長江三角洲區域醫療器械注冊人制度試點工作實施方案(試行)(滬藥監械管〔2019〕112號)
為深入貫徹落實中共中央辦公廳、國務院辦公廳印發的《關于深化審評審批制度改革鼓勵藥品醫療器械創新的意見》(廳字〔2017〕42號),按照國家藥品監督管理局《關于擴大醫療器械
來源:醫療器械注冊代辦 發布日期:2024-01-03 閱讀量:次
附件:病原體特異性M型免疫球蛋白定性檢測試劑注冊審查指導原則(2023年修訂版)(2024年第1號).doc
本指導原則旨在指導注冊申請人對病原體特異性M型免疫球蛋白(Immunoglobulin M,IgM)定性檢測試劑注冊申報資料的準備及撰寫,同時也為技術審評部門對注冊申報資料的技術審評提供參考。
本指導原則是對病原體特異性IgM抗體定性檢測試劑的一般要求,申請人應依據產品的具體特性確定其中內容是否適用,若不適用,需具體闡述理由及相應的科學依據,并依據產品的具體特性對注冊申報資料的內容進行充實和細化。
本指導原則是對申請人和審查人員的指導性文件,但不包括注冊審批所涉及的行政事項,亦不作為法規強制執行,如果有能夠滿足相關法規要求的其他方法,也可以采用,但需要提供詳細的研究資料和驗證資料,相關人員應在遵循相關法規的前提下使用本指導原則。
本指導原則是在現行法規和標準體系以及當前認知水平下制定的,隨著法規和標準的不斷完善,以及科學技術的不斷發展,本指導原則相關內容也將適時進行調整。
在病原體感染的初次體液免疫應答中(原發性感染),特異性IgM抗體首先出現,但其普遍反應短暫,一般幾周后即不易再測到。病原體特異性IgM抗體陽性常提示早期感染,可用于感染急性期的輔助判斷。人血液樣本中病原體特異性IgM抗體的定性檢測,對某些傳染病如甲型肝炎、乙型肝炎、弓形蟲、風疹病毒、巨細胞病毒及單純皰疹病毒(TORCH)類病原體感染等有較高的臨床參考價值。
病原體特異性IgM抗體定性檢測試劑是指利用酶聯免疫吸附法、化學發光法等基于抗原抗體反應原理,以特定病原體的特異性IgM抗體為檢測目標,對人血清或血漿等樣本中病原體特異性IgM抗體進行體外定性檢測的試劑。本指導原則適用于進行注冊申請和變更注冊的情形。
(一)監管信息
1.產品名稱及分類編碼
產品名稱應符合《體外診斷試劑注冊與備案管理辦法》及相關法規的要求,如甲型肝炎病毒IgM抗體檢測試劑盒(化學發光法)。根據《體外診斷試劑分類規則》,該產品按照第三類體外診斷試劑管理,分類編碼為6840。
2.其他信息還包括產品列表、關聯文件、申報前與監管機構的聯系情況和溝通記錄以及符合性聲明等文件。
(二)綜述資料
綜述資料主要包括產品臨床適用證背景情況、預期用途、產品描述、有關生物安全性的說明、研究結果的總結評價以及同類產品上市情況介紹等內容,其中同類產品上市情況介紹部分應著重從方法學及臨床適用范圍等方面寫明擬申報產品與目前市場上已獲批準的同類產品之間的主要區別。
建議申請人對以下幾方面內容進行著重介紹:
1.特定病原體的生物學特性、結構與功能、感染過程、潛伏期、特異性IgM抗體產生及可持續存在時間、病理背景等。
2.特定病原體感染相關的疾病情況、流行病學以及易患(高危)人群的說明。
3.對申報試劑檢測結果可能帶來的風險進行合理評估,即由申報試劑的假陽性/假陰性結果導致的對患者臨床診治、孕婦或胎兒的不恰當處理、疫苗接種、流行病學等方面的負面影響。
4.申報產品的研發歷程。
(三)非臨床資料
1.產品技術要求及檢驗報告
注冊申請人應當在原材料質量和生產工藝穩定的前提下,根據產品研制、前期評價等結果,依據國家標準、行業標準及有關文獻資料,結合產品特性按照《醫療器械產品技術要求編寫指導原則》的要求編寫。該類產品作為第三類體外診斷試劑,應當以附錄形式明確主要原材料以及生產工藝要求。
病原體特異性IgM抗體檢測試劑的注冊檢測應主要包括以下性能指標:物理性狀、陽性參考品符合率、陰性參考品符合率、精密度、最低檢測限(分析靈敏度)等。
如有適用的國家標準、行業標準,產品技術要求的相關要求應不低于相應的要求。
如該項目已有國家標準品,產品技術要求中應體現國家標準品的相關要求,并使用國家標準品對三批產品進行檢驗。
2.分析性能研究
申請人應提交在符合質量管理體系的生產環境下生產的試劑進行的所有性能評估資料,包括具體研究方法、試驗方案、試驗數據、統計分析等詳細資料。有關分析性能評估的背景信息也應在申報資料中進行描述,包括試驗地點,采用的試劑名稱、規格和批號,儀器名稱和型號,樣本類型和來源等。分析性能評估的試驗方法可以參考國際或國內有關體外診斷試劑性能評估的指導原則進行,建議著重對以下分析性能進行研究。
2.1樣本穩定性
樣本穩定性一般包括樣本各種實際運輸及儲存(常溫、冷藏和冷凍)條件下的保存期限驗證,以確認樣本的保存條件及效期(短期、長期)。需要冷凍保存的樣本同時應對凍融次數進行合理驗證。某些用于防腐、冷凍用途或起穩定保護作用的添加劑可能會對檢測造成影響,如涉及,請對該添加劑的影響進行合理驗證。若要用于加熱樣本(如熱滅活)的檢測,則應對加熱前后的病原體特異性IgM抗體陽性及陰性樣本進行加熱因素的干擾驗證。
2.2適用的樣本類型
如產品適用于血清和血漿,可采用同源比對驗證樣本的可比性。方法為對不少于50例源自同一患者的病原體特異性IgM抗體陰性、弱陽性(略高于臨界值)的血清和血漿樣本進行檢測以驗證申報試劑對于血清和血漿樣本的檢測結果的一致性。如產品適用于靜脈全血,建議進行最低檢測限和精密度研究,同時進行同源比對試驗。
2.3企業參考品檢驗
根據主要原材料研究資料中的企業參考品設置情況,采用至少三批產品對企業參考品進行檢驗并提供詳細的試驗數據。
2.4最低檢測限
選取特定濃度/滴度的病原體特異性IgM抗體樣本,做系列稀釋,將檢測結果的陽性率不低于95%(n≥20)的最大稀釋倍數作為試劑盒的最低檢測限。選擇與確定樣本不同的多份樣本,采用陰性樣本稀釋到最低檢測限濃度水平進行驗證,應不低于95%陽性檢出率。
2.5分析特異性
2.5.1交叉反應
用于病原體特異性IgM抗體檢測試劑交叉反應驗證主要考慮以下幾方面:
2.5.1.1對抗原結構相近或臨床癥狀相似的其他病原體高水平IgM抗體進行交叉反應研究,如乙型肝炎病毒核心抗體(HBc)IgM、甲型肝炎病毒(HAV)IgM、弓形蟲、風疹病毒、單純皰疹病毒以及巨細胞病毒IgM抗體等。
2.5.1.2高濃度病原體特異性IgG抗體與特異性IgM抗體的交叉反應驗證。
2.5.1.3如果試劑原料采用基因重組抗原,則還需考慮對重組基因導入微生物特異性抗體的交叉反應評價。
申請人應提交所有用于交叉反應驗證的樣本來源、濃度或滴度確認等信息。
2.5.2干擾物質
應根據所采集樣本類型,選擇適用的干擾物質進行研究。建議在每種干擾物質的潛在最大濃度下,采用病原體特異性IgM抗體陰性、弱陽性(略高于臨界值)的臨床或模擬添加樣本分別進行干擾試驗驗證。應說明樣本的制備方法及干擾試驗的評價標準。
2.5.2.1內源性干擾
對樣本中常見的內源性干擾物質進行檢測,如溶血、高脂、黃疸、類風濕因子(RF)、抗核抗體(ANA)、抗線粒體抗體(AMA)、高濃度非特異性IgG和IgM抗體等進行干擾研究。
2.5.2.2常見治療性藥物
對不同種類的抗菌藥物、干擾素、常見的抗病毒藥物、癥狀相關其他經驗性藥物等進行干擾研究。
2.5.2.3抗凝劑的干擾
如果試劑盒適用樣本類型包括血漿和/或靜脈全血樣本,應采用各種適用抗凝劑抗凝的血漿和/或靜脈全血樣本分別與血清樣本進行對比試驗研究。
2.5.2.4對至少5份含有病原體特異性IgM抗體的樣本進行IgM破壞試驗研究,方法為采用特定的化學制劑(如2-巰基乙醇或二硫蘇糖醇)處理樣本后,重新進行檢測,IgM檢測結果應為陰性。
2.6精密度
申請人應對每項精密度指標的評價標準做出合理要求,如標準差或變異系數的范圍等,針對本類產品的精密度評價主要包括以下要求。
2.6.1對可能影響檢測精密度的主要變量進行驗證,除申報試劑本身外,還應對運行、時間、操作者、儀器、試劑批次和地點等影響檢測精密度的主要變量進行相關的驗證。
2.6.2設定合理的精密度評價周期。
2.6.3用于精密度評價的臨床樣本應至少包括三個水平:
2.6.3.1陰性樣本:待測物濃度為零,陰性符合率應為100%(n≥20)。
2.6.3.2弱陽性樣本:待測物濃度略高于試劑的最低檢測限,陽性符合率應不低于95%(n≥20)。
2.6.3.3中/強陽性樣本:待測物濃度呈中到強陽性,陽性符合率為100%,且CV≤15%(n≥20)(如適用)。
2.7鉤狀(HOOK)效應(如適用)
須采用高滴度的病原體特異性IgM抗體的樣本進行梯度稀釋后由低濃度至高濃度開始檢測,每個梯度的稀釋液重復3~5份,對鉤狀效應進行合理的驗證。
2.8包容性
應選擇來源于不同時間、不同地域的多份臨床確診且經合理方法確定的病原體特異性IgM抗體弱陽性的患者樣本進行研究。
2.9其他需注意問題
對于使用儀器進行結果判讀的產品,應提供產品說明書【適用機型】項中所有型號儀器的性能評估資料。
2.10反應體系
2.10.1反應條件確定
申請人應考慮反應時間、反應溫度、洗滌次數(如涉及)等條件對產品性能的影響,通過試驗確定上述條件的最佳組合。
2.10.2反應體系中樣品加樣方式及加樣量確定
申請人應考慮樣品加樣方式、加樣量對產品檢測結果的影響,通過試驗確定最佳的加樣方式及加樣量。如樣本需采取稀釋或其他必要的方法進行處理后方可用于最終檢測,申請人還應對可用于樣本稀釋的基質或處理方法進行研究,通過試驗確定最終選擇的用于樣本稀釋的基質或處理方法。
采用間接法的試劑,建議考慮高濃度特異性IgG對結果的影響,合理設置IgG去除相關樣本處理步驟(例如采用含有IgG吸附劑的樣本稀釋液等),或者詳述產品設計中關于避免IgG影響IgM檢測結果的合理措施,盡量減少特異性IgG對IgM檢測造成的假陰性和假陽性。對至少10份臨界值附近的病原體特異性IgM抗體弱陽性并含有多水平病原體特異性IgG抗體的樣本進行檢測,比較去除總IgG前后的結果,驗證IgG吸附劑消除干擾的效果,以上試驗可以采用人工制備的樣本進行。
3.穩定性研究
穩定性研究主要包括實時穩定性、使用穩定性及運輸穩定性等研究,申請人可根據實際需要選擇合理的穩定性研究方案。穩定性研究資料應包括研究方法的確定依據、具體的實施方案、詳細的研究數據以及結論。對于實時穩定性研究,應提供至少三批樣品在實際儲存條件下保存至成品有效期后的研究資料。
4.陽性判斷值研究
應提交對申報試劑陰性/灰區/陽性等結果判斷的陽性判斷值確定的試驗研究資料,應包括具體的試驗方案、評價標準、統計學分析、研究數據等研究資料。如適用,建議采用受試者工作特征曲線(ROC)的分析方式來選擇確定合理的陽性判斷值,如試驗結果分析存在灰區,則應明確灰區建立的基礎。建立陽性判斷值的樣本來源選擇應考慮到地域性、年齡、不同生理狀態等因素的影響,并明確陽性判斷值在不同的樣本類型是否有差異。應搜集采用分布均勻的真實樣本對所確定的陽性判斷值進行驗證。注意,陽性判斷值的驗證樣本不應與陽性判斷值的確定樣本以及臨床試驗樣本重復。
5.其他資料
5.1主要原材料研究資料
5.1.1試劑盒所用病原體抗原
應注重抗原表位的選擇,原材料研究資料中應將此方面的考慮進行詳述。詳細描述抗原的名稱,天然/重組表達信息及選擇該抗原的依據。提交抗原來源、供應商選擇、制備、純化、鑒定、質量標準(外觀、蛋白濃度、純度、分子量、功能性試驗等)及檢驗等詳細試驗資料。
(1)企業自制抗原
如為天然抗原,則應對病原體毒株選擇、病原體培養、抗原提取及純化、鑒定等試驗過程予以詳述;如為重組抗原,則應提交有關特定基因選擇、基因序列、基因克隆、抗原表達及抗原純化鑒定等詳細內容,并對基因克隆的整個過程進行詳述,如特定脫氧核糖核酸(DNA)分子的體外處理、重組連接、導入宿主細胞、宿主細胞繁殖以及重組子表達等試驗過程。
(2)企業外購抗原,則應詳述抗原的名稱及生物學來源,供應商名稱,提交供應商出具的抗原性能指標及檢驗證書,詳述申請人對該抗原技術指標的要求以及申請人確定該抗原作為主要原材料的依據。供應商應相對固定,不得隨意更換。
5.1.2試劑盒所用病原體抗體
詳述抗體的選擇過程,提交抗體生物學來源、免疫原及質量標準(外觀、蛋白濃度、純度、分子量、效價、功能性試驗等)等詳細試驗資料。
(1)企業自制抗體
如使用天然抗原作為免疫原則應明確該天然抗原的來源;如使用重組抗原或其他人工合成抗原作為免疫原,應提供相應的核酸組分及重組抗原的序列信息。申請人對所選抗體的技術指標要求,確定該抗體作為主要原材料的依據。
(2)企業外購抗體
應詳述抗體的名稱及生物學來源,供應商名稱,提交供應商出具的抗體性能指標及檢驗證書,詳述申請人對該抗體技術指標的要求以及申請人確定該抗體作為主要原材料的依據。供應商應相對固定,不得隨意更換。
5.1.3其他主要原材料
除上述主要原材料外,產品中包含的其他原材料,如固相載體、硝酸纖維素膜、反應緩沖液等,該類原材料一般均為外購,應詳述每一原材料的供應商名稱,提交供應商出具的每一原材料性能指標及檢驗證書,詳述申請人對每一原材料技術指標的要求以及申請人確定該原材料作為主要原材料的依據。免疫層析方法學的產品如適用于全血,應介紹血細胞去除方式及相關原材料,并驗證去除效果。
5.1.4企業參考品
應提供企業參考品的原料選擇、制備、陰陽性及濃度/滴度確認等相關的驗證資料,提供對參考品性質確認的方法或試劑(建議采用國內已上市的、臨床上普遍認為質量較好的同類試劑)的相關信息。
如申報產品有相應的國家參考品,則企業參考品應參考國家參考品的項目設置。在不低于國家參考品要求的前提下,申請人可以結合實際情況設置合理的企業參考品。對于沒有國家參考品的產品,申請人應根據產品性能驗證的實際情況自行設定企業參考品,陽性參考品應著重考慮抗體滴度要求,陰性參考品則主要涉及對分析特異性(交叉反應)的驗證情況。
5.2生產工藝研究資料
5.2.1主要生產工藝介紹,可用流程圖方式表示,并簡要說明主要生產工藝的確定依據。
5.2.2產品基本反應原理介紹。
5.2.3包被工藝研究,申請人應考慮如包被液量、濃度、時間等指標對產品性能的影響,通過試驗確定上述指標的最佳組合。
5.2.4顯色(發光)系統、酶作用底物等的介紹及最適條件研究。
(四)臨床試驗資料
臨床試驗的開展、方案的制定以及報告的撰寫等均應符合相關法規及《體外診斷試劑臨床試驗技術指導原則》的要求,如相關法規、文件有更新,臨床試驗應符合更新后的要求。
1.臨床試驗方法
1.1對于有已上市同類產品的試驗體外診斷試劑,采用試驗體外診斷試劑與已上市同類產品(對比試劑)進行比較研究,評價兩種方法檢測結果的一致性,評價指標通常包括陽性符合率、陰性符合率等。對比試劑在預期用途、適用人群、樣本類型、檢測方法學、檢測性能等方面應與試驗體外診斷試劑具有較好的可比性。
1.2對于尚無已上市同類產品的試驗體外診斷試劑,應結合臨床指南等資料,明確IgM檢測的臨床意義。根據臨床意義,申請人可選擇病原體急性感染檢測的臨床參考標準并結合臨床診斷進行比較研究。如病原體分離培養鑒定。如果病原體分離培養鑒定的方法不可行也可以采用其他用于感染急性期判斷的方法進行比對研究,例如:病原體IgG抗體的血清學轉換(動態監測2份或以上的血清IgG,恢復期與急性期比較IgG呈4倍以上升高)、病原體核酸檢測或直接抗原檢測等方法。對于病原體感染急性期的判斷應按照臨床指南等資料的描述確定。
還應納入一定量的連續樣本,觀察其轉歸情況。
針對不一致的樣本,建議進一步隨訪其IgM的檢測情況并確認病例的感染狀態,綜合臨床其他因素進行分析。
2.受試者選擇及樣本收集
2.1受試者選擇
臨床試驗方案中應根據試驗用體外診斷試劑的預期用途、目標人群和檢測要求等合理確定臨床試驗受試者的選擇要求和樣本收集方法,包括:受試者入組/排除標準等。
根據產品臨床驗證的目的,入組人群應選擇具有特定病原體感染癥狀/體征、相似癥狀或有密切接觸史等疑似特定病原體感染人群作為研究對象。還應納入靶病原體之外的其他感染癥狀相似的、易混淆的病原體感染的患者樣本,以從臨床角度考察其特異性。
2.2樣本類型
病原體特異性IgM抗體檢測試劑適用的樣本類型一般包括血清、血漿、靜脈全血。如申報產品所適用的樣本類型同時包含血清、血漿,且臨床前研究證實檢測性能沒有差異(如血清、血漿),則臨床試驗中可匯總統計。
對于靜脈全血樣本類型,建議進行同源比對。
3.臨床試驗機構數量和要求
應選擇不少于3家(含3家)已備案的臨床試驗機構,按照相關法規、指導原則的要求開展臨床試驗。申辦者應根據產品特點及其預期用途,綜合不同地區病原體流行情況等因素選擇具有代表性的機構開展臨床試驗,包括受試人群的代表性等。
4.臨床評價指標
該類產品臨床評價指標主要包括試驗用體外診斷試劑與已上市同類產品相比的陽性符合率、陰性符合率等。如試驗用體外診斷試劑與臨床參考方法進行對比研究,其臨床評價標準應包括臨床靈敏度、臨床特異度等。
5.臨床試驗樣本量估算
臨床試驗樣本量應滿足統計學要求,可采用適當的統計學方法進行估算,同時應滿足法規最低樣本量的要求。
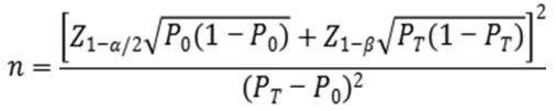
臨床試驗采用申報產品與已上市同類產品進行比對的試驗設計,臨床樣本量的估算建議采用單組目標值法進行計算,陰陽性符合率的臨床可接受標準(P0)建議不低于90%。當評價指標P接近100%時,該樣本量估算方法可能不適用,應考慮選擇更加適宜的方法進行樣本量估算和統計學分析,如精確概率法等。

公式中,n為樣本量;Z1-α/2、Z1-β為顯著性水平和把握度的標準正態分布的分數位,P0為評價指標的臨床可接受標準,PT為試驗體外診斷試劑評價指標預期值。
對于無已上市產品的新的試驗體外診斷試劑,靈敏度特異性的臨床可接受標準應參照相關文獻及前期研究結果設定合理的指標。
臨床試驗總體樣本量確定時應在上述陰、陽性樣本最低樣本量估算的基礎上,同時考慮其他可能造成受試者脫落的情況以及可能需要納入的干擾樣本、交叉反應樣本等情況適當增加入組樣本量。
6.統計分析
臨床試驗統計分析,應與臨床試驗目的一致,如臨床試驗目的為驗證申報產品與已上市產品的一致性,統計分析一般以2×2四格表的形式總結兩種分析方法的檢測結果,并據此計算陽性符合率、陰性符合率、總符合率、Kappa值等指標及其95%置信區間。
對于采取與臨床參考標準比較的臨床試驗,考慮到對不同樣本類型以及不同人群的檢測結果可能存在一定差異,故建議根據產品特點,對不同樣本類型及不同人群分別進行統計分析,以對考核試劑的臨床性能進行綜合分析。
7.倫理學要求
臨床試驗必須符合赫爾辛基宣言的倫理學準則,必須獲得臨床試驗機構倫理委員會的同意。研究者應充分考慮臨床試驗用樣本的獲得和試驗結果對受試者的風險性,應提交倫理委員會的審查意見。
8.質量控制
臨床試驗開始前,建議進行臨床試驗的預試驗,以熟悉并掌握相關試驗方法的操作、儀器、技術性能等,最大限度控制試驗誤差。整個試驗過程都應處于有效的質量控制下,最大限度保證試驗數據的準確性及可重復性。
9.臨床試驗報告和小結撰寫
臨床試驗報告和小結的撰寫應參考《體外診斷試劑臨床試驗技術指導原則》的相關要求,應該對試驗的整體設計及各個關鍵點給予清晰、完整的闡述,應該對整個臨床試驗實施過程、結果分析、結論等進行條理分明的描述,并應包括必要的基礎數據和統計分析方法,最后得出臨床試驗結論。
(五)產品說明書和標簽樣稿
產品說明書是體外診斷試劑注冊申報最重要的文件之一。產品說明書的格式應符合《體外診斷試劑說明書編寫指導原則》的要求,進口體外診斷試劑的中文說明書除格式要求外,其內容應盡量保持與原文說明書的一致性,翻譯力求準確且符合中文表達習慣。產品說明書的所有內容均應與申請人提交的注冊申報資料中的相關研究結果保持一致,如某些內容引用自參考文獻,則應以規范格式對此內容進行標注,并單獨注明文獻的相關信息。
結合《體外診斷試劑說明書編寫指導原則》的要求,病原體特異性IgM抗體定性檢測試劑說明書編寫應重點關注以下內容。
1.【預期用途】應至少包括以下幾部分內容:
1.1試劑盒用于體外定性檢測人血清和/或血漿和/或靜脈全血樣本中xx的特異性IgM抗體。用于xx感染的輔助診斷。
1.2簡單介紹待測目標的特征,如特定病原體的生物學性狀、潛伏期、易感人群、感染后的臨床表現等臨床背景相關的信息介紹;適用于對哪些患者人群的檢測,如具有何種癥狀/體征的患者、相關的密切接觸者、地域要求或年齡限制(如有)等。
1.3病原體特異性IgM抗體的產生、持續時間、與特異性IgG、病原體核酸等其他檢測指標的關聯;
1.4與靶抗體檢測相關的其他臨床或實驗室診斷方法。
2.【主要組成成分】
2.1說明試劑盒包含組分的名稱、數量、比例或濃度等信息,陰性/陽性對照品可能含有人源組分,應提供其生物學來源。
2.2對檢測中使用的抗原及抗體的信息進行簡單介紹。
2.3試劑盒中不包含但對該項檢測必須的組分,企業應列出相關試劑/耗材的名稱、注冊證號/備案號(如有)、貨號及其他相關信息。
3.【儲存條件及有效期】
對試劑盒的效期穩定性、開封穩定性等信息做詳細介紹。
膠體金試紙條產品應對開封后未使用產品允許暴露于空氣中的溫度、濕度及期限等條件予以明確。
4.【樣本要求】 重點明確以下內容:
4.1樣本采集前對患者的要求:如采集時間、采集順序等,是否受臨床癥狀、用藥情況等因素的影響。
4.2樣本采集:說明采集方法及樣本類型,如有血漿樣本,應注明對抗凝劑的要求。
4.3樣本處理及保存:樣本處理方法、保存條件及期限(短期、長期)、運輸條件等。冷藏/冷凍樣本檢測前是否須恢復室溫,凍融次數。經熱處理樣本是否可用、對儲存樣本的添加劑要求等。
4.4如果檢測系統含有某種IgG抗體的去除技術(IgG吸附劑),如抗人IgG抗體等,則應包括IgG吸附劑使用相關的注意事項。例如:經IgG吸附劑處理的樣本不能用于 IgG類抗體的檢測;在檢測IgM類抗體的同時,檢測處理過的混合物中的IgG類抗體,以證實對IgG、類風濕因子(RF)等去除的有效性等。
5.【檢驗方法】 詳細說明試驗操作的各個步驟:
5.1試驗環境:溫、濕度條件,檢測試劑及樣本的復溫要求及相關注意事項。例如:凍存樣本在復融后應經過充分的混勻再行檢測。
5.2試劑配制方法、注意事項,試劑開封后使用方法及注意事項等。
5.3試驗條件:操作步驟、溫度、時間、儀器波長等以及試驗過程中的注意事項。不同型號產品,加樣方法如有差異,建議分別以圖示方式描述清楚。
6.【檢驗結果的解釋】
結果判斷或計算:詳細描述對檢測結果的判定或計算方法、對質控品(對照品)的檢測結果要求(試驗有效性的判斷)等。如果質控品和病人樣本的使用方法不同,生產商應注明必要的指導和解釋。建議在質控品(對照品)結果解釋環節注明以下字樣:“如果質控結果與預期不符,實驗室不應出具檢測報告?!?/p>
7.【檢驗方法局限性】
綜合產品的預期用途、臨床背景、檢測方法及適用范圍等信息,對可能出現的局限性進行相關說明,主要包括以下描述,請申請人選擇適用的條款在產品說明書中予以闡述。
7.1本產品檢測結果僅供臨床參考,不應作為臨床診治的唯一依據,對患者的臨床管理應結合其癥狀/體征、病史、其他實驗室檢查(尤其是病原學檢測)、治療反應及流行病學等信息綜合考慮。
7.2感染初期,病原體特異性IgM抗體未產生或滴度很低會導致陰性結果,如懷疑有病原體感染,應提示患者在7-14天內復查,抽取第二份樣本,并和第一份樣本在同條件下同時檢測,以確定是否有初次感染的血清轉化或病原體特異IgM或IgG抗體滴度明顯升高。
7.3高滴度病原體特異性IgG抗體會與特異性IgM抗體競爭抗原結合部位,會使檢測的敏感性降低,IgM結果可能會出現假性低值或陰性結果。尤其是懷疑先天性病原體感染的新生兒樣本,他們的血清中可能含有母親來源的高水平病原體特異的IgG抗體和胎兒產生的相對低水平的病原體特異IgM抗體,因此,對于該類樣本的陰性結果應慎重分析。
7.4由于臍帶血中可能含有源于母體的病原體特異性IgM抗體(胎盤滲漏),因此,最好在出生后5天內再對嬰兒的后續樣本進行檢測,以證實臍帶血樣本病原體特異性IgM抗體的陽性結果。建議將新生兒與母親的血清樣本平行進行測試,如果是胎兒的先天性感染,其IgM抗體水平(以及IgG抗體水平) 會持續存在或呈上升趨勢, 反之,如果抗體來源于母體,則在在平行試驗中嬰兒的抗體水平會逐漸下降或消失。
7.5由于孕婦的實驗室檢查不能可靠地鑒定胎兒患病的風險,故不建議采用本試劑對無癥狀的母體感染進行篩查,不得將本試劑的檢測結果單獨作為終止妊娠的依據。
7.6免疫功能受損或接受免疫抑制治療的患者,如人類免疫缺陷病毒(HIV)感染患者或器官移植后接受免疫抑制治療的患者,其血清學IgM抗體檢測的參考價值有限,可能會導致錯誤的醫學解釋。
7.7在近幾個月內接受過輸血或其他血液制品治療的人群,對其陽性檢測結果的分析應慎重。
7.8病原體特異性IgM抗體不僅出現于初次感染,當二次感染和復發感染時也可能出現。
7.9當疾病的流行程度降低時陽性預測值降低,對低危人群陽性結果的解釋應當謹慎。建議對申報試劑臨床研究中的病例人群特征進行說明,并對適用人群的性別、年齡、地域等特征進行明示。
8.【產品性能指標】 詳述以下性能指標:
8.1最低檢測限:說明試劑的最低檢測限,簡單介紹最低檢測限的確定方法。
8.2企業陽性/陰性參考品符合率。
8.3精密度:精密度參考品的組分、濃度及評價標準。
8.4分析特異性
8.4.1交叉反應:對易產生交叉反應的其他病原體的高水平IgM抗體、特異性IgG抗體等的驗證情況。
8.4.2干擾物質:樣本中常見干擾物質對檢測結果的影響,如溶血、高脂、黃疸等干擾因子研究(結果應量化表示,禁用輕度、嚴重等模糊表述),有關高濃度總IgM和IgG抗體、自身抗體、類風濕因子(RF)、嗜異型性抗體等的干擾驗證。
8.4.3藥物影響:較常見的用于病原體感染治療的外用或內服藥物對檢測結果的影響。
8.5鉤狀(HOOK)效應(如適用):對高濃度特異性IgM抗體的鉤狀效應驗證情況。
8.6對比試驗研究(如有):簡要介紹對比試劑(方法)的信息、所采用的統計學方法及統計分析結果。
8.7臨床性能。
9.【注意事項】應至少包括以下內容:
9.1有關試劑盒內人源組分(如有)生物安全性的警告。
9.2有關試驗操作、樣本保存及處理等其他注意事項。
[1]國家市場監督管理總局.《體外診斷試劑注冊與備案管理辦法》:國家市場監督管理總局令第48號[Z].
[2]國家藥品監督管理局.《關于公布體外診斷試劑注冊申報資料要求和批準證明文件格式的公告》:國家藥品監督管理局通告2021年第122號[Z].
[3]國家藥品監督管理局.體外診斷試劑臨床試驗技術指導原則:國家藥品監督管理局通告2021年第72號[Z].
[4]國家藥品監督管理局.體外診斷試劑說明書編寫指導原則:國家食品藥品監督管理總局通告2014年第17號[Z].
[5]CDRH FDA. Review Criteria for In Vitro Diagnostic Devices for Detection of IgM Antibodies to Viral Agents: USA, 1997[Z].
[6]National Committee for Clinical Laboratory Standards. Specifications for immunological testing for infectious diseases: proposed guideline[Z].
[7]彭文偉.《傳染病學》(第五版)[M].人民衛生出版社,2001.
[8]劉艷芳、張勇建、蘇明.《臨床病原體學檢驗》[M].軍事醫學科學出版社,2009.
[9]陳敬賢.《診斷病原體學》(第一版)[M].人民衛生出版社,2008.
[10]馮仁豐.《臨床檢驗質量管理技術基礎》[M].第二版,上??茖W技術文獻出版社,2007.
[11]國家藥典委員.《中華人民共和國藥典》[M].中國醫藥科技出版社,2020.
[12]李洪源,王志玉.《病原體學檢驗》(第一版)[M].人民衛生出版社,2006.
[13]Nathanson.N.《病原體致病與免疫》(第2版)[M].科學出版社,2008年.
[14]曹雪濤.《免疫學技術及其應用》(第一版)[M].科學出版社,2010年.

站點聲明
本網站所提供的信息僅供參考之用,并不代表本網贊同其觀點,也不代表本網對其真實性負責。圖片版權歸原作者所有,如有侵權請聯系我們,我們立刻刪除。如有關于作品內容、版權或其它問題請于作品發表后的30日內與本站聯系,本網將迅速給您回應并做相關處理。
鄭州思途醫療科技有限公司專注于醫療器械產品政策與法規規事務服務,提供產品注冊備案申報代理、臨床試驗、體系建立輔導、分類界定、申請創新辦理服務。
為深入貫徹落實中共中央辦公廳、國務院辦公廳印發的《關于深化審評審批制度改革鼓勵藥品醫療器械創新的意見》(廳字〔2017〕42號),按照國家藥品監督管理局《關于擴大醫療器械
為規范醫療器械注冊人跨區域委托生產的監督管理,推進長江三角洲區域醫療器械跨區域監管,根據《中共中央辦公廳國務院辦公廳關于深化審評審批制度改革鼓勵藥品醫療器械創新的意見》《
2024年10月19日,在第 75 屆世界醫學會全體大會上正式通過了《赫爾辛基宣言》的最新修訂版本;《赫爾辛基宣言》作為人類參與者的醫學研究倫理
附件:血液透析用水處理設備注冊審查指導原則(2024年修訂版)(2024年第19號).doc血液透析用水處理設備注冊審查指導原則(2024年修訂版)本指導原則旨在指導注冊申請人對血液透析用水處理設備注冊申報資料的準備及撰寫,同時也為技術審評部門提供參考。本指導原則是對血液透析用水處理設備的一般要求,注冊申請人依據產品的具體特性確定其中內容是否適用。若不適用,要具體闡述理由及相應的科學依據,并依據產
附件:醫療器械監督管理條例(2025年修訂版).doc醫療器械監督管理條例(2000年1月4日中華人民共和國國務院令第276號公布 2014年2月12日國務院第
國家藥監局藥審中心關于發布《抗腫瘤藥物臨床試驗中SUSAR分析與處理技術指導原則》的通告(2024年第42號) 發布日期:20241010
國家藥監局器審中心關于發布影像型超聲診斷設備(第三類)注冊審查指導原則(2023年修訂版)的通告(2024年第29號)發布時間:2024-10-14為進一步規范
附件:醫用透明質酸鈉創面敷料注冊審查指導原則(2024年第21號).doc醫用透明質酸鈉創面敷料注冊審查指導原則本指導原則旨在指導注冊申請人準備及撰寫醫用透明質酸鈉創面敷料注冊申報資料,同時也為技術審評部門審查注冊申報資料提供參考。本指導原則是對醫用透明質酸鈉創面敷料產品的一般要求,注冊申請人應依據產品的具體特性確定其中內容是否適用,若不適用,需具體闡述理由及相應的科學依據,并依據產品的具體特性對
附件:一次性使用引流管產品注冊審查指導原則(2024年修訂版)(2024年第21號).doc一次性使用引流管產品注冊審查指導原則(2024年修訂)本指導原則旨在幫助和指導注冊申請人對一次性使用引流管注冊申報資料的準備及撰寫,同時也為醫療器械技術審評部門對注冊申報資料的技術審評提供參考。本指導原則是對一次性使用引流管注冊申報資料的一般要求,注冊申請人應依據具體產品的特性對注冊申報資料的內容進行充分說
國家藥品監督管理局食品藥品審核查驗中心關于發布《藥物臨床試驗機構年度工作總結報告填報指南》的通告(2024年第1號)發布時間:2024-01-25為加強藥物臨床試驗機構監督管理,規范年度工作總結報告的撰寫工作,國家藥品監督管理局食品藥品審核查驗中心組織制定了《藥物臨床試驗機構年度工作總結報告填報指南》(見附件),經國家藥品監督管理局同意,現予發布。特此通告。附件:藥物臨床試驗機構年度工作總結報告填
行業資訊
知識分享
八年
醫療器械服務經驗
聯系思途,免費獲得專屬《落地解決方案》及報價
咨詢相關問題或咨詢報價,可以直接與我們聯系
思途CRO——醫療器械注冊臨床第三方平臺
