[22]GB /T 16886.18-2022,醫療器械生物學評價 第18部分:風險管理過程中醫療器械材料的化學表征[S].
[23]GB /T 16886.20-2015,醫療器械生物學評價 第20部分:醫療器械免疫毒理學試驗原則與方法[S].
[24]YY /T 1465.1-2016,醫療器械免疫原性評價方法 第1部分:體外T淋巴細胞轉化試驗[S].
[25]YY 9706.111-2021,醫用電氣設備 第1-11部分:基本安全和基本性能的通用要求-并列標準:在家庭護理環境中使用的醫用電氣設備和醫用電氣系統的要求[S].
[26]GB 9706.1-2020,醫用電氣設備 第1部分:基本安全和基本性能的通用要求[S].
[27]YY 9706.102-2021,醫用電氣設備第1—2部分:基本安全和基本性能的通用要求 并列標準:電磁兼容要求和試驗[S].
[28]YY 9706.108-2021,醫用電氣設備 第1—8部分:基本安全和基本性能的通用要求 并列標準:通用要求,醫用電氣設備和醫用電氣系統中報警系統的測試和指南[S].
[29]GB 15811-2016,一次性使用無菌注射針[S].
[30]GB /T 18457-2015,制造醫療器械用不銹鋼針管[S].
[31]YY /T 0148-2006,醫用膠帶 通用要求[S].
[32]GB /T 14233.1-2022,醫用輸液、輸血、注射器具檢驗方法第1部分:化學分析方法[S].
[33]GB /T 14233.2-2005,醫用輸液、輸血、注射器具檢驗方法第2部分:生物學試驗方法[S].
[34]GB /T 19634-2021,體外診斷檢驗系統 自測用血糖監測系統通用技術條件[S].
[35]ISO 15197-2013,In vitro diagnostic test systems —Requirements for blood-glucose monitoring systems for self-testing in managing diabetes mellitus[S].
[36]WS /T 416-2013,干擾實驗指南[S].
[37]GB /T 4208-2017,外殼防護等級(IP代碼)[S].
[38]賈偉平.持續葡萄糖監測[M].上海:上海科學技術出版社,2017:24-30.
[39]中華醫學會糖尿病學分會.中國動態血糖監測臨床應用指南(2012年版)[J].中華糖尿病雜志,2012,4(10):582-590.
[40]中華醫學會糖尿病學分會.中國血糖監測臨床應用指南(2021年版)[J].中華糖尿病雜志,2021,13(10):936-948.
[41]中華醫學會糖尿病學分會.中國持續葡萄糖監測臨床應用指南(2017年版)[J].中華糖尿病雜志,2017,9(11):667-675.
[42]Parkes JL,Slatin SL,Pardo S,etl· A new consensus error grid to evaluate the clinical significance of inaccuracies in the measurement of blood glucose[J]. Diabetes Care,2000,23(8):1143-1148.
[43]Zhou J,Lv X,Mu Y,etl· The accuracy and efficacy of real-time continuous glucose monitoring sensor in Chinese diabetes patients:a multicenter study[J]. Diabetes Technol Ther,2012,14(8): 710-718.
[44]Zhou J,Zhang S,Li L,etl· Performance of a New Real-Time Continuous Glucose Monitoring System: A Multicenter Pilot Study[J]. J Diabetes Investig. 2017 May 31.
[45]FDA. The Content of Investigational Device Exemption and Premarket Approval Applications for Artificial Pancreas Device Systems[EB/OL] https://www.fda.gov/media/80644/Download, 2012-11-9/2022-9-14.
[46]FDA. Design Considerations for Devices Intended for Home Use[EB/OL] https://www.fda.gov/media/77642/download, 2020-1-22/2022-12-20.
[47]FDA. Radio Frequency Wireless Technology in Medical Devices[EB/OL] https://www.fda.gov/media/71975/download,2020-1-22/2022-12-20.
[48]Clinical and Laboratory Standards Institute (CLSI).Interference Testing in Clinical Chemistry; 3rd Edition. CLSI document EP07.
[49]Hoss U, Jeddi I, Schulz M, etl·Continuous glucose
monitoring in subcutaneous tissue using factory-calibrated sensors: a pilot study[J]. Diabetes Technology & Therapeutics, 2010, 12(8):591.
[50]Guyton A, Hall J: Transport of oxygen and carbon dioxide in blood and tissue fluids. In: Textbook of Medical Physiology, 11th ed. Philadelphia: Elsevier Saunders, 2006: 502–513.
[51]Clinical and Laboratory Standards Institute (CLSI). POCT05 Performance Metrics For Continuous Interstitial Glucose Monitoring, 2rd Edition.2020.
[52]FDA.Self-Monitoring Blood Glucose Test Systems for Over-the-Counter Use[EB/OL] https://www.fda.gov/media/87721/ download,2020-9-29/2022-09-14.
[53]Hoeks LB,Greven WL,de Valk HW. Real-time continuous glucose monitoring system for treat ment of diabetes: a systematic review[J]. Diabet Med,2011,28(4):386-394.
[54]Danne T, Nimri R, Battelino T, et al. International consensus on use of continuous glucose monitoring[J]. Diabetes Care,2017,40(12):1631?1640.
[55]attelino T, Danne T, Bergenstal RM, etl· Targets for
continuous glucose monitoring data interpretation:recommendations from the international consensus on time in range[J]. Diabetes Care,2019,42(8):1593?1603.
[56]Vashist SK.Continuous glucose monitoring systems: A review[J]. Diagnostics(Basel),2013,3(4):385-412.
[57]Hoss U, Budiman E. Factory-Calibrated Continuous Glucose Sensors: The Science Behind the Technology[J]. Diabetes Technology & Therapeutics, 2017, S2 (19): S44.
[58]Clarke WL,Cox D,Gonder-Frederick LA,etl· Evaluating clinical accuracy of systems for self-monitoring of blood glucose[J]. Diabetes Care,1987,10(5):622-628.
附件:1.產品資料性附錄
2.標準符合清單
3. CGMS產品技術要求模板
4.術語及計算公式示例
5.工廠校準研究資料
6.干擾試驗
附件1
該產品根據有創程度分為植入式、有創式、無創式CGMS;植入式CGMS是將葡萄糖傳感器通過臨床干預全部植入人體皮下,進行持續葡萄糖監測;有創式CGMS是將葡萄糖傳感器電極部分插入皮下,傳感器其他部分置于人體外部,進行持續葡萄糖監測;無創式CGMS無需刺破皮膚即可進行持續葡萄糖監測,基于體表組織部位如舌頭、口腔粘膜、及皮膚等對汗液、唾液、淚液中葡萄糖含量進行測試。
根據原理分成電化學類和光學類CGMS等。采用光學原理的CGMS是基于對葡萄糖敏感的熒光指示劑,通過熒光輻射在熒光指示劑上,收集反射回來的熒光信號,分析葡萄糖含量信息。采用電化學原理的CGMS,將葡萄糖傳感電極經皮膚植入到皮下組織,通過對組織間液中葡萄糖濃度的檢測,根據其與葡萄糖的相關性,測算葡萄糖濃度。
根據附加功能方式分為無附加功能、附加血糖/血酮/其他檢測功能的CGMS。
根據數據接口及準確度不同,分為傳統CGMS和集成式持續葡萄糖監測系統iCGMS(Integrated Continuous Glucose Monitoring System,iCGMS),iCGMS為旨在與采用開放通訊協議的數字連接設備連接,且符合一套預定性能標準的系統,原則上iCGMS成人臨床研究的準確度至少應滿足表1要求;iCGMS連接的數字連接設備不必是(在許多情況下不是)各監管機構正進行上市授權的ICGMS的一部分,可以是另一個醫療器械制造商的設備或設備組件,也可以是智能移動終端(手機或平板電腦)、胰島素自動給藥裝置、人工控制的治療儀器等。
根據數據提供方式分為實時式、回顧式及掃描式CGMS。實時式CGMS在使用過程中,能以固定時間間隔自動傳輸并顯示出葡萄糖數據;回顧式CGMS僅在佩戴結束后將數據上傳后才能獲得葡萄糖數據;掃描式CGMS需要用戶手動掃描獲取即刻的葡萄糖數據,并可獲取歷史葡萄糖數據。
根據校準方式可分為用戶再校準型、工廠校準型、工廠校準同時提供用戶再校準選項型CGMS。用戶再校準型CGMS在使用過程中,需要使用者輸入指尖測量血糖或其他血糖值進行再校準;工廠校準型CGMS在傳感器的整個使用期限內容無需用戶再校準,由制造商在工廠進行校準。用戶可以在傳感器激活期間輸入工廠校準信息(例如,掃描或輸入傳感器代碼);工廠校準同時提供用戶校準選項型CGMS由制造商在工廠進行校準,同時允許用戶再校準。
根據預期用途不同,分為輔助式CGMS與非輔助式CGMS。輔助式CGMS在糖尿病管理中使用CGM數據來補充而不是取代自我監測血糖測量值;非輔助式CGMS設備的讀數可直接用于指導治療方案,而無需用血糖檢測結果來進行驗證。
根據預期使用人群不同,分為專業CGMS和家用CGMS。專業CGMS由醫護人員使用,用于葡萄糖追蹤或趨勢分析,專業CGMS不必向患者提供實時的葡萄糖水平。

根據電化學原理傳感器技術區分,目前該技術已有3種,具體如下:
第1種工作原理:組織間液的葡萄糖與氧氣和水經葡萄糖氧化酶反應生成過氧化氫,過氧化氫分解生成的電子被傳感器鉑電極所獲取,形成可監測的持續性電流,通過算法換算可得葡萄糖值。
第2種工作原理:組織間液的葡萄糖經葡萄糖氧化酶反應生成電子并由葡萄糖氧化酶的輔酶或介體捕獲,電子通過傳感器電極上的電子介質傳導到電極上,形成可監測的持續性電流,通過算法換算可得葡萄糖值。
第3種工作原理:組織間液的葡萄糖經用電子介質修飾或改性過的葡萄糖氧化酶反應生成電子并傳導到電極上,形成可監測的持續性電流,通過算法換算可得葡萄糖值。
附件2

附件3
醫療器械產品技術要求編號:
持續葡萄糖監測系統
1.產品型號/規格及其劃分說明
1.1系統型號
1.2產品信息(附錄A)
2.性能指標
2.1外觀
明確傳感器、發射器、接收器部分各自的外觀要求。
2.2傳感器性能
2.2.1線性
明確傳感器在有效使用時間內對體外模擬葡萄糖溶液濃度的測量范圍。明確傳感器所產生的信號相對于模擬葡萄糖溶液濃度的線性相關系數、線性偏差。
2.2.2重復性
明確單個傳感器的重復性,以傳感器測量模擬葡萄糖溶液所產生的信號的變異系數表示。明確重復次數及數據讀取時間。所使用的模擬葡萄糖溶液至少3個濃度:小于3.9 mmol/l、3.9-10.0 mmol/l、大于10.0 mmol/l。
2.2.3響應時間
明確當葡萄糖濃度階躍變化時,體外電流達到平均穩態值的90%所需的時間。試驗方法應明確試驗溫度條件及葡萄糖濃度階躍變化情況。
2.2.4穩定性
明確傳感器在壽命時長運行過程中,在高濃度葡萄糖測試條件下,響應電流值每24小時的變化情況,如每24小時的響應電流值變化率不超過10%。
2.2.5溫度響應
明確傳感器電極在制造商規定的溫度范圍內(如32℃-40℃)運行時,傳感器葡萄糖濃度線性偏差的范圍或體外電流與37℃時相比差異范圍,如不超過5%/℃。
2.2.6傳感器的抗干擾性
依據說明書,明確系統對常見藥品(如對乙酰氨基酚、抗壞血酸、阿司匹林、尿酸和布洛芬、羥基脲等)的抗干擾的能力。
在低濃度葡萄糖溶液中存在干擾物時,對葡萄糖測量的結果的影響不超過X mmol/L;
在高濃度葡萄糖溶液中存在干擾物時,對葡萄糖測量的結果的影響不超過X%。
具體要求可參考附件6。低高葡萄糖濃度及接受標準可由制造商自行定義。
2.2.7氧氣響應
明確在葡萄糖濃度為11.1 mmol/L的溶液中,氧氣濃度從5%降為1%時,電極測量值變化率范圍。
2.2.8啟動時間
明確從傳感器插入模擬葡萄糖溶液并連接到發射器后,到系統顯示第一個數據點所需的時間。
2.2.9傳感器機械要求
明確傳感器機械要求,如穿刺針穿刺力、穿刺針與針座分開的力、穿刺針針座從傳感器基座上的拔出力、粘貼片上的粘合劑與傳感器基座分開的力、將傳感器從傳感器基座中拔出的拉力、穿刺針回縮功能。
2.2.10傳感器與發射器的連接
明確將傳感器連接到發射器時所需的連接力、連接電阻、傳感器基座與發送器分離的拔出力、防水性能。
2.2.11傳感器物理設計
明確傳感器物理設計要求,如穿刺針尺寸、電極長度/寬度/厚度、植入人體深度、電極角度、葡萄糖傳感器連接足用于防止旋轉的裝配特性、連接兼容性、安放面積、穿刺針防護。
2.2.12傳感器生物性能
2.2.12.1傳感器套件應無菌。
2.2.12.2傳感器套件細菌內毒素應不超過20 EU/件。
2.2.13傳感器化學性能
明確傳感器電極酸堿度、重金屬總含量、環氧乙烷殘留量要求。試驗方法中應明確檢驗液、空白液制備要求。
2.2.14傳感器電極終產品免疫原性
明確通過體外試驗測定的能夠間接地反映產品免疫原性得到有效控制的終產品的性能指標,例如殘留DNA含量、殘留抗原含量、殘留雜蛋白含量等(基于風險分析,根據不同情況選擇適宜的指標)。
2.3發射器/接收器性能
2.3.1發射器防水性能
明確發射器防水性能等級(如,IP48),并應符合GB4208-2017標準相關防水要求。
2.3.2發射器或接收器等記錄原始數據的準確性
明確有效使用時間內宣稱測量范圍內的準確性。
2.3.3發射器的線性相關系數
明確發射器的線性相關系數。
2.3.4發射器/接收器的電池性能
明確與傳感器一起使用的發射器/接收器電池壽命,充電功能等。
2.3.5數據傳輸要求
明確數據傳輸距離。
2.3.6發射器配對要求
明確發射器與顯示終端的一對一或一對多的配對要求。
2.3.7系統兼容性
明確多個CGMS(給出具體數量,如15個)近距離工作時,不會導致數據串擾。
2.4操控性
按鍵、連接結構應靈活可靠,操作方便。
2.5 移動醫療設備運行條件
明確軟件正常運行所需的典型運行環境,包括硬件配置(含處理器、存儲器、外設器件)、外部軟件環境(列明全部軟件的名稱、完整版本、補丁版本,使用“兼容版本”而非“以上版本”、“更高版本”)、網絡條件(含網絡架構、網絡類型、網絡帶寬),涵蓋客戶端、服務器端(若適用)、云服務器(若適用)要求(云計算的名稱、服務模式、部署模式、配置、云服務商名稱、住所、服務資質)。無需重復描述必備軟硬件。
2.6軟件功能
2.6.1基本設置功能
允許用戶設置個人信息、修改葡萄糖提醒值、修改賬號密碼、查看軟件基本信息、導出葡萄糖監測數據。
2.6.2事件記錄功能
用戶可記錄參比血糖輸入、注射胰島素事件及用量、飲食、藥物、運動、其他事件。如聲稱用戶記錄參比血糖輸入,不參與葡萄糖修正算法,應通過試驗驗證,如隨機手動錄入參比血糖值及錯誤的血糖值后不會改變CGMS的輸出。
2.6.3監測回顧功能
用戶可查看葡萄糖回顧信息。
2.6.4 CGMS提供信息
描述CGMS所提供葡萄糖數據、圖譜等。
2.6.5數據管理軟件功能
2.6.6其他軟件功能
2.7警示功能
包括不限于:葡萄糖值超出量程警示、指示燈、輸入參比血糖的警示、數據處理器電量不足提示、發射器電量不足提示、通信異常提示、信號異常提示、提示的確認和清除、閾值提醒功能(當傳感器監測的葡萄糖濃度高于或低于CGMS軟件設置的閾值時,在預定設置的時間窗內可向用戶發出提示)、危險葡萄糖提示(葡萄糖值低于3.1mmol/L時,在預定設置的時間窗內可向用戶發出提示)、使用期限結束提示等。
2.8葡萄糖趨勢預測功能
明確趨勢分類,如平緩、緩慢增加、緩慢減少、快速增加、快速減少,可采用平均速率偏差和平均絕對速率偏差指標應用一致性矩陣方式測試趨勢準確性。試驗方法可參考POCT05第6章要求。
2.9網絡安全要求
2.9.1數據接口
明確軟件供用戶調用的應用程序接口(API)、數據接口(含傳輸協議、存儲格式,如DICOM、HL7、JPG、PNG、私有協議與格式)、產品接口(可聯合使用的其他醫療器械獨立軟件、醫療器械硬件產品)。
2.9.2用戶訪問控制
明確軟件的用戶身份鑒別方法、用戶類型及用戶訪問權限。
2.10附件要求
2.10.1用于加固傳感器的膠帶
明確有效使用時間內用于加固傳感器的膠帶的持粘性及剝離強度。可參考YY/T 0148-2006標準中要求。
2.10.2穿刺針性能
穿刺針植入人體皮下長度、穿刺針外形尺寸(長、寬、高)、針頭、針管穿刺力、剛性、韌性、耐腐蝕、連接牢固度、化學性能(如酸堿度、重金屬、環氧乙烷殘留量(如適用))、穿刺針與傳感器上蓋拔出力。
2.10.3植入工具
植入工具抽針力。
2.10.4 傳感器檢測器
防進液、檢測器連接足連接發送器時防止旋轉的裝配特征、檢測器連接到發送器時所需的連接力。
2.10.5其他附件
2.11安全
如適用,系統應符合GB9706.1-2020、YY9706.108-2021、YY9706.111-2021標準中的要求。產品安全特征參照附錄B。
如適用,醫用級別充電器應符合GB9706.1-2020標準要求。
2.12電磁兼容
應符合YY 9706.102-2021標準的要求。
3.檢驗方法
工作條件:明確系統的工作條件,如額定工作電壓,環境條件(如相對溫、濕度等)等。
如適用,應明確模擬葡萄糖溶液成分(附錄C)及自研檢測用設備信息(附錄D)。
……
(分頁)
附錄A
1. 產品配置表


注:應明確不同規格部件差異(如有);√表示配置中包含該部件
2.傳感器電極結構及化學堆層
2.1提供傳感器電極剖面放大圖,描述各電極(如:工作電極、參比電極、對電極)結構。
2.2傳感器電極化學堆層示意圖及必要中文注釋,結合制造工藝明確各膜層溶液成分、規格。
3.軟件
3.1軟件名稱
3.2軟件發布版本
3.3軟件完整版本命名規則
4.與人體接觸材料

注:與人體接觸材料應結合圖示注明
5.滅菌方式
輻射滅菌明確射線束類型
6.滅菌有效期
附錄B 產品安全特征
附錄C模擬葡萄糖溶液成分
附錄D自研檢測用設備信息(名稱、型號、圖示)
附件4
該條款旨在考量傳感器在宣稱測量范圍內,產生的信號與模擬葡萄糖溶液濃度之間的線性關系、線性偏差。
線性相關系數:

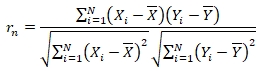
其中,rn表示第n個傳感器的線性相關系數n=1,2,3…
xi表示第i個葡萄糖濃度值,i=1,2,3…
yi表示第i個響應電流值或原始信號,i=1,2,3…
x表示葡萄糖濃度平均值
y表示響應電流或原始信號平均值
N表示葡萄糖濃度數
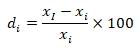
線性偏差:

其中,di表示該傳感器第i個葡萄糖濃度的線性偏差, i=1,2,3…
xi表示第i個葡萄糖濃度值,i=1,2,3…
x1表示在第i個葡萄糖濃度下測試得出的響應電流值或原始信號y1代入線性回歸方程y=ax+b計算得出的葡萄糖濃度值。
該條款旨在考量單個傳感器在短時間內測量的重復性。
標準差SD:

其中,In表示同一濃度下第n次電流值或原始信號,n=1,2,3
I表示同一濃度下響應電流或原始信號平均值
N表示響應電流樣本值
變異系數CV:

其中,I表示同一濃度下響應電流或原始信號平均值
響應時間旨在證明傳感器電極信號可在適當時段內對葡萄糖濃度的變化作出響應。
響應時間T=T穩態-T移入
其中,T穩態表示該傳感器移入葡萄糖溶液后達到95%穩態電流的時間
T移入表示移入葡萄糖溶液的時間
該條款旨在考量傳感器在整個使用壽命范圍內的穩定性。
響應電流值變化率:

其中,wn+1表示第n+1天響應電流值或原始信號變化率n=1,2,3…
In表示第n天響應電流值或原始信號n=1,2,3…
N天平均每24h的電流或原始信號變化率:

其中,w表示N天平均每24h響應電流或原始信號變化率
wi表示第i天的響應電流或原始信號變化率i=1,2,3…N表示測試天數
該條款旨在考量模擬人體體溫變化時,傳感器的性能變化。
傳感器葡萄糖濃度線性偏差的范圍
體外電流變化:

該條款旨在考量某些藥物成分等對于傳感器性能的干擾。
葡萄糖濃度值影響=干擾物樣本葡萄糖濃度值的平均值-對照樣本的葡萄糖濃度值的平均值。
樣本數據:X1, X2,…, Xn
平均值:

標準差SD:


啟動時間=顯示第一個數據點的時間-傳感器連接到發射器的時間。
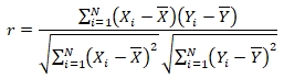
線性相關系數:

其中,Xi表示第i個理論電流值,i=1,2,3…
Yi表示第i個實測電流值,i=1,2,3…
X表示理論電流平均值 X1 X2 Xn
Y表示實測電流平均值
N表示理論電流數
理論電流值=V/R
其中V表示發射器激勵電壓
R表示傳感器電阻
一個程序或系統的測量值與匹配的參考值(或真實值,如有)之間絕對相對偏差(ARD)的預期值。通常通過以i為索引的N個測量值/參考值對的絕對相對差平均值來估算,可表示為:

一致性是準確性的評價指標之一,可通過一致率表示。是計算CGM值落在相應參考值的指定范圍內的百分比。20/20%一致性通過計算CGM讀數在參考值20%范圍內的百分比,比較CGM與血糖值的一致性。低參考值下的比較通常采用差值20mg/dL(采用濃度單位)來表示。mg/dL與百分比的界限X由制造商定義。
A=((CGM測量值-YSI參考值)偏差在±20%的配對數/總配對數)*100%
A表示當血糖濃度大于Xmmol/L時,與參考值偏差在±20%范圍內的結果的百分數
B=((CGM測量值-YSI參考值)偏差在±20 mg/dL(1.1 mmol/L)內的配對數/總配對數)*100%
B表示當血糖濃度小于或等于Xmmol/L時,與參考值偏差在±20 mg/dLl(1.1 mmol/L)范圍內的結果的百分數
與參考值的20/20%一致率=A+B
持續葡萄糖監測(CGM)的性能指標,在數學上與平均絕對相對差相似。配對絕對相對差不是將CGM系統測量值與葡萄糖參考測量值進行比較,而是將同一患者同時佩戴的兩個CGM系統的匹配測量值進行比較:

其中有N對CGM測量值(一個來自CGM1,一個來自CGM2);注:配對絕對相對差是衡量CGM系統精確性的一個指標。
注:警示可以包括與葡萄糖水平無關的狀況,例如,“傳感器壽命即將結束”或“信號丟失”。
注:高血糖閾值不必與高血糖的警示閾值相同。
注:低血糖閾值不必與低血糖的警示閾值相同。
注:在這一時間間隔內,葡萄糖水平多次低于低血糖閾值被視為一次低血糖事件。
注:在這一時間間隔內,葡萄糖水平多次超過高血糖閾值被視為一次高血糖事件。
CGMS發出警示且在警示前后一定時間間隔內EKF或YSI檢測血糖達到警示設定值的次數百分比。
CGMS發出警示且在警示前后一定時間間隔內EKF或YSI檢測血糖并未達到警示設定值的次數百分比。
錯誤警示率=1-正確警示率;
參考血糖值達到警示設定值前后一定時間間隔內,CGM設備發出警示的次數百分比;
參考血糖值達到警示設定值前后一定時間間隔內,CGM設備沒有發出警示的次數百分比;
錯誤檢測率=1-正確檢測率。
附件5
以電化學為基本原理的CGMS,在測量組織間液葡萄糖濃度時通常需要校準。
校準是指將傳感器監測到的電流型號轉化為血糖信號的過程,傳感器的靈敏度代表校準因子,用于將傳感器電響應轉換為血糖值(從校準時間點開始)。校準過程需要用戶進行每日血糖( Blood Glucose,BG)測試,傳感器對血糖的靈敏度可以根據一個傳感器的電流值及其相應的時間匹配BG讀數計算得到。校準過程有幾個缺點,首先是增加用戶的使用負擔,每次校準都需要痛苦和耗時的BG測試;其次用戶校準過程的不規范影響BG測試的準確度,從而影響傳感器系統的準確性。
對于工廠校準產品,申報企業應描述產品工廠校準的原理及實現方法,并設計評估指標及評估方法進行驗證,評價工廠校準CGMS的性能。
申報企業應描述工廠校準的基本原理、實現方式、影響傳感器準確度的關鍵因素及研究內容。
(一)基本原理
申報企業應描述產品工廠校準的原理及關鍵因素,比如:
實現傳感器工廠校準的基本原理是根據傳感器在體外測試的靈敏度來預測其在患者體內佩戴的靈敏度,并且在佩戴期間,保持傳感器的靈敏度。
(二)實現方式
申報企業應提供工廠校準算法建立的流程圖,描述算法建立的步驟:如,傳感器制備;體外測試;根據線性測試輸出CODE;測試后的傳感器滅菌后進行體內測試;獲得傳感器體內測試的響應電流數據,通過體內的傳感器響應電流數據與參考血糖數據建立算法模型,并將體外線性測試輸出的CODE碼引入算法模型,建立修訂系數;驗證算法系數;算法優化;固化算法;算法驗證。
(三)影響傳感器準確度的關鍵因素
如生產過程穩定,生產到使用期間靈敏度不能改變,佩戴期間靈敏度穩定,體外測試靈敏度與體內實際靈敏度相關。
(四)研究內容
為了實現工廠校準,開展的相關研究內容包括不限于:
1.傳感器靈敏度一致性研究資料,即經工廠校準的傳感器靈敏度應保持一致或保持同一規律變化;
2.多批次傳感器體內外靈敏度相關性的研究資料,可根據體外靈敏度準確預測體內靈敏度;
3.在使用期間保持傳感器靈敏度的研究資料;
4.在貨架壽命期間,保持靈敏度的研究資料。
5. 其他研究,如算法驗證及算法優化過程中開展的以臨床性能(平均絕對相對差(MARD)、與參考值的20/20%一致率、共識誤差柵格分析、Clarke誤差柵格分析等)為評價指標的體內研究資料。
各項研究均應分別提供研究方案及研究報告。
(一)試驗設計
申報企業應基于產品工廠校準原理,設計評價指標及評價方法,如:
1.傳感器靈敏度一致性研究
基于批次工廠校準技術,進行工廠校準的集成式傳感器,應評估同一批次生產的傳感器靈敏度一致性,可以批內傳感器靈敏度的變異系數(CV)為評價指標,制造商也可自行規定評價指標。
基于單個產品校準技術,進行工廠校準的集成式傳感器,應提供多個批次的傳感器的工廠校準參數和傳感器在至少三個不同濃度的葡萄糖溶液中的靈敏度研究資料。
測定靈敏度時,應評估至少3個不同葡萄糖濃度下傳感器電流響應,包括低、中和高濃度葡萄糖。檢測環境的溫度應保持穩定,在合理的受控溫度下進行測試。
2.多批次傳感器體內外靈敏度相關性研究
設計體內試驗,納入受試者佩戴傳感器進行試驗,測定傳感器體外測試靈敏度與體內實際靈敏度之間的相關系數。
傳感器在體內的靈敏度通過采集受試者指尖血或靜脈血血糖值,并與數據傳輸頻率最相近的傳感器的電流響應值來計算。佩戴時間為產品預期使用時間,應進行時間冗余設計,每天至少采集3次指尖血/靜脈血血糖值用于計算體內靈敏度。體內靈敏度取產品預期使用時間內多日測試的靈敏度均值。
傳感器在體外的靈敏度測試方法與上述“傳感器靈敏度一致性研究”相同。
3.傳感器在使用期間的靈敏度分析
應通過體外測試和/或體內測試,評估傳感器在宣稱使用時間內,在體外體內環境下靈敏度,使用期間應進行時間冗余設計。若只適用體外測試則需要額外解釋僅進行體外測試的合理性。
(1)體外測試
應在模擬體內組織間液的檢測環境下進行初始試驗,評估至少3批不同葡萄糖濃度下傳感器電流響應的穩定性或變化趨勢。
應明確模擬體內組織間液的成分并提供制定依據,檢測環境的溫度應保持穩定,氧含量應符合制造商要求(如適用)。
(2)體內測試
設計體內試驗,納入受試者佩戴傳感器,通過采集受試者指尖血血糖值/靜脈血,并記錄與數據傳輸頻率最相近的傳感器的電流響應值,評估傳感器在體內環境下的靈敏度穩定性或變化趨勢。如靈敏度變化趨勢有較強一致性,應描述算法對該趨勢的應對策略,并通過體內試驗的算法模擬分析進行驗證,提交算法可追溯文檔;如靈敏度變化趨勢一致性不明顯,應描述算法識別該變化趨勢的方式以及相應的應對策略,并通過體內試驗的算法模擬分析進行驗證,提交算法可追溯文檔。
4.貨架壽命期間保持傳感器靈敏度
應采用實時老化的方法,評估傳感器在預期儲存條件及貨架有效期內靈敏度變化。申報企業應定義評價時間點(如0月,1個月,3個月,6個月,9個月,12個月……),并提供依據。
(二)接收準則
申報企業應明確在“試驗設計”中各項測試指標的接收準則,并提供依據,如:
1.傳感器靈敏度一致性研究
同一批次內傳感器靈敏度的變異系數(CV)應符合制造商規定。采用其它靈敏度賦值方式,需提供對應研究文件。
2.多批次傳感器在體內外靈敏度相關性研究
傳感器在體內外靈敏度應具有高度相關性,比如,二者為線性關系,其線性相關系數r應符合制造商規定。制造商也可自行規定評價指標。
3.傳感器在使用期間的靈敏度分析
若傳感器在使用期間的靈敏度相對穩定,可參考如下標準:
(1)體外測試:電流響應的平均變化率應符合制造商規定。
(2)體內測試:傳感器靈敏度的均值變化應符合制造商規定。
若傳感器在佩戴期間的體內靈敏度發生較大變化,應分析變化趨勢。如變化趨勢有較強一致性(例如靈敏度持續勻速降低,發生概率大于85%),應描述算法對該趨勢的應對策略,并通過體內試驗的算法模擬分析進行驗證,同時提交算法可追溯文檔;如趨勢一致性不明顯,應描述算法識別該變化趨勢的方式以及相應的應對策略,并通過體內試驗的算法模擬分析進行驗證,同時提交算法可追溯文檔。
4.傳感器在貨架效期內靈敏度分析
若傳感器靈敏度較為穩定,則靈敏度均值變化應符合制造商規定;在貨架有效期內靈敏度均值變化應符合制造商規定。或靈敏度的變化存在一定規律,可以應用算法或策略來應對該變化趨勢,滿足系統準確性的要求;貨架有效期內靈敏度變化存在一定規律,可以應用算法或策略來應對該變化趨勢,滿足系統準確性的要求,需提供對應研究文件。
(三)樣品準備
1.傳感器靈敏度一致性研究
應采用隨機三批生產的傳感器或傳感電極或傳感電極與發射器整機作為樣品進行測試,明確每批次測試選取的樣本量及制定依據。
2.多批次傳感器體內外靈敏度相關性研究
對于體內靈敏度測試,應至少采用隨機三批生產的傳感器進行測試,明確每批次測試選取的樣本量及制定依據。
對于體外靈敏度測試,應至少采用隨機三批生產的傳感電極或傳感器進行測試,明確每批次測試選取的樣本量及制定依據。
3.傳感器在使用期間的靈敏度分析
(1)體外測試:應采用同一批次生產的傳感電極或傳感器進行測試,明確每批次測試選取的樣本量及制定依據;
(2)體內測試:應采用同一批次生產的傳感器進行測試,明確每批次測試選取的樣本量及制定依據。
4.貨架有效期內保持傳感器靈敏度研究
應采用同一批次生產的傳感器進行測試,明確每批次測試選取的樣本量及制定依據。
(四)體內測試研究方案內容
體內測試研究方案應參考臨床試驗方案的要求提供,包括不限于以下內容:
1.試驗題目或代號;
2.所有參與研究的研究機構/單位和申請人的名稱、地址及聯系方式;
3.試驗項目負責人和參加試驗的主要人員姓名和職責;如存在多場所研究的情況下,應當明確負責各部分試驗工作的研究場所、主要研究者姓名及其所承擔的工作內容;
4.試驗研究依據的試驗標準、指導原則或者文獻等;
5.試驗目的和背景信息(包括產品更改信息);
6.受試器械和對照描述,如名稱、縮寫名、代號、型號規格、批號、保存期限、保存條件。提供受試器械、對照、型號規格選擇的合理性說明等。
7.試驗用藥物和配用器械的相關信息,如藥物名稱和劑量、配用器械名稱和型號規格等;
8.受試者信息、基線數據,數量及制定依據、年齡、性別、分組方法、健康狀況、入排標準等信息;
9.受試器械和對照的使用方法、劑量(如適用)和頻次;
應提供采血計劃,明確采血頻次,采血天數。
10.試驗評價指標以及檢測方法、頻次及持續時間;
其中佩戴時間應不低于產品預期使用時間并應設定合理裕量。
11.數據統計處理方法;
12.方案偏離處理方法;
13.檔案的保存時間和地點。
14.數據來源合法性聲明。
(一)傳感器靈敏度一致性研究
計算同一批次內各傳感器的靈敏度數值,分別計算每一批次內傳感器靈敏度的變異系數,結果應滿足“ 接收準則”的要求。
(二)多批次傳感器體內外靈敏度相關性研究
分別計算測試樣品在體內及體外的靈敏度,以體外靈敏度為橫坐標、體內靈敏度為縱坐標繪圖,通過線性擬合計算線性相關系數,結果應滿足“接收準則”的要求。
(三)在使用期間保持傳感器靈敏度的研究
若傳感器在使用期間的體內靈敏度相對穩定,則應依照測試進行分析:
1.體外測試:以測試時間為橫坐標、響應電流為縱坐標繪圖,并計算各樣品在測試時間內響應電流的平均變化率,結果應滿足“接收準則”的要求;
2.體內測試:以測試時間為橫坐標、體內靈敏度為縱坐標繪圖,并計算各樣品在測試時間內,每一天的體內靈敏度均值,均值的變化應滿足“接收準則”的要求。
若傳感器靈敏度變化趨勢有較強一致性(例如持續勻速降低,發生概率大于85%),應描述算法對該趨勢的應對策略,并通過體內試驗的算法模擬分析進行驗證,,提交算法可追溯文檔;若傳感器靈敏度變化趨勢一致性不明顯,應描述算法識別該變化趨勢的方式以及相應的應對策略,并通過體外試驗的算法模擬分析進行驗證。靈敏度變化的驗證結果應滿足“接收準則”的要求,提交算法可追溯文檔。
(四)貨架有效期內保持傳感器靈敏度研究
以測試時間為橫坐標、靈敏度為縱坐標繪圖,并計算各樣品在測試時間內,每一評價時間點的靈敏度均值,均值的變化應滿足“接收準則”的要求。
研究報告至少應包括以下內容,表格可參考表1-表4:
(一)傳感器靈敏度一致性研究
列出隨機三批生產的傳感器或傳感電極樣品的靈敏度,以及批內樣品靈敏度的變異系數;
(二)多批次傳感器體內外靈敏度相關性研究
以體外靈敏度為橫坐標、體內靈敏度為縱坐標繪圖,分析傳感器在體內外靈敏度相關性,計算相關性系數;
(三)傳感器在使用期間的靈敏度研究
1.體外測試:以測試時間為橫坐標、響應電流為縱坐標繪圖,并列表展示各樣品在測試時間內響應的波動變化的上下限值、變化率及平均變化率;
2.體內測試:以測試時間為橫坐標、體內靈敏度為縱坐標繪圖,并列表展示各樣品在測試時間內,每一天的體內靈敏度及均值。
若傳感器靈敏度變化趨勢有較強一致性,應描述算法對該趨勢的應對策略,并提供體內試驗的算法模擬分析驗證報告,提供算法可追溯文檔;若傳感器靈敏度變化趨勢一致性不明顯,應描述算法識別該變化趨勢的方式以及相應的應對策略,并提供體內試驗的算法模擬分析驗證報告,提供算法可追溯文檔。
(四)在貨架壽命期間保持靈敏度的研究
以測試時間為橫坐標、靈敏度為縱坐標繪圖,并列表展示各樣品在測試時間內,每一評價時間點的靈敏度及均值。若靈敏度變化較大,應描述算法對該變化的識別方式及應對策略,并提供體內試驗的算法模擬分析驗證報告。




附件6
CGMS在測量組織間液葡萄糖濃度時,可能受某些化學物質的干擾而影響其測量準確度,這些化學物質被稱為“干擾物”。通常情況下,這些干擾物被分為內源性干擾物和外源性干擾物兩種類別。內源性干擾物是指在人體內自發形成的、對產品分析或測量結果造成干擾的物質;外源性干擾物是指從體外攝入的(如藥物、藥物代謝產物及其他營養物質)、對產品分析或測量結果造成干擾的物質。
干擾物的作用機制通常包括電化學干擾、化學干擾及物理干擾等。其中,電化學干擾是指在CGMS工作過程中,因工作電極上施加了較高的氧化電位,電化學活性分子等干擾物被氧化產生干擾電流,這些干擾電流會對產品獲取葡萄糖分子發生電化學反應產生的信號電流造成干擾,進而影響產品測量的準確性。化學干擾通常是由于干擾物抑制了監測過程中的化學反應,或是通過絡合、沉積等方式改變被測物的形態,從而影響產品測量的準確性。物理干擾則是由于干擾物改變了測樣本的物理狀態,如粘度、表面張力、渾濁度、離子強度等,進而對產品測量準確性造成影響。
制造商應根據其產品的工作原理和作用機理,選擇并評估常見干擾物對產品測量準確性的影響。制造商應構建模擬組織間液的測試環境,采用比對法進行測試,評價CGMS的抗干擾性能。
(一)試驗設計
明確試驗設計的參考依據,試驗流程。
確定被測物的試驗濃度,明確制定依據。所選被測物濃度應能代表可能改變醫療決策的濃度。如,2個試驗濃度,包括低濃度葡萄糖、高濃度葡萄糖。
確定患者標本或試驗樣本的制備方法,試驗樣本成份,試驗條件(檢測環境的溫度、氧含量(如適用)、讀數前,CGMS至少應在組織間液中浸潤時間等),并提供制定依據。
確定潛在干擾物質清單及試驗濃度,明確制定依據。如附表1人體血液中影響葡萄糖監測準確性的常見干擾物。制造商應至少測試:抗壞血酸、對乙酰氨酚、布洛芬、阿司匹林和尿酸、羥基脲,并基于風險管理來識別其他可能對產品測量準確性造成影響的干擾物。
建議采用比對法進行試驗,即通過比對含有干擾物的模擬組織液樣本(以下稱“干擾物樣本”)與對照樣本的測量結果,評價產品的抗干擾性。干擾物樣本與對照樣本的葡萄糖濃度值,應通過標準實驗室測量方法來確定。
發現干擾效應時,應進行劑量-反應試驗,以確定干擾程度與干擾物濃度之間的關系。
(二)接收準則
確定接收標準及制定依據。
如,當檢測結果達到如下任一情況時,表明產品性能受干擾物影響,制造商應在說明書中載明干擾物的相關信息:
1.在低濃度血糖(小于X mmol/L)的測試樣本中,產品測量干擾物樣本與對照樣本的平均差值大于X mmol/L;
2.在高濃度血糖(大于X mmol/L)的測試樣本中,產品測量干擾物樣本與對照樣本的平均差值大于X%。
(三)樣品準備
明確樣品制備流程,明確基礎池、干擾物添加溶液制備方法,明確試驗及對照樣本的制備方案及制定依據。制備流程通常如下:
1.根據測量程序的樣本量、待測潛在干擾物的數量以及所需的重復次數,計算所需的樣本量。
2.首選患者標本,沒有首選標本時,謹慎考慮其他類型樣本,評估人員負責確認試驗材料是否充分模擬了真實的人類標本。
3.制備基礎池、確定基礎池中葡萄糖濃度。
4.分別配置低、高濃度葡萄糖的基礎池等分子試樣;
5.每個等分試樣分為試驗池與對照池。
6.制備干擾物添加溶液。
7.在試驗池中加入特定濃度的干擾物,作為干擾物樣本;
8.在對照池中加入等體積溶劑,作為對照樣本。
確定每一樣本所需的重復次數。每一樣本在測量前應輕柔但充分混勻。具體操作步驟舉例如下:
(一)使用EKF乳酸/葡萄糖分析儀或Yellow Spring Instrument(YSI)測量X次,計算平均值;
(二)確定使用的CGMS數量,并給出具備統計學意義的確定依據。每個產品至少測量 N 次,計算平均值;
(三)產品測量結束后,使用EKF乳酸/葡萄糖分析儀或YSI測量X次,計算平均值;
(四)比較步驟(一)和(三)所測量的參考值,以確保在評價過程中組織液樣本無變化。如果結果超出預先規定的要求(即第一次結果和最后一次結果之間的差異在低葡萄糖濃度>X mmol/L;或在高血糖濃度時≥X%,那么這個樣本的測量值將不被應用,需使用另一樣本重新進行測量。差異限值由制造商自行定義。
分析每個樣本的測量數據,按照下列要求進行分析。具體操作步驟如下:
(一)對于每一樣本,計算CGMS測量值的平均值及標準差;
(二)計算干擾物樣本和對照樣本測量結果平均值的偏差,若偏差達到接受標準,則表明產品性能受干擾物影響,應開展劑量-響應評估試驗;
(三)劑量-響應評估試驗:取干擾物在體內生理濃度的3倍值為最高濃度值,取最高濃度值的0%、25%、50%、75%和100%為測試劑量,分別重復“三、評價程序”的操作步驟進行測試。測試完成后,以干擾物劑量為橫坐標,以干擾物樣本和對照樣本的偏差值為縱坐標,繪制偏差值-干擾物濃度曲線。
研究報告至少應包括以下內容,表格格式可參考附表2:
(一) 列出已進行測試的干擾物及其濃度,以及選擇依據;
(二) 對于附表1中未進行測試的干擾物,應說明理由;
企業如使用不同的測試濃度,請提供參考依據和理由。
(三)抗干擾性研究的主要結果及結論,包括:干擾物測試濃度、每一份樣本的葡萄糖測量標準值、偏差值-干擾物濃度曲線。


注:*表格中乙二胺四乙酸和肝磷脂的濃度,是指其作為藥物治療的濃度,而非作為抗凝劑的濃度。
**指所有糖醇,包括但不限于山梨醇(sorbitol)、木糖醇(xylitol)、乳糖醇(lactitol)、異麥芽酮糖醇(isomalti)、麥芽糖醇(maltitol)等,制造商應分別采用這些物質進行產品抗干擾測試。


站點聲明
本網站所提供的信息僅供參考之用,并不代表本網贊同其觀點,也不代表本網對其真實性負責。圖片版權歸原作者所有,如有侵權請聯系我們,我們立刻刪除。如有關于作品內容、版權或其它問題請于作品發表后的30日內與本站聯系,本網將迅速給您回應并做相關處理。
鄭州思途醫療科技有限公司專注于醫療器械產品政策與法規規事務服務,提供產品注冊備案申報代理、臨床試驗、體系建立輔導、分類界定、申請創新辦理服務。
為深入貫徹落實中共中央辦公廳、國務院辦公廳印發的《關于深化審評審批制度改革鼓勵藥品醫療器械創新的意見》(廳字〔2017〕42號),按照國家藥品監督管理局《關于擴大醫療器械
為規范醫療器械注冊人跨區域委托生產的監督管理,推進長江三角洲區域醫療器械跨區域監管,根據《中共中央辦公廳國務院辦公廳關于深化審評審批制度改革鼓勵藥品醫療器械創新的意見》《
2024年10月19日,在第 75 屆世界醫學會全體大會上正式通過了《赫爾辛基宣言》的最新修訂版本;《赫爾辛基宣言》作為人類參與者的醫學研究倫理
附件:血液透析用水處理設備注冊審查指導原則(2024年修訂版)(2024年第19號).doc血液透析用水處理設備注冊審查指導原則(2024年修訂版)本指導原則旨在指導注冊申請人對血液透析用水處理設備注冊申報資料的準備及撰寫,同時也為技術審評部門提供參考。本指導原則是對血液透析用水處理設備的一般要求,注冊申請人依據產品的具體特性確定其中內容是否適用。若不適用,要具體闡述理由及相應的科學依據,并依據產
附件:醫療器械監督管理條例(2025年修訂版).doc醫療器械監督管理條例(2000年1月4日中華人民共和國國務院令第276號公布 2014年2月12日國務院第
附件:重組膠原蛋白創面敷料注冊審查指導原則(2023年第16號).doc重組膠原蛋白創面敷料注冊審查指導原則本指導原則旨在指導注冊申請人準備及撰寫重組膠原蛋白創
國家藥監局藥審中心關于發布《抗腫瘤藥物臨床試驗中SUSAR分析與處理技術指導原則》的通告(2024年第42號) 發布日期:20241010
國家藥監局器審中心關于發布影像型超聲診斷設備(第三類)注冊審查指導原則(2023年修訂版)的通告(2024年第29號)發布時間:2024-10-14為進一步規范
附件:醫用透明質酸鈉創面敷料注冊審查指導原則(2024年第21號).doc醫用透明質酸鈉創面敷料注冊審查指導原則本指導原則旨在指導注冊申請人準備及撰寫醫用透明質酸鈉創面敷料注冊申報資料,同時也為技術審評部門審查注冊申報資料提供參考。本指導原則是對醫用透明質酸鈉創面敷料產品的一般要求,注冊申請人應依據產品的具體特性確定其中內容是否適用,若不適用,需具體闡述理由及相應的科學依據,并依據產品的具體特性對
附件:醫用霧化器注冊審查指導原則(2024修訂版)(2024年第19號).doc 醫用霧化器注冊審查指導原則(2024年修訂版) 本指導原則旨在指導注冊申請人提交醫用霧化器的注冊申報資料,同時也為技術審評部門審查注冊申報資料提供參考。 本指導原則是對醫用霧化器的一般性要求,注冊申請人應根據申報產品的特性提交注冊申報資料,判斷指導原則中的具體內容是否適用,不適用內容應闡述理
行業資訊
知識分享
八年
醫療器械服務經驗
聯系思途,免費獲得專屬《落地解決方案》及報價
咨詢相關問題或咨詢報價,可以直接與我們聯系
思途CRO——醫療器械注冊臨床第三方平臺
