長江三角洲區域醫療器械注冊人制度試點工作實施方案(試行)(滬藥監械管〔2019〕112號)
為深入貫徹落實中共中央辦公廳、國務院辦公廳印發的《關于深化審評審批制度改革鼓勵藥品醫療器械創新的意見》(廳字〔2017〕42號),按照國家藥品監督管理局《關于擴大醫療器械
來源:醫療器械注冊代辦 發布日期:2017-01-16 閱讀量:次
附件:體外除顫產品注冊技術審查指導原則(2017年第6號).doc
本指導原則旨在指導注冊申請人對體外除顫產品(簡稱“產品”)注冊申報資料的準備及撰寫,同時也為技術審評部門審評注冊申報資料提供參考。
本指導原則是對產品的一般性要求,注冊申請人應依據其具體特性確定其中內容是否適用,若不適用,需具體闡述理由及相應的科學依據,并依據其具體特性對注冊申報資料的內容進行充實和細化。
本指導原則是供注冊申請人和審查人員使用的指導文件,不涉及注冊審批等行政事項,亦不作為法規強制執行,如有能夠滿足法規要求的其他方法,也可以采用,但應提供詳細的研究資料和驗證資料,應在遵循相關法規的前提下使用本指導原則。
本指導原則是在現行法規、標準體系及當前認知水平下制定的,隨著法規、標準體系的不斷完善和科學技術的不斷發展,本指導原則相關內容也將適時進行調整。
本指導原則適用于體外除顫產品,可進行體外除顫治療(簡稱“除顫”)。
按照《醫療器械分類目錄》,體外除顫產品的管理類別為Ⅲ類,分類編碼為6821,是用于心臟的治療、急救裝置。
本指導原則所述的產品包含進行除顫的各種設備或系統。產品既可以是獨立設備,也可集成在多參數模塊的設備或系統中,也可以是穿戴式的;產品可以全部由執業醫生控制和操作來進行手動除顫,或者只需急救者按確認除顫鍵來進行半自動除顫,或者無須任何人為干預來進行自動除顫。
本指導原則對于產品的預期使用環境不做限制,例如,手動體外除顫器和頻繁使用的半自動體外除顫器可在醫療機構中和院前的急救環境中使用;非頻繁使用的半自動體外除顫器和自動體外除顫器可在機場、生活社區、學校、辦公場所等公共區域使用;穿戴式的自動體外除顫器在患者的日常生活中使用。
本指導原則不適用于植入式除顫產品。
依據《醫療器械注冊申報資料要求和批準證明文件格式》(國家食品藥品監督管理總局2014年第43號公告)附件8,注冊申請人應提供《醫療器械安全有效基本要求清單》,著重明確下述項目的適用性,說明產品符合適用要求所采用的方法,提供證明其符合性的文件:
1.B5項環境特征;
2.B6項有診斷或測量功能的醫療器械產品;
3.B8項含軟件的醫療器械和獨立醫療器械軟件;
4.B9項有源醫療器械和與其連接的器械;
5.B11項提供患者能量或物質而產生風險的防護;
6.B12項對非專業用戶使用風險的防護。
對于包含在產品注冊申報資料中的文件,應當說明其在申報資料中的具體位置;對于未包含在產品注冊申報資料中的文件,應當注明該證據文件名稱及其在質量管理體系文件中的編號備查。
(一)概述
按照功能和預期用途,體外除顫分為手動體外除顫、半自動體外除顫、自動體外除顫。手動體外除顫分為胸外除顫和胸內除顫。
產品通用名稱由核心詞和特征詞組成。注冊申請人應按照產品的預期用途來確定產品名稱的核心詞,按照產品的使用部位和技術特點來確定產品名稱的特征詞,例如,手動體外除顫器、半自動體外除顫器、自動體外除顫器、體外除顫監護儀、體外除顫監護系統等。
(二)產品描述
注冊申請人應提供體外除顫產品的下述描述信息:
1.除顫的臨床機理和需求、工作原理
注冊申請人應描述人體在發生心律失常時的臨床表現,應明確手動體外除顫、半自動體外除顫、自動體外除顫的分析和治療機理、臨床需求以及體外除顫產品的工作原理。
2.結構組成
注冊申請人應明確產品組成的信息,包含但不限于:主機、部件和附件的名稱、型號和法定制造商名稱。這些信息同時應以注冊申請表附頁形式提供,例如,表1。

基于上述產品組成信息,制造商應提供各部分的示意圖或者彩色圖片,描述與產品配合使用的附件、主要功能及其組成部件(關鍵組件和軟件)的功能,以及區別于其他同類產品的特征等內容。
(三)型號規格
對于存在多種型號的體外除顫產品,應當明確各型號的區別。應當采用對比表及帶有說明性文字的圖片、圖表,對于各種型號的結構、組成、配置和除顫治療模式加以描述。
注冊申請人應明確主機、部件和附件的規格,如物理規格、顯示規格、有線/無線通信協議、電源/電池規格、打印規格等。
1.物理規格:物理尺寸、重量,等等。
2.顯示規格:顯示屏類型、尺寸。
3.有線/無線通信協議
a)硬件接口:接口的名稱、機械和電氣協議,例如,RS-232或RS-485串口,并口,USB 1.0、USB 2.0、USB 3.0,IEEE802.3協議的標準以太網口、快速以太網口和10G以太網口,SD/CF卡插口,等等。
b)無線接口:接口的名稱及協議,例如,紅外接口,802.11a/b/g/n協議的WIFI網絡,IEEE 802.15.1協議的藍牙(版本1.0—4.2),等等。
c)打印規格:打印機類型,例如,熱敏型等;打印分辨率:垂直分辨率、水平分辨率等;紙張寬度、打印寬度;打印波形數量等;打印速度,例如,12.5、25mm/s。
4.附件的規格
a)附件的結構示意圖/彩色圖片、附件的各部分原材料。
b)附件的物理尺寸和面積、導線的物理尺寸等。
c)對于滅菌包裝附件,應明確滅菌方式和滅菌有效期。
(四)包裝說明
注冊申請人應提供體外除顫產品包裝的信息及彩色圖片,以及與該產品一起銷售的配件包裝情況及彩色圖片。
(五)適用范圍和禁忌癥
體外除顫產品是生命支持設備或系統,預期用于患者急救,例如:
1.手動體外除顫可終止心室顫動或室性心動過速癥狀,預期治療新生兒、小兒和成人患者,應由經急救培訓且接受設備操作培訓的醫護人員使用,可用于醫院、臨床機構、救護車、急救現場或者患者轉運過程中。
2.半自動體外除顫可用于疑似心臟驟?;颊?,預期治療新生兒、小兒和成人患者,應由經急救培訓的人員或在急救中心調度人員指導下使用。
3.自動體外除顫可持續測量和分析患者的心電,如果患者出現危及生命的心室顫動或室性心動過速癥狀,該產品可自動進行體外除顫治療。
某些自動體外除顫器可由經急救培訓的人員使用。某些自動體外除顫器預期用于有心臟驟停風險、不適宜植入或拒絕使用植入式除顫器的成人患者。
注冊申請人應當明確說明產品不適宜應用的某些疾病、癥狀、情況或特定的人群(如新生兒、小兒、老年人、孕婦及哺乳期婦女、肝腎功能不全者),例如:
1.半自動體外除顫器禁用于有脈搏、有呼吸、有意識的患者。
2.某些半自動體外除顫器禁用于年齡小于8歲或體重低于25千克的患者,某些半自動體外除顫器禁用于新生兒患者,等等。
(六)同類產品或前代產品的信息
參考的同類產品或前代產品應當提供同類產品(國內外已上市)或前代產品(如有)的信息,闡述申請注冊產品的研發背景和目的。對于同類產品,應當說明選擇其作為研發參考的原因。同時列表比較說明申請注冊產品與參考產品(同類產品或前代產品)的異同,例如,表2。
(七)其他需說明的內容
對于已獲得批準的部件或配合使用的附件,應當提供批準文號和批準文件復印件;預期與其他醫療器械或通用產品組合使用的應當提供說明;應當說明系統各組合醫療器械間存在的物理、電氣等連接方式。

(一)產品性能研究
注冊申請人應當提供產品技術要求的研究和編制說明。體外除顫產品的現行有效標準如下:
GB 9706.1-2007 醫用電氣設備第1部分:安全通用要求;
GB 9706.8-2009 醫用電氣設備第2-4部分:心臟除顫器安全專用要求;
GB 9706.15-2008 醫用電氣設備第1-1部分:通用安全要求并列標準:醫用電氣系統安全要求(如適用);
YY 0505-2012醫用電氣設備第1-2部分:安全通用要求并列標準:電磁兼容要求和試驗;
YY 0709-2009 醫用電氣設備第1-8部分:安全通用要求并列標準:通用要求,醫用電氣設備和醫用電氣系統中報警系統的測試和指南(如適用);
YY/T 0196-2005 一次性使用心電電極(如適用)。
注冊申請人應當提供產品性能研究資料,包括性能指標、質量控制相關指標的確定依據,所采用的標準或方法、采用的原因及理論基礎。
1.關鍵技術特點及其性能指標
注冊申請人應明確產品的治療模式,例如,手動模式、半自動模式、自動模式等。
注冊申請人應明確各治療模式下的功能和性能指標,例如,除顫波形、能量級別和精度、病人阻抗測量、心電波形和節律識別、充電/放電、電源等方面的功能和性能指標。
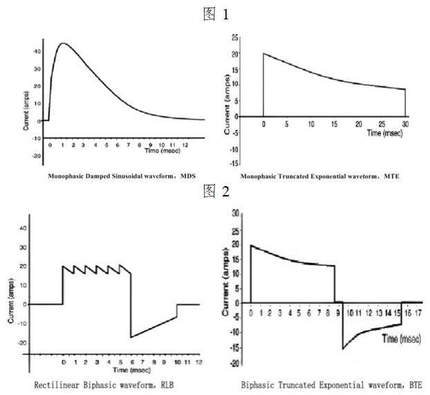
a)在所有的治療模式下,注冊申請人應明確除顫波形及其詳細參數,例如,雙相波(例如,雙相方波RLB、雙相截斷指數波BTE,等等)、單相波(例如,單相正弦衰減波MDS、單相截斷指數波MTE,等等)或其他波形,并且至少明確下述性能指標:
雙相除顫波形的詳細參數,例如:所有能量級別和各級別的輸出能量精度、放電時間常數、第一相時間、第一相峰值電流、第一相平均電流、第一相電流平均斜率、兩相間隔時間、第二相時間、第二相峰值電流、第二相平均電流、第二相電流平均斜率,等等。
單相除顫波形的詳細參數,例如,所有能量級別和各級別的輸出能量精度、放電時間常數、治療時間、峰值電流、平均電流、波形斜率,等等。
按照電壓或者電流—時間關系,注冊申請人應繪制除顫波形釋放的脈沖圖,并針對波形特點提供波形詳細參數,例如,圖1和圖2。
b)在所有的治療模式下,注冊申請人應提供阻抗測量的方法,應明確除顫波形對應的病人阻抗測量范圍和精確度。
c)對于半自動和自動模式,注冊申請人應描述心臟節律識別技術,陳述算法名稱、算法原理和實現方式,明確心臟節律識別的性能指標,例如,分析時間、敏感度、特異性、真實預報價值和假陽性率等。

d)在所有的治療模式下,注冊申請人應提供阻抗測量的方法,應明確除顫波形對應的病人阻抗測量范圍和精確度。
e)對于半自動和自動模式,注冊申請人應描述心臟節律識別技術,陳述算法名稱、算法原理和實現方式,明確心臟節律識別的性能指標,例如,分析時間、敏感度、特異性、真實預報價值和假陽性率等。
2.關鍵元器件及其質量控制要求
注冊申請人應提供產品的工作原理圖、產品總體設計方案和總體設計框圖,應簡述各單元模塊的功能及相互關系,應明確手動體外除顫、半自動體外除顫、自動體外除顫相關的單元模塊及其設計要求。
基于風險分析和管理、驗證和確認等的工作,注冊申請人應確定下述模塊(包括但不限于)相關器件是否為關鍵元器件,并明確關鍵元器件的名稱、型號、規格、制造商以及需要控制的規格參數和性能指標:
a)電源模塊,例如,電源適配器、電池、電源模塊等。
b)充電模塊,例如,充電電容、充電高壓管、充電變壓器等。
c)放電模塊,例如,放電橋中電子開關等。
d)控制模塊,例如,硬件電路的MCU、擴展資源、通信電路等。
e)測量模塊,例如,病人阻抗傳感器,信號采集和轉化電路等。
f)治療附件,例如,除顫手柄、一次性使用除顫電極片等。
(二)生物相容性評價研究
注冊申請人應對預期與人體接觸附件進行生物相容性評價,例如,除顫手柄、可重復使用除顫電極、一次性使用除顫電極片、胸內勺形電極以及其他配合使用的附件,應提供細胞毒性、致敏、刺激或皮內反應項目的生物相容性評價資料,對于滅菌包裝附件,還應提供熱原和細菌內毒素項目的評價資料。
宜參考的現行有效標準有:
GB/T 16886.1-2011 醫療器械生物學評價第1部分:風險管理過程中的評價與試驗;
GB/T 16886.5-2003 醫療器械生物學評價第5部分:體外細胞毒性試驗;
GB/T 16886.10-2005 醫療器械生物學評價第10部分:刺激與遲發型超敏反應試驗;
GB/T 16886.12-2005 醫療器械生物學評價第12部分:樣品制備與參照樣品;
GB/T 16886.18-2011 醫療器械生物學評價第18部分:材料化學表征;
GB/T 14233.2-2005 醫用輸液、輸血、注射器具檢驗方法第2部分:生物學試驗方法。
注冊申請人宜參考GB/T 16886.1-2011評定程序的框架并且在風險分析和管理的基礎上,根據產品與人體接觸性質、接觸時間和接觸周期,考慮生物學評價項目,并按照圖3進行生物學評價。
生物相容性評價研究資料應當包括:
1.生物相容性評價的依據和方法;
2.產品所用材料的描述及與人體接觸的性質;
3.實施或豁免生物學試驗的理由和論證;
4.對于現有數據或試驗結果的評價。

對于已獲得注冊批準上市的附件,在GB/T16886.1-2011的4.7項中任一情況下,應重新評價材料或最終產品的生物相容性。
如果已獲得注冊批準上市的附件未發生GB/T16886.1-2011中4.7項的情況,注冊申請人應提供其法定制造商做出的未發生GB/T16886.1-2011的4.7項所規定的重新評價情況的聲明,并且注冊申請人應提供該附件的醫療器械注冊證復印件及其原生物學評價資料的復印件。
(三)產品有效期和包裝研究
1.應明確電池和除顫電極片的有效期,并提供有效期的驗證報告。
2.應明確申報產品的預期使用壽命,提供預期使用壽命的分析驗證報告。
3.應提供可重復使用附件的使用次數驗證資料,例如,可充電電池、除顫手柄、可重復使用除顫電極板、可重復使用除顫電極片等。
4.應提供在宣稱的有效期內以及運輸儲存條件下,保持包裝完整性的依據。
5.如產品為滅菌包裝,應明確包裝材料、滅菌工藝(方法和參數)、無菌保證水平和滅菌有效期,提供包裝工藝確認報告、滅菌確認報告、滅菌效果驗證報告和貨架壽命驗證報告。
(四)臨床前動物實驗
如必要,應提供體外除顫產品的動物實驗研究資料,見本指導原則附錄3。
(五)軟件研究
體外除顫產品的軟件一般屬于軟件組件,一般不宜單獨注冊。參考《醫療器械軟件注冊技術審查指導原則》的要求,應按照C級安全性級別來提供軟件描述文檔,應關注:
1.核心算法:
注冊申請人應提供阻抗測量及補償技術的算法名稱、類型、用途和臨床功能,如為全新算法,還應提供安全性和有效性的驗證資料。
對于半自動和自動模式,注冊申請人應提供心臟節律識別技術的算法名稱、類型、用途和臨床功能,如為全新算法,還應提供安全性和有效性的驗證資料。
2.心臟節律識別功能的驗證:
應按照GB 9706.8-2009的6.8.3條款3)項,提供心律識別檢測器的性能驗證資料,包括心電數據庫報告和性能驗證報告。
a)心電數據庫報告:
注冊申請人應報告用于心律識別檢測器性能驗證的心電數據庫,應描述記錄方法、心律來源、心律選擇基準,并且應提供評注方法和基準,例如,由具有多年心電圖臨床經驗的專家組標注心電圖數據。該數據庫至少應滿足表3的要求。
用于驗證心臟節律識別的心電數據庫應包括可除顫心律和非可除顫心律:
可除顫心律應包括不同幅度的粗室顫心律、不同頻率和QRS波寬度的室性心動過速心律。
非可除顫心律應包括不同形態的QRS波數據(含干擾信號),并包括正常竇性心律、具有心室期外收縮(PVC)特征的竇性心律、室上性心動過速、竇性心動過緩、房顫、房撲、心臟傳導阻滯、室性自主心律、起搏器心律、停搏。

b)性能驗證報告:
注冊申請人應利用上述心電數據庫驗證心律識別檢測器的性能并提供性能驗證報告,驗證結果應包括敏感性、特異性、真實預報價值和假陽性率,并且應滿足表4要求。

注冊申請人應提供臨床評價資料,可按照下述任一情形:
(一)通過同品種體外除顫產品臨床數據進行的分析評價報告
按照本指導原則附錄4和附錄5,應通過分析評價同品種產品的臨床數據來確認產品的安全性和有效性。
(二)臨床試驗資料
對于手動除顫、半自動或自動體外除顫產品,應按照本指導原則附錄6來確認體外除顫治療的安全性和有效性。
對于半自動或自動體外除顫產品,應按照本指導原則附錄7來確認心臟節律識別器的安全性和有效性。
注冊申請人應提供體外除顫器的風險管理資料,見本指導原則附錄1。
考慮到產品的臨床使用場所(包括但不限于臨床機構、戶外/戶內公共場所、交通工具中、患者家中等)和各種環境因素的相關風險[包括但不限于海拔、絕對濕度和相對濕度、熱能(溫度)、電磁環境、輻射環境、機械能(重力墜落和懸掛、碰撞、振動、運輸)等],應在風險分析和管理過程中估計、評價并控制環境因素可能引起的相關風險,同時應說明提出風險控制措施的客觀證據及驗證確認資料,確認該產品在不同環境條件下的安全性、臨床功能和性能。
注冊申請人應按照本指導原則附錄2提供產品技術要求。
應明確產品的預期使用壽命,并明確預期使用壽命內產品的自檢頻率和要求、維護方法和維護頻率。
1.技術原理相同但產品設計結構不同的產品原則上應劃分為不同的注冊單元。
2.治療模式不同的產品應劃分為不同的注冊單元。例如,手動體外除顫器、半自動體外除顫器、自動體外除顫器、體外同步復律儀、體外除顫監護儀/系統應劃分為不同的注冊單元。
3.治療波形不同的產品應劃分為不同的注冊單元,例如,雙相波、單相波或其他波形等。
體外電復律:在嚴重快速型心律失常時,利用外加的高能量脈沖電流通過心臟,使全部或大部分心肌細胞在瞬間同時除極,造成心臟短暫的電活動停止,然后由最高自律性的起搏點(通常為竇房結)重新主導心臟節律的治療過程。
體外非同步電復律:在患者的QRS波和T波分辨不清或不存在時,不啟用同步觸發裝置所進行的體外電復律。
體外除顫:在患者發生室顫(室撲或無脈室速)時進行的體外非同步電復律。
體外除顫器:通過電極將電脈沖施加在患者的皮膚或暴露的心臟,用來對心臟進行體外除顫的醫用電氣設備。

前—側位:也叫前尖位或標準位,一個電極板放在右前壁鎖骨下,靠近但不與胸骨重疊(注意,無論如何也不要將電極放在胸骨上,以免明顯減弱除顫時放電時的能量;另一個電極板放在心尖(左乳頭左側,其中心位于腋中線上)。兩塊電極板之間的距離不應<10cm)。
前—后位:一個電極板放在左肩胛下區,另一個電極板放在胸骨左緣第四肋間水平。
前—左肩胛位:一個電極板放在右前壁鎖骨下,另一個電極板放在背部左肩胛下。
前—右肩胛位:也叫尖后位,一個電極板放在心尖部,另一個電極板放在病人背后右肩胛角(注意,應避開脊柱)。
隨機文件:隨設備或附件所附帶的文件,其內容包括對設備的使用者、操作者、安裝者或裝配者來說是全部重要的資料,特別是有關安全的資料。
生命支持設備或系統:至少包括一種預期有效地保持患者生命或復蘇功能的設備或系統,且一旦該功能無法滿足要求就很可能導致患者嚴重的傷害或死亡。
預期使用壽命:由制造商規定的電氣設備或電氣系統期望保持安全使用的時間(即保證基本安全和基本性能)。
注:參見IEC 60601-1: 2012的3.28項。
心律識別檢測器:分析心電圖并識別一個心臟節律是否為可電擊的儀器。在半自動體外除顫器、自動體外除顫器中,其算法設計為保證心律失常檢測的敏感性和特異性,以便在臨床中對其進行除顫。
可除顫心律:若不及時地除顫,可能造成患者死亡的致死性心律。
非可除顫心律:不可電擊的良性心律(甚至正常心律),特別是尚有脈搏的病人,因為除顫不能給這些病人帶來任何益處,反而可能造成病情惡化。
除顫成功:終止心室顫動,除顫后5秒鐘心電圖顯示心搏停止或非室顫無電活動。

(一)《醫療器械監督管理條例》(國務院令第650號)
(二)《醫療器械注冊管理辦法》(國家食品藥品監督管理總局令第4號)
(三)《醫療器械臨床試驗質量管理規范》(國家食品藥品監督管理總局中華人民共和國國家衛生和計劃生育委員會令第25號)
(四)《醫療器械通用名稱命名規則》(國家食品藥品監督管理總局令第19號)
(五)GB 9706.1-2007 醫用電氣設備第1部分:安全通用要求
(六)GB 9706.8-2009 醫用電氣設備第2-4部分:心臟除顫器安全專用要求
(七)GB 18279-2000 醫療器械環氧乙烷滅菌確認和常規控制
(八)GB 18280-2000 醫療保健產品滅菌確認和常規控制要求輻照滅菌
(九)GB/T 14710-2009 醫用電器環境要求及試驗方法
(十)YY 0505-2012 醫用電氣設備第1-2部分:安全通用要求并列標準:電磁兼容要求和試驗
(十一)YY 0670-2008 無創自動測量血壓計
(十二)YY/T 0287-2003 醫療器械質量管理體系用于法規的要求
(十三)YY/T 0316-2008 醫療器械風險管理對醫療器械的應用
(十四)《醫療器械注冊申報資料要求和批準證明文件格式》(國家食品藥品監督管理總局公告2014年第43號)
(十五)《食品藥品監管總局關于執行醫療器械和體外診斷試劑注冊管理辦法有關問題的通知》(食藥監械管〔2015〕247號)
(十六)《醫療器械臨床評價技術指導原則》(國家食品藥品監督管理總局通告2015年第14號)
(十七)《藥物臨床試驗的生物統計學指導原則》(國家食品藥品監督管理總局通告2016年第93號)
(十八)《醫療器械產品技術要求編寫指導原則》(國家食品藥品監督管理總局通告2014年第9號)
(十九)《醫療器械軟件注冊技術審查指導原則》(國家食品藥品監督管理總局通告2015年第50號)
(二十)《醫療器械生物學評價和審查指南》(國食藥監械〔2007〕345號)
(二十一)IEC 60601-1:2012Medical electrical equipment - Part 1:General requirements for basic safetyand essential performance
(二十二)EN 1789:2007+A1: 2010Medical vehicles and their equipment - Road ambulances
(二十三)EN 13718-1: 2008 Medical vehicles and their equipment - Air ambulances - Part 1:Requirements for medical devices used in air ambulances
(二十四)RichardE. Kerber, MD, Chair; LanceB. Becker.MD; JosephD. BourlandEE, PhD; Richard O. Cummins, MD. MPH; Alfred P. Hal lstrom,PhD; Mary B. Michos, RN;Graham Nichol, MD; Joseph P. Ornato, MD; William H. Thies, PhD; RogerD. White, M D; Bram D. Zuckerman, MD.Automatic External Defibrillators for PublicAccess Defibrillation: RecommendationsforSpecifying and Reporting Arrhythmia AnalysisAlgorithm Performance, Incorporating NewWaveforms, and Enhancing Safety.AHA ScientificStatement
(二十五)CCTS工作組,賀佳(執筆)。臨床試驗中樣本量確定的統計學考慮,中國衛生統計,2015年8月第32卷第4期
(二十六)CCTS工作組,賀佳(執筆)。臨床試驗統計分析計劃及統計分析報告的考慮。中國衛生統計,2015年6月第32卷第3期
(二十七)楊興華,詹思延。臨床研究證據分級及評價。中國循證心血管醫學雜志,2009年9月第1卷第4期
(二十八)楊學寧,吳一龍。臨床證據水平分級和推薦級別。循證醫學,2003年3(2):111-113
(二十九)黃惠芳,朱瑩,顧國浩。體外電除顫對心肌損傷標志物影響的實驗研究。蘇州大學學報(醫學版)2009;29(5)
(三十)張曉東,何慶。雙/單相波電擊除顫治療院前室顫的系統評價。西南軍醫2009年7月第11卷第4期
附錄1
風險管理資料是對風險管理過程及其評審的結果予以記錄所形成的資料。風險管理資料主要包含風險管理計劃和風險管理報告,還包含風險管理活動相關的其他文檔資料及評審記錄。
(一)風險管理活動范圍
制造商應策劃風險管理活動的范圍,通過照片、示意圖和文字等形式清晰地說明體外除顫產品(簡稱“產品”)的結構及組成,描述產品功能。
風險管理過程的所有要素應規劃在產品生命周期之中。制造商應辨識產品的生命周期階段,以及每個階段要開展的風險管理活動。
(二)職責和權限
制造商應明確參與風險管理活動的成員,其成員應具有與風險管理任務相適應的知識和經驗,包括風險分析人員、風險評價人員(應包含有臨床背景的人員)、風險控制措施制定人員及驗證人員、風險管理過程評審人員(不直接負責所評審的設計和開發階段的人員和所需的專家)以及風險管理報告的編制及審批人員,應列出其姓名、職務及責任范圍。
(三)風險管理活動評審的要求
制造商應詳細規定何時和如何進行風險管理評審,風險管理活動評審的要求可能是質量管理體系的一部分。
(四)風險可接受準則
制造商應根據風險可接受方針,制定產品的風險可接受準則。風險可接受準則對于風險管理過程的最終有效性是至關重要的,制造商應根據產品預期用途、特征制定適當的風險可接受準則。
風險可接受準則可以是制造商建立的質量管理體系的一部分,在風險管理計劃中可以采用引用的方式體現。
(五)驗證活動
風險管理計劃應規定如何進行下述驗證工作:確保風險控制已在最終設計中實施;確保實施的措施確實降低了風險。風險管理計劃應詳述風險控制措施相關的驗證活動的計劃。
(六)生產和生產后信息的收集和評審活動
制造商應當建立通用的程序,以便從不同的來源收集信息,如使用者、服務人員、培訓人員、事故報告和顧客反饋。盡管獲得生產后信息的一個或多個方法可以是已建立的質量管理體系中的一部分,但產品的生產和生產后信息的收集和評審活動相關的計劃和要求應直接加入到風險管理計劃中。
(一)預期用途和與安全性有關特征的判定
風險管理報告應包含產品的預期用途以及合理可預見的誤用。
制造商應按照YY/T 0316-2008《醫療器械風險管理對醫療器械的應用》附錄C提示的問題,對照產品的實際情況作針對性的簡明描述。產品如存在附錄C提示以外的可能影響安全性的特征的情況,也應做出說明??赡苡绊懓踩缘奶卣鲬纬晌臋n,在風險管理報告中包含。
(二)危害的判定
制造商應在已識別的影響安全性的特征的基礎上,系統地判定產品在正常和故障兩種條件下的可預見的危害,并對危害的成因及后果進行分析,即說明危害、可預見事件序列、危害處境和可能發生的損害之間的關系,形成一份產品可預見的危害及危害分析清單。
危害的判定至少應包含能量危害、生物和化學危害、操作危害、信息危害這四個方面的危害分析,并應按照本指導原則附錄1的危害二級分類來展開分析。制造商應根據申報產品具體預期用途和與安全性有關特征編寫風險管理報告。
(三)風險估計
應識別可能造成危害處境的合理可預見的事件序列或組合,并列明造成的危害處境。
對應每個判定的危害處境,應利用可以得到的資料或數據估計其相關的一個或多個風險。對危害發生概率不能加以估計的危害處境,編寫一個危害的可能后果的清單,以便風險評價和風險控制。
對損害發生的概率和損害的嚴重度進行定性或定量的估計。用于風險估計的資料或數據,可以通過以下途徑獲得:
1.已發布的標準;
2.科學技術資料,例如各種期刊、專著;
3.已在使用中的臨床資料,例如已公布的不良事件報告、召回信息等,典型的如美國食品藥品管理局官方網站中的MAUDE數據庫;
4.臨床數據;
5.調研結果;
6.專家意見;
7.外部質量評定情況。
(四)風險評價
對每個已判定的危害處境,制造商應依據風險管理計劃中制定的風險可接受準則進行風險評價,決定是否需要降低風險。
風險評價的結果記入風險管理文件中。
(五)風險控制
制造商應對經風險評價后不可接受的、或考慮可進一步采取措施降低的風險制定適當的風險控制措施(一個或多個),把風險降低到可接受的水平。
制造商應按照以下順序,依次使用一種或多種方法:
1.用設計方法取得固有安全性,例如消除危害、降低損害發生的概率、降低損害的嚴重度;
2.在醫療器械本身或在制造過程中提供防護措施,例如提供安全閥、提供視覺或聽覺報警信號;
3.提供安全性信息,例如提供警告標識、限制產品使用或限制使用環境、提供警告信息(告知某些不當使用、危害或其他有助于降低風險的信息)、提供防護設備(例如細菌過濾器)、提供操作者培訓(以改進他們的表現或提高其檢出錯誤的能力)、規定必需的維護時間間隔、規定最大產品服務壽命等。
在制定降低風險的控制措施方案時,應充分考慮產品國家標準、行業標準中有關降低風險的措施。
應確保降低風險的控制措施在研制初期得到有效的輸入,對每項風險控制措施實施予以驗證,并應對措施的有效性實施驗證。
制造商應對采取降低風險的控制措施后的剩余風險以及是否會引發新的風險進行評價。
以上降低風險的控制措施、控制措施的驗證、剩余風險評價等信息可以記入風險管理報告中。
(六)綜合剩余風險的可接受性評價
制造商應對綜合剩余風險是否可接受給出結論性意見,并對已有恰當的方法獲得與本產品相關的生產后信息與臨床應用的信息進行闡述并做出承諾。
風險管理報告應由制造商的最高管理者(法人代表)或其授權的代表簽字批準。















附錄2
醫療器械產品技術要求編號:
產品名稱(見本指導原則正文第三、條第0款)
1.1.產品型號
……
1.2.產品規格
按照隨機文件和說明書,制造商應載明電源/電池規格。
按照隨機文件和說明書,制造商應載明患者應用附件的示意圖/彩色圖片、結構、規格、原材料、滅菌信息等。
1.2.1.1.電源/電池規格
交流電源的規格,例如,額定電壓、額定電流、額定功率等。
內部電池的規格,例如,電池類型(鎳氫電池、鋰離子電池等),額定電流,最長供電時間等。
1.2.1.附件的規格
1.2.1.1.附件的結構示意圖/彩色圖片
……
1.2.1.2.附件的原材料
按照附件的結構示意圖/彩色圖片,制造商應載明各部分的原材料。
1.2.1.3.附件的規格
附件的物理尺寸和面積、導線的規格等。
1.2.1.4.滅菌附件
制造商應載明滅菌包裝附件的滅菌方法和滅菌有效期。
1.3.產品型號的劃分說明
……
1.4.產品分組/分類信息
制造商應按照YY 0505-2012和GB 9706.8-2009載明產品分組/分類信息,為1組B類。
1.5.軟件組件
1.5.1.名稱
制造商應按照軟件描述文檔載明軟件組件的名稱。
1.5.2.發布版本
制造商應按照軟件描述文檔載明軟件組件的發布版本。
1.5.3.版本命名規則
制造商應按照軟件描述文檔載明軟件完整版本的全部字段及字段含義。
2.1.……
2.1.1.……
……
2.2.安全和性能標準
全面執行GB 9706.1-2007、GB 9706.8-2009、GB 9706.15-2008(如適用)、YY 0505-2012、YY 0709-2009(如適用)、YY/T 0196-2005標準(如適用),產品主要安全特征見附錄A。
3.1.……
3.1.1.……
……
3.2.安全和性能標準
按照2.2項對應的方法,進行全面檢驗,應符合2.2的要求。
4.1.……
4.1.1.……
……
(分頁)
附錄A產品主要安全特征
1.按防電擊類型分類:
2.按防電擊的程度分類:
3.按對進液的防護程度分類:
4.按在與空氣混合的易燃麻醉氣或與氧或氧化亞氮混合的易燃麻醉氣情況下使用時的安全程度分類:
5.按運行模式分類:
6.設備的額定電壓和頻率:
7.設備的輸入功率:
8.設備是否具有對除顫放電效應防護的應用部分:
9.設備是否具有信號輸出或輸入部分:
10.永久性安裝設備或非永久性安裝設備:
11.電氣絕緣圖:
制造商應在電氣絕緣圖中標明各絕緣路徑。
12.電氣絕緣圖表格:
制造商應在絕緣圖表格中明確各絕緣路徑的名稱、絕緣類型、基準電壓、試驗電壓、電氣間隙和爬電距離。
附錄3
體外除顫產品(簡稱“產品”)的動物實驗方案應經動物倫理委員會審批并同意。注冊申請人宜在符合GLP要求的動物實驗機構中進行該研究。
該研究目的是驗證體外除顫產品的安全性和有效性。
該研究應基于成人模型和小兒模型分別進行設計。各研究應設計為隨機、平行、對照實驗,至少應提出非劣效性假設。
動物實驗的設計應保證盡量接近產品作用于人體的預期用途并驗證所有的治療模式:手動模式、半自動模式、自動模式。
制造商應選取已經在中國上市的產品作為對照組。在動物實驗方案中,制造商應明確對照組產品選擇的科學合理性。
推薦制造商選取已經在中國上市的同品種產品(見附錄4第三、條)作為對照組產品。
實驗動物應來源于具有國家實驗動物主管部門核發的《實驗動物生產許可證》單位,并具有相應的質量合格證。
如果動物模型的選擇和制備對于產品應用于人體的安全性分析具有缺陷,注冊申請人應詳細說明并評價其對研究結果的影響。如無法說明動物模型選擇和制備的合理性或無法評價上述缺陷造成的影響,注冊申請人應修改動物實驗方案,并按照修改后的方案進行動物實驗研究。
(一)動物模型的選擇
該研究應采用實驗用豬作為實驗動物。實驗動物的性別不限,但性別分布要保證基線,或全為雄性或全為雌性,或者性別分布大致均衡。由于體重、皮膚胸壁阻抗等因素的不同造成對應的實驗波形或者選擇能量的差異,實驗方案和實驗報告中應說明選擇實驗用豬的品種、體重和胸壁阻抗。
對于體外除顫動物實驗,成人研究用豬的體質量應在30—80kg之間,小兒研究用豬的體質量應在4—25kg之間。
(二)動物模型的制備
動物類型選擇是否適當、動物實驗前的狀態等情況直接關系到動物模型制備能否成功。建議根據需要選擇科學合理的致顫方法(包括但不限于:電刺激致顫、藥物致顫,等等)來制備動物模型,獲得室顫模型,以滿足驗證受試產品功能的需要。
研究人員應按照動物實驗中心的組織與管理細則管理實驗動物。
1.實驗前準備:圈養、注意禁食、禁水,對實驗動物進行稱重及編號,并按方案要求準備適宜的實驗環境。
2.實驗中安排:麻醉、監護,指標正常并穩定后開始實驗,實驗中全程監護并記錄相關的數據。
3.實驗后動物處理:存活動物進行安樂死、作病理檢查等。
誘發室顫前動物隨機分為實驗組和對照組。誘發室顫成功后,按照制造商推薦的能量及治療調整方法進行除顫。如果第一次除顫后動物未恢復自主循環,則進行CPR,再按照制造商推薦的能量及治療調整方法調整治療參數,再進行第二次除顫,依次類推進行第三次或更多除顫。如果在制造商推薦的能量及治療調整方法內,動物沒有恢復自主循環,則宣布實驗動物死亡。
動物實驗研究中,所用的能量應至少包括制造商推薦的最低能量、推薦的最高能量以及推薦的某一個中間能量。實驗組動物所用的推薦能量不應高于對照組動物所用的推薦能量。
除顫后,動物沒有恢復自主循環則宣布實驗動物死亡;當實驗動物恢復自主節律后,進行監護,期間給予補充生理鹽水。待實驗動物生命體征穩定后,再次進行誘發室顫及進行除顫。達到每個模型的致顫次數之后處死動物,留取心臟和皮膚組織標本。
實驗組和對照組之間的最大致顫-除顫模型的例次應相同。
研究人員應設計相應的實驗記錄表, 以記錄實驗過程和采集數據:
1.記錄每次操作的醫生姓名、記錄人員,實驗日期、開始時間、結束時間等。
2.記錄實驗動物的編號、實驗動物的體重、實驗動物的實驗情況及監測數據等。
3.在實驗過程中,記錄誘發室顫的次數,每組室顫的一次除顫成功率及總體成功率;當動物模型處于基礎狀態及每次除顫后,抽取動脈血和靜脈血,進行血液生化檢查。
4.在實驗過程中,觀察并記錄除顫充電放電、死機、抗干擾、放電后監護功能恢復等情況。
5.實驗結束后,對實驗操作部位進行觀察和分析。動物心臟和皮膚組織應被完整切離并檢查是否存在任何病變或損傷,進行皮膚組織標本和病理學檢查、心臟組織標本和心肌病理學檢查。
6.為保證數據的完整性,研究人員應將所有入組動物的基本信息和研究數據記錄在中央計算機系統內,以備今后對其進行跟蹤、核查。所有動物必須納入分析。數據的剔除或偏移數據的處理必須有科學依據和詳細說明。
(一)主要評價指標
1.安全性指標
a)心臟組織切片
檢測病理變化,病理檢查項目以心肌出血、變性、炎癥、壞死和心肌斷裂為主。
b)動脈和靜脈血液生化檢查
pO2、pCO2、pH、心肌酶譜(AST、CK-MB)、肌鈣蛋白(cTnI)、肌紅蛋白(MYO、Mb)。
2.有效性指標
首次除顫成功率、總體除顫成功率。
制造商應根據對照組產品的歷史數據,確定首次除顫成功率、總體除顫成功率的具體數值。
(二)次要評價指標
1.皮膚灼傷程度評估;
2.皮膚組織病理;
3.受試產品運行情況及穩定性,如充電、放電、死機、失控等。
該研究分為基于成人模型的研究和基于小兒模型的研究,實驗動物數量應保證結果分析具有統計學意義。
(一)基于成人模型的研究
假設對照組產品的首次除顫成功率和總體除顫成功率均為95%,非劣效界值為5%,當顯著性水平?。p側)0.05、檢驗效能80%,那么,該動物實驗研究中,單組最少需要的致顫-除顫模型為300例次,兩組最少需要的致顫-除顫模型為600例次,其中,最高、最低、中間能量各1/3。制造商應科學合理地確定每例實驗動物的致顫次數,單組所用實驗動物至少10頭。
(二)基于小兒模型的研究
該研究的樣本量應滿足統計學要求。制造商應明確檢驗假設的方法、檢驗水準、檢驗效能、單側或雙側檢驗,應基于對照組的首次除顫成功率、總體除顫成功率的歷史數據,提供非劣效界值的選取理由。制造商應科學合理地確定每例實驗動物的致顫次數,單組所用實驗動物至少10頭。
動物實驗的方案和報告應詳細說明統計方法、公式及依據。統計結論至少應滿足非劣效性假設成立。
研究人員需對取得的動物實驗數據進行最終的風險分析,按照安全性和有效性指標評價受試產品,得出動物實驗結論。
附錄4
本報告應確認體外除顫產品(簡稱“產品”)的適用范圍。
一般來說,臨床評價人員至少應具有以下知識:
1.產品的技術和臨床應用;
2.研究方法,例如,文獻質量評價,臨床研究設計和生物統計,等等;
3.臨床中利用產品進行治療的相關工作經驗。
制造商應將待評價體外除顫產品與一個或多個同品種體外除顫產品(以下簡稱“二者”)進行對比,證明二者之間基本等同。
制造商應詳述二者的相同性和差異性,對差異性是否對產品的安全有效性產生不利影響,應通過申報產品自身的數據進行驗證和/或確認,如申報產品的非臨床研究數據、臨床文獻數據、臨床經驗數據、動物實驗數據、針對差異性在中國境內開展的臨床試驗的數據。
(一)同品種體外除顫產品的對比項目
制造商應以相同的治療模式、各治療模式下相似的功能和性能指標為判定的基本出發點,按照表5進行同品種體外除顫產品的判定。
由于各治療模式(手動模式、半自動模式和自動模式)的臨床應用方法存在較大差異,不同的治療模式不適宜作為同品種體外除顫治療模式。

(二)除顫波形及其性能參數的對比
對于表5的第2項d)條中功能、性能指標的對比,制造商應提供二者的除顫波形及其性能參數的差異性研究資料,見本指導原則附錄5。
按照本指導原則附錄1,制造商應確定產品的風險和危害(尤其是剩余風險),然后參考系統綜述的方法,遵循下述評價過程:
1.搜索臨床數據,常見為臨床文獻數據和臨床經驗數據等;
2.評定臨床數據的全面性、準確性、局限性、質量,篩選臨床數據;
3.將高質量數據歸納成不同的數據集,分析每一個數據集,獲得適用范圍的證據。
4.得出臨床評價結論。
制造商應在臨床評價過程中納入待評價產品和同品種產品的臨床數據。
產品的相關臨床數據可由制造商持有,例如:制造商進行的動物實驗研究、上市前臨床研究,現場使用數據的分析報告,上市后調查、研究和跟蹤反饋信息,投訴和抱怨的分析和總結,不良事件報告以及糾正措施等數據;也可從臨床文獻中獲得相關臨床數據;或是上述二者之和。
(一)文獻檢索的基本要求
制造商應指派具有信息檢索知識的人員進行上述工作,以便最大程度地獲得相關信息。
制造商應綜合地進行文獻搜索和瀏覽,同時納入有利的和不利的文獻,并應控制文獻的選擇偏倚。
(二)通過文獻檢索獲得臨床數據
參考《醫療器械臨床評價技術指導原則》附5、附6和附7,制造商應提出文件檢索方案并形成文獻檢索報告。
制造商宜將同品種產品的關鍵詞(例如,制造商、商品名稱、產品名稱、型號,等等)以及同品種產品的適用范圍和禁忌癥(見正文第三、條第(五)款)、關鍵技術特點及其性能指標(見正文第四、條第0款第1項)、危害和損害(附錄1第四、條)相關信息作為檢索詞。
制造商應在文獻檢索和篩選方案說明文獻的篩選標準,并應說明臨床證據分級的評價方法,例如:推薦、評估、發展和評價分級工作組(the grading of recommendations assessment、development and evaluation working group, GRADE)評價系統,牛津循證醫學中心制定的證據水平評價標準,等等。
評定臨床數據的目的是了解臨床數據的全面性、準確性、局限性以及質量。
臨床評價人員應全面和徹底地評定臨床數據。由于臨床文獻摘要無法提供全面內容并且缺乏足夠的細節,臨床評價人員不應僅根據臨床文獻摘要的內容來評定臨床文獻。
鑒于某些臨床研究沒有良好設計或者分析不充分,某些文獻的數據不適合證明產品的臨床性能,但仍含有適合證明產品臨床安全性的數據。
臨床評價人員應評估臨床數據中研究方法的科學合理性(例如,防止潛在的數據偏倚)、報告的結果和結論的正確性,并且應針對文獻中所陳述的觀察結果,建議臨床評價人員區分造成這一結果的原因是由于產品的作用還是由于其他的影響因素,例如:由于其他急救手段的原因(例如,通氣、CPR,等等),或聯合使用藥物的結果,或是由于偏倚。
制造商可考慮產品所使用技術的水平和其研發背景。根據除顫器設計更改和變更的不同,如有恰當的理由,可采用經驗數據進行分析。例如,對于在原有產品基礎上進行遞增修改或優化的產品,可能不需要進行臨床試驗,但是需要動物試驗數據、臨床文獻或臨床經驗數據。
分析臨床數據的目的是決定已經評定過的數據集能否充分地證明除顫器的臨床安全性和性能。
根據數據類型、數據質量、評價目的的不同,將高質量數據歸納成不同的數據集,例如,臨床研究數據集、投訴和不良事件數據集、與臨床風險相關的糾正措施數據集、中國人群數據集等,分析每一個數據集,獲得適用范圍的證據。
分析臨床數據的方法可使用定量分析或定性分析。
制造商在分析臨床數據時應考慮下述方面:
1.對于每個被辨識出的危害,相關的風險分析和控制是否充分;
2.投訴和抱怨的分析和總結;
3.并發癥和副作用的情況、糾正措施及其效果;
4.不良事件的情況,例如,不良事件的嚴重度、原因分析、糾正預防措施及其效果,不良事件的最終狀態。
制造商應確定關鍵數據集(證明除顫器臨床安全性和性能的數據集)并獲得其結果,以便在除顫器性能指標及其風險之間獲得一致性結論。
如果不同的數據集報告了相同的結果,這些臨床數據所表明結論的必然性顯著增加;如果不同的數據集提供了不同的結果,評價造成這些差異的原因對于評價除顫器的臨床安全性和性能是有幫助的。
納入分析的臨床數據應以臨床評價報告附件的形式提供。
制造商的臨床評價報告應提出下述結論:待評價除顫器符合制造商的預期需求,其臨床收益大于臨床安全性風險,相關風險和副作用是可接受的。
如果制造商的臨床證據尚不充足,無法得出上述評價結論,制造商應獲得更多的臨床數據(例如,進行動物實驗或臨床試驗,擴大臨床數據搜索的范圍)。在這種情況下,臨床評價是一個不斷循環和迭代的過程。
臨床評價報告應由制造商的相關負責人簽署姓名和日期。
附錄5
本研究應確認待評價體外除顫產品與同品種體外除顫產品除顫波形及其性能參數(以下簡稱“二者”)的差異性。
研究人員應全面考慮二者的除顫波形及其性能參數(見正文第四、條第0款第1項),例如:
雙相波:所有能量級別和各級別的實際輸出能量、第一相峰值電流、第一相平均電流、第一相電流平均斜率、第一相時間、兩相間隔時間、第二相峰值電流、第二相平均電流、第二相電流平均斜率、第二相時間、放電時間常數,等等。
單相波:所有能量級別和各級別的實際輸出能量、治療時間、峰值電流、平均電流、波形斜率,等等。
研究人員應對比并綜合考慮二者的病人阻抗測量范圍和所有能量級別,應提供二者實際輸出能量對比表,例如表6。
該研究設計為開放、平行、對照實驗。以負載阻抗和能量級別為基本劃分因素,該研究分為多組實驗。
(一)所需設備
待評價體外除顫產品及其可選負載附件、同品種體外除顫產品及其可選負載附件、除顫器分析儀、ECG模擬器、示波器,等等。
(二)研究方法
在每組實驗中,待評價體外除顫產品和同品種體外除顫產品分別在相同的負載阻抗下輸出相同級別能量,研究人員采用除顫器分析儀等設備,測量每次輸出除顫波形及其性能參數,重復上述過程至少50次。
研究人員應對每組實驗獲得的數據進行處理,在同一坐標系下描繪二者除顫波形的形態,例如,圖4。

研究人員應統計分析每組實驗獲得的數據,提供二者除顫波形性能參數的統計分析結果,例如表7,并附每組實驗的所有原始數據。
如果除顫波形的形態的對比圖或二者除顫波形性能參數的統計分析結果明顯不一致,那么二者在除顫波形及其性能參數方面具有顯著的差異性,會對安全性和有效性產生不利影響。
如果除顫波形的形態的對比圖或二者除顫波形性能參數的統計分析結果存在一定程度的差異性,研究人員應提出合理的方法進一步評價差異性對臨床安全性和有效性的影響,必要時應進行動物實驗或針對差異性在中國境內開展臨床試驗。
如果除顫波形的形態的對比圖或二者除顫波形性能參數的統計分析結果高度一致,二者的差異性一般不會對產品的安全性和有效性產生不利影響。





附錄6
臨床試驗研究應符合《醫療器械臨床試驗質量管理規范》(國家食品藥品監督管理總局與中華人民共和國國家衛生和計劃生育委員會令第25號)。
臨床試驗研究應獲得倫理委員會批準,并且提供知情同意書,在有執業資格的醫務人員監督下進行。
該臨床研究目的是確認體外除顫治療的安全性和有效性。
該臨床研究設計為多中心、開放、對照試驗,應提出非劣效性假設。
注冊申請人應按照同一臨床試驗方案,在三個以上(含三個)臨床試驗機構實施的臨床試驗。
該臨床研究應當有充分的科學依據,始終以保證受試者安全和最大利益為基本原則。臨床研究人員應權衡對受試者和公眾健康預期的受益以及風險,預期的受益應當超過可能出現的損害,臨床研究過程應避免不適當的風險。
臨床研究人員可能在下述情況中獲得具有適應癥的受試者:
1.正經受植入式除顫起搏器植入術或植入后隨訪電生理評價患者。作為植入式除顫起搏器正常試驗協議的組成部分,在調整植入式除顫起搏器閾值時,可能出現該臨床研究的適應癥。
2.某些患者可能是潛在的高風險心臟病患者,可能會出現室性心動過速的癥狀,需要接受心臟負荷試驗檢查。在檢查的過程中,患者可能出現該臨床研究的適應癥。
3.正在接受某些心外科手術的患者可能在術中出現心室顫動或室性心動過速癥狀。
4.實施體外循環的患者,當需進行心臟復蘇時,可能需要進行胸外或者胸內除顫。
5.正在接受心臟介入手術的患者可能需要保護性的體外除顫。
6.重癥室(CCU、ICU等)中的患者可能發生心臟驟停情況。
無論在上述哪種情況下,臨床研究人員和注冊申請人都應保證受試者的最大利益。如果受試者出現心室顫動或室性心動過速癥狀,試驗組產品僅可進行一次除顫治療。如果試驗組產品沒有除顫成功,臨床研究人員應迅速采用后備的已上市體外除顫產品進行治療。
該臨床研究應同時包括發生誘發室顫和自發室顫的受試者,并明確發生自發室顫的受試者的最小例數或者占受試者總樣本量的最低比例以及確定的理由。
1.出現心室顫動或血流動力學穩定的室性心動過速癥狀的患者。
2.本人或合法授權代表簽署知情同意書。
3.受試者應愿意且能夠遵守研究步驟。
1.可能因臨床研究受到危害的受試者。
2.臨床研究人員認為受試者不適宜繼續進行試驗可隨時退出,受試者在試驗全過程中可隨時退出。
(一)主要評價指標:
1.有效性指標:
總體除顫成功率。
注冊申請人應根據選擇的適應癥、患者入組情況、對照產品單次除顫成功率的歷史數據,確定總體除顫成功率的具體數值。
(二)次要評價指標:
1.安全性指標:
a)CK、肌鈣蛋白(cTnI)。
b)體外除顫治療相關的不良事件。
2.皮膚灼傷程度評估;
3.試驗產品運行情況及穩定性,如充電、放電、死機、失控等。
受試者數量應保證臨床試驗的結果分析具有統計學意義。注冊申請人應明確檢驗假設的方法、檢驗水準、檢驗效能、單側或雙側檢驗,并且注冊申請人應基于對照組產品總體除顫成功率的歷史數據,提供非劣效界值的選取理由。
統計分析報告應將所有中心的數據合并在一起進行統計分析,并在總的統計分析報告中對每一適應癥進行統計分析描述。
(一)分析人群的確定
數據分析時應考慮數據的完整性,所有簽署知情同意并使用了受試產品的受試者應納入最終的統計分析。數據的剔除或在原始數據上所進行的任何處理必須有科學依據和詳細說明。
臨床試驗的數據分析應基于不同的分析集,通常包括全分析集(Full Analysis Set,FAS)、符合方案集(Per Protocol Set,PPS)和安全集(Safety Set,SS),研究方案中應明確各分析集的定義。對于全分析集中的脫落病例,其主要研究終點的缺失值的填補方法應在方案中予以說明,建議采用不同的缺失數據截轉方法進行靈敏度分析,以評價缺失數據對研究結果穩定性的影響,如末次數據結轉法(Last Observation Carried Forward, LOCF)及最差值法(Worst Scenario Analyses)等。
主要研究終點指標的分析必須同時在全分析集和符合方案集上進行;當以上兩種數據集的分析結論一致時,可以增強試驗結果的可信性,當不一致時,應對其差異進行清楚的討論和解釋。如果符合方案集中被排除的受試者比例太大,則會影響試驗的有效性分析。安全性指標的分析應基于安全集。
(二)分析方法的選擇
臨床試驗數據的分析應采用國內外公認的統計分析方法。臨床試驗方案應當明確統計假設、統計檢驗的類型、檢驗假設。
對于主要研究終點,統計結果需采用點估計及相應的95%可信區間進行評價。
該臨床研究中出現的任何不良事件,無論是預期的還是非預期的,均應如實記錄和報告,并由臨床專家分析原因、判斷其與器械的關系。對于嚴重不良事件,按照法規要求及時上報;同時臨床研究人員應當及時做出臨床判斷,采取措施,保護受試者利益;必要時中止臨床研究。不良事件應作為結果變量參加臨床研究的統計分析。
為保證數據的完整性和受試者的安全,以備今后對其進行跟蹤、核查,該臨床研究人員應將所有入組受試者的基本信息和研究數據記錄在中央計算機系統內,以備今后對其進行跟蹤、核查。所有簽署知情同意書并使用了試驗組的受試者必須納入分析。數據的剔除或偏移數據的處理應有科學依據和詳細說明。
附錄7
臨床試驗研究應符合《醫療器械臨床試驗質量管理規范》(國家食品藥品監督管理總局與中華人民共和國國家衛生和計劃生育委員會令第25號)。
臨床試驗研究應獲得倫理委員會批準,并且提供知情同意書,在有執業資格的醫務人員監督下進行。
臨床試驗研究應始終以保證安全和受試者利益為基本原則,研究過程應避免不適當的風險。
該臨床研究目的是確認心臟節律識別器的安全性和有效性。
該臨床研究設計為多中心、開放、單組試驗,注冊申請人應在方案設計階段預先指明單組目標值。
注冊申請人應按照同一臨床試驗方案,在三個以上(含三個)臨床試驗機構實施的臨床試驗。
1.具有心臟節律識別適應癥的患者(見正文第四、條第0款第2項);
2.本人或合法授權代表簽署知情同意書;
3.受試者應愿意且能夠遵守研究步驟;
1.可能因臨床研究受到危害的受試者。
2.試驗者認為受試者不適宜繼續進行試驗可隨時退出,受試者在試驗全過程中可隨時退出。
(一)主要評價指標:
可電擊心律和非可電擊心律分析的敏感性、特異性。
(二)次要評價指標:
試驗組產品運行情況及穩定性,如提示情況、死機、失控等。
受試者數量應保證結果分析具有統計學意義。
根據臨床要求,該臨床研究的目標值不得低于92%,假設試驗組性能指標為95%,則當顯著性水平取(雙側)0.05、檢驗效能80%,按統計學原則計算得到,試驗中最少需要的受試者數為200例。
應根據心臟節律識別器的敏感性和特異性計算樣本量,但應符合上述最低例數要求。
統計分析報告應將所有中心的數據合并在一起進行統計分析,并在總的統計分析報告中對每一治療模式及其適應癥進行統計分析描述。
(一)分析人群的確定
數據分析時應考慮數據的完整性,所有簽署知情同意并使用了受試產品的受試者必須納入最終的統計分析。數據的剔除或在原始數據上所進行的任何處理必須有科學依據和詳細說明。
臨床試驗的數據分析應基于不同的分析集,通常包括全分析集(Full Analysis Set,FAS)、符合方案集(Per Protocol Set,PPS)和安全集(Safety Set,SS),研究方案中應明確各分析集的定義。對于全分析集中的脫落病例,其主要研究終點的缺失值的填補方法應在方案中予以說明,建議采用不同的缺失數據截轉方法進行靈敏度分析,以評價缺失數據對研究結果穩定性的影響,如末次數據結轉法(Last Observation Carried Forward, LOCF)及最差值法(Worst Scenario Analyses)等。
主要研究終點指標的分析必須同時在全分析集和符合方案集上進行;當以上兩種數據集的分析結論一致時,可以增強試驗結果的可信性,當不一致時,應對其差異進行清楚的討論和解釋。如果符合方案集中被排除的受試者比例太大,則會影響試驗的有效性分析。安全性指標的分析應基于安全集。
(二)分析方法的選擇
臨床試驗數據的分析應采用國內外公認的統計分析方法。臨床試驗方案應當明確統計假設、統計檢驗的類型、檢驗假設。
對于主要研究終點,統計結果需采用點估計及相應的95%可信區間進行評價。通過將影響心臟節律識別器敏感性和特異性的95%可信區間與方案中預先指明的具有臨床意義的目標值進行比較,從而判斷受試產品是否滿足方案提出的假設。
該臨床研究中出現的任何不良事件,無論是預期的還是非預期的,均應如實記錄和報告,并由臨床專家分析原因、判斷其與器械的關系。對于嚴重不良事件,按照法規要求及時上報;同時臨床研究人員應當及時做出臨床判斷,采取措施,保護受試者利益;必要時中止臨床研究。不良事件應作為結果變量參加臨床研究的統計分析。
為保證數據的完整性和受試者的安全,以備今后對其進行跟蹤、核查,該臨床研究人員應將所有入組受試者的基本信息和研究數據記錄在中央計算機系統內,以備今后對其進行跟蹤、核查。所有簽署知情同意書并使用了試驗組的受試者必須納入分析。數據的剔除或偏移數據的處理應有科學依據和詳細說明。

站點聲明
本網站所提供的信息僅供參考之用,并不代表本網贊同其觀點,也不代表本網對其真實性負責。圖片版權歸原作者所有,如有侵權請聯系我們,我們立刻刪除。如有關于作品內容、版權或其它問題請于作品發表后的30日內與本站聯系,本網將迅速給您回應并做相關處理。
鄭州思途醫療科技有限公司專注于醫療器械產品政策與法規規事務服務,提供產品注冊備案申報代理、臨床試驗、體系建立輔導、分類界定、申請創新辦理服務。
為深入貫徹落實中共中央辦公廳、國務院辦公廳印發的《關于深化審評審批制度改革鼓勵藥品醫療器械創新的意見》(廳字〔2017〕42號),按照國家藥品監督管理局《關于擴大醫療器械
為規范醫療器械注冊人跨區域委托生產的監督管理,推進長江三角洲區域醫療器械跨區域監管,根據《中共中央辦公廳國務院辦公廳關于深化審評審批制度改革鼓勵藥品醫療器械創新的意見》《
附件:血液透析用水處理設備注冊審查指導原則(2024年修訂版)(2024年第19號).doc血液透析用水處理設備注冊審查指導原則(2024年修訂版)本指導原則旨在指導注冊申請人對血液透析用水處理設備注冊申報資料的準備及撰寫,同時也為技術審評部門提供參考。本指導原則是對血液透析用水處理設備的一般要求,注冊申請人依據產品的具體特性確定其中內容是否適用。若不適用,要具體闡述理由及相應的科學依據,并依據產
為加強醫療器械生產監督管理,規范醫療器械生產質量管理,根據《醫療器械監督管理條例》(國務院令650號)、《醫療器械生產監督管理辦法》(國家食品藥品監督管理總局令第7號)
本指導原則旨在幫助和指導注冊申請人對一次性使用腹部穿刺器注冊申報資料進行準備,以滿足技術審評的基本要求。同時有助于審評機構對該類產品進行科學規范的審評,提高審評工
附件:一次性使用醫用沖洗器產品注冊審查指導原則(2022年第41號).doc一次性使用醫用沖洗器產品注冊審查指導原則本指導原則旨在指導注冊申請人對一次性使用醫用
國家市場監督管理總局令 第47號 《醫療器械注冊與備案管理辦法》已經2021年7月22日市場監管總局第11次局務會議通過,現予公布,自2021年10月1日起施行。 附件: 醫療器械注冊與備案管
附件:重組膠原蛋白創面敷料注冊審查指導原則(2023年第16號).doc重組膠原蛋白創面敷料注冊審查指導原則本指導原則旨在指導注冊申請人準備及撰寫重組膠原蛋白創
國家藥監局藥審中心關于發布《抗腫瘤藥物臨床試驗中SUSAR分析與處理技術指導原則》的通告(2024年第42號) 發布日期:20241010
國家藥監局器審中心關于發布影像型超聲診斷設備(第三類)注冊審查指導原則(2023年修訂版)的通告(2024年第29號)發布時間:2024-10-14為進一步規范
行業資訊
知識分享
八年
醫療器械服務經驗
聯系思途,免費獲得專屬《落地解決方案》及報價
咨詢相關問題或咨詢報價,可以直接與我們聯系
思途CRO——醫療器械注冊臨床第三方平臺
