赫爾辛基宣言(2024版)
2024年10月19日,在第 75 屆世界醫學會全體大會上正式通過了《赫爾辛基宣言》的最新修訂版本;《赫爾辛基宣言》作為人類參與者的醫學研究倫理
來源:醫療器械注冊代辦 發布日期:2024-01-03 閱讀量:次
附件:丙型肝炎病毒抗體檢測試劑注冊審查指導原則(2024年第1號).doc

本指導原則旨在指導注冊申請人對丙型肝炎病毒抗體檢測試劑注冊申報資料的準備及撰寫,同時也為技術審評部門提供參考。
本指導原則是對丙型肝炎病毒抗體檢測試劑的一般要求,注冊申請人應依據產品的具體特性確定其中內容是否適用。若不適用,需具體闡述理由及相應的科學依據,并依據產品的具體特性對注冊申報資料的內容進行充實和細化。
本指導原則是對注冊申請人和審查人員的指導性文件,但不包括注冊審批所涉及的行政事項,亦不作為法規強制執行,如果有能夠滿足相關法規要求的其他方法,也可以采用,但需要提供詳細的研究資料和驗證資料,相關人員應在遵循相關法規的前提下使用本指導原則。
本指導原則是在現行法規和標準體系以及當前認知水平下制定的,隨著法規和標準的不斷完善,以及科學技術的不斷發展,本指導原則相關內容也將適時進行調整。
本指導原則適用于以抗原抗體反應為原理,包括免疫層析法、酶聯免疫法或化學發光法等,體外定性檢測人體樣本(如血清、血漿、靜脈全血)中的丙型肝炎病毒抗體的試劑。結合臨床和其他實驗室指標,可用于丙型肝炎病毒感染的輔助診斷。本指導原則適用于注冊申請和變更注冊申請的情形。本指導原則僅針對注冊申報資料中的部分內容進行撰寫,其他未盡事宜應當符合《關于公布體外診斷試劑注冊申報資料要求和批準證明文件格式的公告》等相關法規要求。
(一)監管信息
1.產品名稱及分類編碼
產品名稱應符合《體外診斷試劑注冊與備案管理辦法》及相關法規的要求,如丙型肝炎病毒抗體檢測試劑盒(化學發光法)。根據《體外診斷試劑分類規則》,該產品按照第三類體外診斷試劑管理,分類編碼為6840。
2.其他信息還包括產品列表、關聯文件、申報前與監管機構的聯系情況和溝通記錄以及符合性聲明等文件。
(二)綜述資料
綜述資料主要包括產品描述、預期用途、主要研究結果的總結評價、有關生物安全性的說明、研發歷程以及同類產品上市情況介紹等內容。產品描述中應說明產品所采用的技術原理和特點。同類產品上市情況介紹部分應著重從方法學、檢測原理、特異性抗原等主要組成成分、樣本類型等方面寫明擬申報產品與目前市場上已獲批準的同類產品之間的主要區別。
(三)非臨床資料
1.產品技術要求及檢驗報告
注冊申請人應當在原材料質量和生產工藝穩定的前提下,根據產品研制、前期評價等結果,依據國家標準、行業標準及有關文獻資料,結合產品特性按照《醫療器械產品技術要求編寫指導原則》的要求編寫。該類產品作為第三類體外診斷試劑,應當以附錄形式明確主要原材料以及生產工藝要求。
如有適用的國家標準、行業標準,產品技術要求的相關要求應不低于相應的要求。
如該項目已有國家標準品,技術要求中應體現國家標準品的相關要求,并使用國家標準品對三批產品進行檢驗。
2.分析性能研究
注冊申請人應提交在符合質量管理體系的生產環境下生產的試劑進行的所有性能評估資料,包括具體研究方法、實驗方案、實驗數據、統計分析等詳細資料。有關分析性能評估的背景信息也應在申報資料中進行描述,包括實驗地點、采用的試劑名稱、規格和批號、儀器名稱和型號、樣本類型和來源等。分析性能評估的研究方法可以參考國際或國內有關體外診斷試劑性能評估的指導原則進行,建議著重對以下分析性能進行研究。
2.1樣本穩定性
樣本穩定性一般包括樣本各種實際運輸及儲存(常溫、冷藏和冷凍)條件下的保存期限驗證,以確認樣本的保存條件及保存時間。可以在合理的溫度范圍內,每間隔一定的時間段即對儲存樣本進行驗證,從而確認不同類型樣本的穩定性。可冷凍保存的樣本還應對凍融次數進行合理驗證。
2.2適用的樣本類型
如產品同時適用于血清和血漿,可采用同源比對方式驗證樣本的可比性。如適用于靜脈全血樣本,可采用同源比對方式驗證樣本的可比性,并至少進行最低檢出限和重復性的研究。
2.3企業參考品檢驗
采用至少三批產品對企業參考品進行檢驗并提供詳細的實驗數據。
2.4精密度
應對精密度指標,如標準差或變異系數等的評價標準做出合理要求。應考慮運行、時間、操作者、儀器、試劑批次和地點等影響精密度的條件,設計合理的精密度試驗方案進行評價。
設定合理的精密度評價周期,例如:為期至少20天的檢測。至少采用3個水平的真實樣本進行精密度評價。具體要求如下:
2.4.1陰性樣本:待測物濃度低于最低檢測限或為零濃度,陰性符合率應為100%(n≥20)。
2.4.2臨界陽性樣本:待測物濃度略高于試劑的最低檢測限,陽性檢出率應大于95%(n≥20)。
2.4.3中/強陽性樣本:待測物濃度呈中度到強陽性,陽性檢出率為100%,變異系數(CV)應在合理的可接受范圍內(n≥20),或條帶結果顯色均一。
2.5包容性
應選擇不同來源的多份臨床確診為丙型肝炎病毒抗體陽性的患者樣本或商業化血清盤進行驗證,建議至少覆蓋1a、1b、2a、3a、3b、4型、5型、6型等基因型,驗證內容應包括重復性、檢出限等,提供樣本及濃度的確認方法、試驗數據。
2.6檢出限
建議采用已明確丙型肝炎病毒抗體滴度的臨床陽性樣本,采用陰性樣本進行系列稀釋,進行最低檢測限的建立和驗證。應采用合理方法確認抗體類型和滴度,提供詳細的確認方法及結果。
2.6.1最低檢測限的確定
建議選取不同來源的至少3份真實樣本,系列稀釋獲得多個濃度梯度,每個濃度重復檢測不少于3次,以100%可檢出的最低濃度水平作為預設檢測限。在此濃度附近制備若干濃度梯度樣品,每個濃度至少重復檢測20次,將具有95%及以上陽性檢出率的最低濃度作為最低檢測限。
2.6.2最低檢測限的驗證
選擇與確定樣本不同的3份真實樣本,采用陰性樣本稀釋到最低檢測限濃度水平,重復檢測多次進行驗證,應達到95%及以上陽性檢出率。
應同時使用經驗證的血清盤,進行檢出限的驗證研究。
2.7分析特異性
2.7.1交叉反應
應對丙型肝炎病毒的近緣微生物抗體,易引起相同或相似的臨床癥狀、及易合并感染的微生物抗體進行交叉反應驗證。如人類EB病毒(EBV)、巨細胞病毒(CMV)、人類免疫缺陷病毒(HIV)、甲型肝炎病毒(HAV)、乙型肝炎病毒(表面抗原/抗體、e抗原/抗體、核心抗體)、戊型肝炎病毒(HEV)、輪狀病毒(RV)、單純皰疹病毒(HSV-Ⅰ、HSV-Ⅱ)等。
交叉反應用臨床樣本中相關病原體抗體滴度水平應較高,并且抗體類型應與被測抗體類型一致,對于檢測丙型肝炎病毒總抗體的試劑來說交叉抗體類型應盡量覆蓋IgM、IgG。應提供所有用于交叉反應驗證的樣本來源、陰陽性和滴度確認等信息。
2.7.2干擾試驗
應根據所采集樣本類型,選擇適用的干擾物質進行研究。建議在每種干擾物質的潛在最大濃度(“最差條件”)下,采用待測抗體為弱陽性和陰性水平的多例樣本進行試驗,應至少包括下列可能的干擾物質。
2.7.2.1內源性干擾物質:血紅蛋白、膽紅素、脂類、類風濕因子、其他自身免疫性抗體(如抗ANA等)、異嗜性抗體(如HAMA)、總IgG、總IgM。
2.7.2.2常見治療性藥物:不同種類的抗菌藥物、干擾素、常見的抗病毒藥物、直接抗病毒藥物(DAA)、癥狀相關其他經驗性藥物等。
2.8鉤狀(HOOK)效應
應采用多份高滴度樣本進行梯度稀釋后由低濃度至高濃度分別檢測,每個梯度的稀釋液重復3~5次,對鉤狀效應進行研究。
2.9其他需注意問題
對于使用儀器進行結果判讀的產品,應提供產品說明書【適用機型】項中所有型號儀器的性能評估資料。
2.10反應體系
反應體系研究資料包括樣本的制備方式(采集和處理)、樣本要求、樣本用量、試劑用量、反應條件、質控方法、結果判讀方式等。
反應條件確定:注冊申請人應考慮反應時間、判讀時間、反應溫度、洗滌液體積和洗滌次數(如涉及)等條件對產品性能的影響,通過實驗確定上述條件的最佳組合。
反應體系中樣本加樣方式及加樣量確定:通過實驗確定最佳的加樣方式及加樣量。如樣本需采取稀釋或其他必要的方法進行處理后方可用于最終檢測,注冊申請人還應對樣本稀釋液及其用量、其他必要的處理方法等進行研究。
3.穩定性研究
主要包括實時穩定性(有效期)、開瓶(開封)穩定性、凍融穩定性(如涉及)、機載穩定性(如涉及)、運輸穩定性等研究。如果產品配套校準品,還應對校準頻率進行研究。可根據實際需要選擇合理的穩定性研究方案。穩定性研究資料應包括研究方法的確定依據、具體的實施方案、詳細的研究數據以及結論。對于實時穩定性研究,應提供至少三批樣品在實際儲存條件下保存至成品有效期后的研究資料。
4.陽性判斷值研究
提交對申報試劑陰性/陽性結果判斷的陽性判斷值(cut-off)確定資料,包括具體的試驗方案、人群及樣本選擇、評價標準、統計學分析和研究數據等。建立陽性判斷值的樣本選擇應考慮不同的地理區域、不同的感染階段和生理狀態等因素的影響,納入陰性、陽性及臨界值附近的樣本。如檢測結果為數值形式,建議采用受試者工作特征曲線(receiver operating characteristic curve,ROC)的分析方式來確定合理的陽性判斷值;如試驗結果存在灰區(equivocal zone),應提供灰區建立的依據。
如產品適用多個樣本類型,應明確不同的樣本類型是否存在差異。如有差異,應分別進行陽性判斷值的確定。
5.其他資料
5.1主要原材料研究資料
此類產品的主要原材料一般包括抗原、抗體、對照品/質控品/校準品和企業參考品等。應提供主要原材料的選擇與來源、制備過程、質量控制標準等相關研究資料。如主要原材料為自制,應提供其詳細制備過程;如主要原材料源于外購,應提供資料包括:選擇該原材料的依據及對比篩選試驗資料、質量標準、出廠檢驗報告,以及該原材料到貨后的質量檢驗資料,生產商應固定,不得隨意更換。
5.1.1抗原
應注重抗原表位的選擇,原材料研究資料中應將此方面的考慮進行詳述。詳細描述抗原的名稱,天然/重組表達信息及選擇該抗原的依據。提交抗原來源、生產商選擇、制備、純化、鑒定、質量標準(外觀、蛋白濃度、純度、分子量、功能性試驗等)及檢驗等詳細試驗資料。
5.1.2抗體
詳述所有抗體的選擇過程,提交抗體生物學來源、免疫原及質量標準(外觀、蛋白濃度、純度、分子量、效價、功能性試驗等)等詳細試驗資料。
5.1.3質控線/對照品/質控品
免疫層析方法學的產品一般應設置質控線,詳述質控線相關原材料(例如抗體)的來源、選擇依據和質量標準。
對照品/質控品應至少包含陰性和陽性兩個水平。陽性對照品/質控品可選擇經合理稀釋的臨床陽性樣本或人源化抗體,陰性對照品/質控品可選擇臨床陰性樣本或陰性基質等。提交相關原料的來源、選擇和陰陽性確認等相關研究資料。應對對照品/質控品的檢測結果做出明確的范圍要求。
5.1.4其他主要原材料
除上述主要原材料外,產品中包含的其他主要原材料,如膠體金、辣根過氧化物酶、吖啶酯、硝酸纖維素膜、磁微粒等,均應進行驗證,并提交相關資料。明確主要原材料的供應商和質量控制標準。免疫層析方法學的產品如適用于靜脈全血,應介紹血細胞去除方式及相關原材料,并驗證去除效果。
5.1.5企業參考品
應根據產品的實際情況,科學、合理的設定企業參考品。提交企業參考品的原料來源、選擇、制備、陰陽性及濃度/滴度確認方法或試劑等相關驗證資料。企業參考品的基質應與待測樣本相同。企業參考品的設置應至少包括:陽性參考品、陰性參考品、檢測限參考品和重復性參考品。其中陽性參考品重在評估產品的包容性,應選擇不同來源(包含常見型別)的臨床樣本,并設置不同滴度水平。陰性參考品應可評價產品的特異性,應包含可能的干擾和交叉樣本。檢測限參考品可設置臨床陽性樣本的系列稀釋樣本,其中應包含最低檢測限水平,并包含常見型別。重復性參考品可設置至少兩個水平的臨床陽性樣本,包括最低檢測限附近濃度。
5.2生產工藝研究資料
5.2.1產品基本反應原理介紹。
5.2.2主要生產工藝介紹,可用流程圖方式表示,并簡要說明主要生產工藝的確定依據。
5.2.3包被/標記工藝研究,應考慮如包被/標記液量、濃度、時間、pH值、標記比率等指標對產品性能的影響,通過實驗確定上述指標的最佳組合。
5.2.4顯色系統、酶作用底物等的介紹以及最適條件研究。
(四)臨床試驗
臨床試驗的開展、方案的制定以及報告的撰寫等均應符合相關法規及《體外診斷試劑臨床試驗技術指導原則》的要求,如相關法規、文件有更新,臨床試驗應符合更新后的要求。
1.研究方法
臨床試驗可采用試驗用體外診斷試劑與已上市同類產品(對比試劑)進行比較研究,評價兩種方法檢測結果的一致性,評價指標通常包括陽性符合率、陰性符合率等。對比試劑在預期用途、適用人群、樣本類型、檢測方法學、檢測性能等方面應與試驗用體外診斷試劑具有較好的可比性。
2.受試者選擇及樣本收集
2.1受試者選擇
臨床試驗方案中應根據試驗用體外診斷試劑的預期用途、目標人群和檢測要求等合理確定臨床試驗受試者的選擇要求和樣本收集方法,包括:受試者入組/排除標準、樣本收集的前瞻性和回顧性設計等。
根據產品臨床驗證的目的,入組人群應為疑似丙型肝炎病毒感染的人群,應包括丙型肝炎病毒感染不同疾病進展期的患者,如急性及慢性肝炎、肝硬化、肝癌等。包含不同年齡段、不同性別人群,以及一定數量的獲得性免疫缺陷患者和孕婦。
2.2樣本類型
丙型肝炎病毒抗體檢測試劑適用的樣本類型一般包括血清、血漿、靜脈全血。如申報產品所適用的樣本類型同時包含血清、血漿,且臨床前研究證實檢測性能沒有差異(如血清、血漿),則臨床試驗中可匯總統計。臨床試驗中亦可進行兩種樣本類型的同源比對。
針對靜脈全血樣本類型,其與血清/血漿樣本類型差異較大,建議進行同源比對。
3.臨床試驗機構數量和要求
應選擇不少于3家(含3家)已備案的臨床試驗機構,按照相關法規、指導原則的要求開展臨床試驗。申辦者應根據產品特點及其預期用途,綜合不同地區丙型肝炎病毒流行情況等因素選擇具有代表性的機構開展臨床試驗,包括受試人群的代表性等。
4.臨床評價指標
該類產品臨床評價指標主要包括試驗用體外診斷試劑與已上市同類產品相比的陽性符合率、陰性符合率等。如試驗用體外診斷試劑與臨床參考方法進行對比研究,其臨床評價標準應包括臨床靈敏度、臨床特異度等。
5.臨床試驗樣本量估算
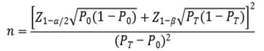
臨床試驗樣本量應滿足統計學要求,可采用適當的統計學方法進行估算,同時應滿足法規最低樣本量的要求。臨床試驗采用申報產品與已上市同類產品進行比對的試驗設計,臨床樣本量的估算建議采用單組目標值法進行計算,陰陽性符合率的臨床可接受標準(P0)建議不低于90%。當評價指標P接近100%時,該樣本量估算方法可能不適用,應考慮選擇更加適宜的方法進行樣本量估算和統計學分析,如精確概率法等。

公式中,n為樣本量;Z1-α/2、Z1-β為顯著性水平和把握度的標準正態分布的分數位,P0為評價指標的臨床可接受標準,PT為試驗體外診斷試劑評價指標預期值。
臨床試驗總體樣本量確定時應在上述陰、陽性樣本最低樣本量估算的基礎上,同時考慮其他可能造成受試者脫落的情況以及可能需要納入的干擾樣本、交叉反應樣本等情況適當增加入組樣本量。
6.統計分析
臨床試驗統計分析,應與臨床試驗目的一致,如臨床試驗目的為驗證申報產品與已上市產品的一致性,統計分析一般以2×2表的形式總結兩種分析方法的檢測結果,并據此計算陽性符合率、陰性符合率、總符合率、Kappa值等指標及其95%置信區間。
7.倫理學要求
臨床試驗必須符合赫爾辛基宣言的倫理學準則,必須獲得臨床試驗機構倫理委員會的同意。研究者應充分考慮臨床試驗用樣本的獲得和試驗結果對受試者的風險性,應提交倫理委員會的審查意見。
8.質量控制
臨床試驗開始前,建議進行臨床試驗的預試驗,以熟悉并掌握相關試驗方法的操作、儀器、技術性能等,最大限度控制試驗誤差。整個試驗過程都應處于有效的質量控制下,最大限度保證試驗數據的準確性及可重復性。
9.臨床試驗報告撰寫
臨床試驗報告應該對試驗的整體設計及各個關鍵點給予清晰、完整的闡述,應該對整個臨床試驗實施過程、結果分析、結論等進行條理分明的描述,并應包括必要的基礎數據和統計分析方法,最后得出臨床試驗結論。臨床試驗報告的撰寫參考《體外診斷試劑臨床試驗技術指導原則》的相關要求。
(五)產品說明書和標簽樣稿
產品說明書是體外診斷試劑注冊申報最重要的文件之一。產品說明書的格式應符合《體外診斷試劑說明書編寫指導原則》的要求,進口體外診斷試劑的中文說明書除格式要求外,其內容應盡量保持與原文說明書的一致性,翻譯力求準確且符合中文表達習慣。產品說明書中相關技術內容均應與注冊申請人提交的注冊申報資料中的相關研究結果保持一致,如某些內容引用自參考文獻,則應以規范格式對此內容進行標注,并單獨列明文獻的相關信息。
結合《體外診斷試劑說明書編寫指導原則》的要求,丙型肝炎病毒抗體檢測試劑說明書編寫應重點關注以下內容。
1.【預期用途】
1.1該產品用于體外定性檢測人××(如血清、血漿、靜脈全血等)樣本中的丙型肝炎病毒抗體。
1.2結合臨床和其他實驗室指標,用于丙型肝炎病毒感染的輔助診斷。
1.3臨床背景描述:簡單介紹病原體的生物學特征、流行病學、潛伏期、易感人群、感染后的臨床表現及相關疾病等。簡要介紹現有的丙型肝炎病毒臨床或實驗室診斷方法。
2.【樣本要求】重點明確以下內容:
2.1樣本采集:明確采集時間、采集順序、采集量等,是否受臨床癥狀、用藥情況等因素的影響。說明采集方法及樣本類型,對于血漿等樣本,應注明對抗凝劑的要求。
2.2干擾物的影響:明確常見干擾物對實驗結果是否產生影響,明確可接受的最大干擾物濃度。
2.3樣本處理及保存:樣本處理方法、保存條件(如冷藏、冷凍等)及不同保存條件下的保存時限和運輸條件等。冷藏、冷凍樣本檢測前是否需要恢復室溫,冷凍樣本的凍融次數限制等。
3.【檢驗方法】
詳細說明試驗操作的各個步驟:
3.1實驗環境:實驗室的溫度、濕度要求,檢測試劑及樣本的復溫要求等。
3.2試劑配制方法,試劑開封后使用方法等。
3.3高濃度樣本稀釋的方法。
3.4試驗條件:操作步驟、溫度、時間、儀器波長等。
3.5質量控制:操作步驟,質控結果的要求(試驗有效性的判斷),質控結果不符合要求的處理方式。
3.6對于免疫層析法檢測試劑可以圖示形式顯示正確的檢驗操作方法、程序等。特別注意應強調操作溫度及濕度條件、讀取結果的時間。
3.7特別說明檢驗操作過程中的注意事項。
4.【陽性判斷值】說明陽性判斷值,并簡要說明陽性判斷值確定的試驗方法。如陽性判斷值需進行計算確定,詳細描述具體計算方法。
5.【檢驗結果的解釋】
結合質控線/對照品/質控品以及樣本的檢測結果,對所有可能出現的結果組合及相應的解釋進行詳述。對于免疫層析法檢測試劑可采用圖示形式顯示檢測結果。檢驗結果的解釋應以陽性判斷值的研究結論為依據。如有適用的臨床診療指南,則應在此項下引用,相應檢驗結果的解釋應符合相關指南的要求。如有灰區判定,詳細說明灰區樣本的處理方法。
6.【檢驗方法局限性】
綜合產品的預期用途、臨床背景、檢測方法及適用范圍等信息,對可能出現的局限性進行相關說明,建議包括以下內容:
6.1本試劑盒的檢測結果不得作為臨床診治的唯一依據,對患者的臨床管理應結合其癥狀/體征、病史、其他實驗室檢查及治療反應等情況綜合考慮。
6.2不合理的樣本采集、轉運、處理及不當的實驗操作和實驗環境均有可能導致假陰性或假陽性結果。
6.3在近幾個月內接受過輸血或其他血液制品治療的人群,對其陽性檢測結果的分析應慎重。
6.4免疫功能受損人群,其血清學抗體檢測的參考價值有限,可能會導致錯誤的醫學解釋。
7.【產品性能指標】
包括企業參考品符合率、最低檢測限、包容性、精密度、特異性(交叉反應和干擾試驗)、鉤狀(HOOK)效應等。介紹所用樣本背景信息、數量、濃度,評價方法及檢測結果。
8.【注意事項】
應至少包括以下內容:
8.1有關試劑盒內人源組分(如有)生物安全性的警告。
8.2有關實驗操作、樣本保存及處理等其他注意事項。
[1]國家市場監督管理總局.體外診斷試劑注冊與備案管理辦法:國家市場監督管理總局令第48號[Z].
[2]國家藥品監督管理局.體外診斷試劑臨床試驗技術指導原則:國家藥品監督管理局2021年第72號公告[Z].
[3]國家食品藥品監督管理總局.體外診斷試劑說明書編寫指導原則.國家食品藥品監督管理總局公告2014年第17號[Z].
[4]國家藥品監督管理局.關于公布體外診斷試劑注冊申報資料要求和批準證明文件格式的公告:國家藥品監督管理局公告2021年第122號[Z].
[5]中華醫學會肝病學分會,中華醫學會感染病學分會《丙型肝炎防治指南》[J].肝臟雜志,2019,24(12).
[6]WS213-2018丙型肝炎診斷[S]

站點聲明
本網站所提供的信息僅供參考之用,并不代表本網贊同其觀點,也不代表本網對其真實性負責。圖片版權歸原作者所有,如有侵權請聯系我們,我們立刻刪除。如有關于作品內容、版權或其它問題請于作品發表后的30日內與本站聯系,本網將迅速給您回應并做相關處理。
鄭州思途醫療科技有限公司專注于醫療器械產品政策與法規規事務服務,提供產品注冊備案申報代理、臨床試驗、體系建立輔導、分類界定、申請創新辦理服務。
2024年10月19日,在第 75 屆世界醫學會全體大會上正式通過了《赫爾辛基宣言》的最新修訂版本;《赫爾辛基宣言》作為人類參與者的醫學研究倫理
附件:血液透析用水處理設備注冊審查指導原則(2024年修訂版)(2024年第19號).doc血液透析用水處理設備注冊審查指導原則(2024年修訂版)本指導原則旨在指導注冊申請人對血液透析用水處理設備注冊申報資料的準備及撰寫,同時也為技術審評部門提供參考。本指導原則是對血液透析用水處理設備的一般要求,注冊申請人依據產品的具體特性確定其中內容是否適用。若不適用,要具體闡述理由及相應的科學依據,并依據產
本指導原則旨在幫助和指導注冊申請人對一次性使用腹部穿刺器注冊申報資料進行準備,以滿足技術審評的基本要求。同時有助于審評機構對該類產品進行科學規范的審評,提高審評工
附件:重組膠原蛋白創面敷料注冊審查指導原則(2023年第16號).doc重組膠原蛋白創面敷料注冊審查指導原則本指導原則旨在指導注冊申請人準備及撰寫重組膠原蛋白創
國家藥監局關于發布免于臨床試驗的體外診斷試劑臨床評價技術指導原則的通告(2021年第74號)發布時間:2021-09-24為指導體外診斷試劑的臨床評價工作,根據
國家藥監局藥審中心關于發布《抗腫瘤藥物臨床試驗中SUSAR分析與處理技術指導原則》的通告(2024年第42號) 發布日期:20241010
國家藥監局器審中心關于發布影像型超聲診斷設備(第三類)注冊審查指導原則(2023年修訂版)的通告(2024年第29號)發布時間:2024-10-14為進一步規范
附件:一次性使用醫用沖洗器產品注冊審查指導原則(2022年第41號).doc一次性使用醫用沖洗器產品注冊審查指導原則本指導原則旨在指導注冊申請人對一次性使用醫用
附件:醫用透明質酸鈉創面敷料注冊審查指導原則(2024年第21號).doc醫用透明質酸鈉創面敷料注冊審查指導原則本指導原則旨在指導注冊申請人準備及撰寫醫用透明質酸鈉創面敷料注冊申報資料,同時也為技術審評部門審查注冊申報資料提供參考。本指導原則是對醫用透明質酸鈉創面敷料產品的一般要求,注冊申請人應依據產品的具體特性確定其中內容是否適用,若不適用,需具體闡述理由及相應的科學依據,并依據產品的具體特性對
為提高醫療器械技術審評的規范性和科學性,指導醫療器械注冊人/備案人編寫產品技術要求,根據《醫療器械監督管理條例》及《醫療器械注冊與備案管理辦法》《體外診斷試劑注冊與
行業資訊
知識分享
八年
醫療器械服務經驗
聯系思途,免費獲得專屬《落地解決方案》及報價
咨詢相關問題或咨詢報價,可以直接與我們聯系
思途CRO——醫療器械注冊臨床第三方平臺
