海南博鰲樂城國際醫療旅游先行區臨床急需進口藥品帶離先行區使用管理暫行辦法(瓊藥監綜〔2020〕3號)
《海南博鰲樂城國際醫療旅游先行區臨床急需進口藥品帶離先行區使用管理暫行辦法》已經3月24日海南博鰲樂城國際醫療旅游先行區領導小組會議審議通過,現印發給你們,請遵照執行
來源:醫療器械注冊代辦 發布日期:2020-12-09 閱讀量:次
附件:泌乳素檢測試劑注冊技術審查指導原則(2020年第80號).doc
本指導原則旨在指導注冊申請人對泌乳素檢測試劑注冊申報資料的準備及撰寫,同時也為技術審評部門審評注冊申報資料提供參考。
本指導原則是對泌乳素檢測試劑的一般要求,申請人應依據產品的具體特性確定其中內容是否適用,若不適用,需具體闡述理由及相應的科學依據,并依據產品的具體特性對注冊申報資料的內容進行充實和細化。

本指導原則是供申請人和審查人員使用的指導文件,不涉及注冊審批等行政事項,亦不作為法規強制執行,如有能夠滿足法規要求的其他方法,也可以采用,但應提供詳細的研究資料和驗證資料。應在遵循相關法規的前提下使用本指導原則。
本指導原則是在現行法規、標準體系及當前認知水平下制定的,隨著法規、標準體系的不斷完善和科學技術的不斷發展,本指導原則相關內容也將適時進行調整。
泌乳素檢測試劑用于體外定量測定人血清或血漿樣本中泌乳素(Prolactin,PRL)的濃度。本指導原則適用于以抗原-抗體反應為基本原理對泌乳素進行定量檢測的體外診斷試劑,如化學發光法、酶聯免疫法或熒光免疫法等,不適用于用膠體金或其他方法標記的半定量測定泌乳素試劑(如試紙條等)。
根據《體外診斷試劑注冊管理辦法》(原國家食品藥品監督管理總局令第5號,以下簡稱《辦法》)和《國家食品藥品監管總局關于印發體外診斷試劑分類子目錄的通知》(食藥監械管〔2013〕242號),泌乳素檢測試劑管理類別為Ⅱ類,分類代號為6840。
本指導原則適用于進行首次注冊申報和相關許可事項變更的產品。
(一)綜述資料
綜述資料主要包括產品預期用途、產品描述、有關生物安全性方面說明、研究結果的總結評價以及同類產品上市情況介紹等內容,應符合《辦法》和《關于公布體外診斷試劑注冊申報資料要求和批準證明文件格式的公告》(國家食品藥品監督管理總局公告2014年第44號)的相關要求。相關描述應至少包含如下內容:
1.產品預期用途及相關的臨床適應癥背景情況
泌乳素(PRL)由垂體嗜酸性細胞分泌,分子量約22000。PRL分子內部有3個二硫鍵,與生長激素(Somatropin,GH)結構具有相似性。PRL的分泌呈脈沖式波動,有明顯的晝夜節律變化。PRL分泌的調節主要是受下丘腦分泌的催乳素釋放抑制激素的控制,是唯一在正常生理條件下處于抑制狀態的腺垂體激素。促甲狀腺激素釋放激素、雌激素以及應激、睡眠等因素均可通過不同途徑促進PRL的分泌。臨床上主要用于評價垂體內分泌功能。
2.產品描述
包括產品所采用的技術原理,主要原材料的來源及制備方法,主要生產工藝過程及關鍵控制點,質控品、校準品的制備方法及定值溯源情況。
3.有關生物安全性方面的說明
由于體外診斷試劑中的主要原材料可能是由各種動物、病原體、人源的組織和體液等生物材料經處理或添加某些物質制備而成,人源性材料須對有關傳染病(HIV、HBV、HCV等)病原體檢測予以說明,并提供相關的證明文件。其他動物源及微生物來源的材料,應當提供相應的說明文件,為保證產品在運輸、使用過程中對使用者和環境的安全,應提供對上述原材料所采用的滅活等試驗方法的說明。
4.有關產品主要研究結果的總結和評價
5.參考文獻
6.其他
包括同類產品在國內外批準上市的情況,相關產品所采用的技術方法及臨床應用情況,申請注冊產品與國內外同類產品的異同等。
(二)主要原材料的研究資料(如需提供)
1.試劑盒所用抗體的制備、篩選、純化以及鑒定等詳細試驗資料。如抗體為申請人自制,則應詳述抗體的名稱及生物學來源,申請人對該抗體技術指標的要求(如外觀、純度、蛋白濃度、效價等),確定該抗體作為主要原材料的依據;如抗體為申請人外購,則應詳述抗體的名稱、生物學來源及唯一追溯信息,外購方名稱,提交外購方出具的抗體性能指標及檢驗證書,詳述申請人對該抗體技術指標的要求以及申請人確定該抗體作為主要原材料的依據,供應商應相對固定。
其他主要原輔料的選擇及驗證資料。申請人應詳述每一原輔料技術指標的要求以及確定該原輔料作為主要原輔料的依據。若為外購,應詳述每一原輔料的外購方名稱并提交外購方出具的每一原輔料性能指標及檢驗證書。
2.質控品、校準品(如有)的原料選擇、制備、定值過程及試驗資料。
申請人應根據GB/T 21415—2008/ ISO 17511:2003《體外診斷醫療器械 生物樣品中量的測量 校準品和控制物質賦值的計量學溯源性》提供所用校準品的來源、賦值過程以及不確定度等內容。
(三)主要生產工藝及反應體系的研究資料(如需提供)
1.主要生產工藝:可以流程圖方式表示,并簡要說明主要生產工藝的確定依據,如各組分制備的工藝、試劑的配方及工藝關鍵參數的確定等。企業應采用經過驗證,能夠保證產品質量的生產工藝。
2.反應體系:包括樣本采集及處理、樣本要求、確定反應校準品、樣本和試劑的用量、緩沖液、濃度、時間、溫度、波長等條件的確認資料及試驗數據,校準方法、質控方法等。
體系中樣本及試劑的加樣方式及添加量確定:應考慮樣本加樣方式、加樣量以及試劑添加順序、添加量對產品檢測結果的影響,通過實驗確定最佳的樣本及試劑的添加方式和添加量。如樣本需采取稀釋或其他必要的方法進行處理后方可用于最終檢測,還應對可用于樣本稀釋的基質或處理方法進行研究,通過實驗確定樣本稀釋基質或處理方法。確定反應所需其他試劑用量(標準品、標記物、底物等)的研究資料。固相載體、信號放大系統、酶作用底物等的介紹及研究資料。
3.不同適用機型的反應條件如果有差異應分別闡述。
(四)分析性能評估資料
申請人應提交對試劑進行的所有性能研究或驗證的研究資料,包括具體研究方法、質控標準、試驗數據、統計分析等詳細資料。性能評估時應將試劑和所選用的校準品、質控品作為一個整體進行評價,評估整個系統的性能是否符合要求。有關分析性能驗證的背景信息也應在申報資料中有所體現,包括試驗地點、適用儀器、試劑規格和批號、所選用的校準品和質控品、臨床樣本來源等,評估應至少涵蓋三個批次產品。具體研究方法建議參照相關國際或國內有關體外診斷產品性能評估的文件進行。
對于本試劑,建議著重對以下分析性能進行研究:
1. 檢出限
企業可預先設定一個濃度作為檢出限,配制5份濃度近似檢出限的低值樣本進行檢測,每份樣本檢測5次,對檢測結果按照大小進行排序,當低于申請人提供的空白限數值的檢測結果數量小于或等于3個,若適用時,無高于生產企業提供的參考區間下限的檢測結果,即可認為申請人預先設定的檢出限符合要求。
空白限可通過對零濃度校準品或樣本稀釋液重復測定20次,計算信號值的平均值(M)和標準差(SD),將(M+2SD)的信號值轉化為濃度值獲得。
2. 線性
建立試劑線性范圍所用的樣本基質應盡可能與臨床實際檢測的樣本相似,理想的樣本為混合人血清(或其他人源樣本),可在合理范圍內進行適當的稀釋。
當建立試劑的線性范圍時,可選擇7~11個不同濃度的樣本,建議比預期的線性范圍寬20%~30%,每個濃度水平重復測定2~4次。評價檢測結果是否呈線性可采用多項回歸的統計方法,或根據產品特性選擇其他方法。根據試驗結果逐漸減少濃度點直至表現出線性關系,確定線性范圍。
驗證線性范圍可將接近線性區間上限的高值樣本按一定比例稀釋至少為5個濃度,其中稀釋的最低濃度樣本須接近線性區間的下限。對每一濃度的樣本至少重復測定2次,計算其平均值,將測定濃度的平均值與理論濃度或稀釋比例用最小二乘法進行直接擬合或根據產品特性選擇其他方法,并計算線性相關系數r,r應不低于0.9900。
注:超出線性范圍的樣本如需稀釋后測定,應進行相關研究,明確稀釋液類型及最大可稀釋倍數,研究過程應注意基質效應影響,必要時提供基質效應研究資料。
3. 準確度
對測量準確度的評價方法一般包括:相對偏差、回收試驗、方法學比對等,申請人可根據實際情況選擇一種或多種方法進行準確度研究。
3.1 試劑盒內校準品與相應濃度的泌乳素國家(或國際)標準品同時進行分析測定,用雙對數或其他適當的數學模型擬合,要求兩條劑量-反應曲線不顯著偏離平行(t檢驗);以泌乳素國家(或國際)標準曲線為對照,試劑盒內校準品的實測值與標示值的效價比應在0.900~1.100之間。
3.2 在試劑盒規定的劑量-反應曲線范圍內檢測泌乳素國家(或國際)標準品,其測量結果的相對偏差應在±10.0%范圍內。
3.3 對于可獲得標準溶液或被測物純品的試劑,可采用回收試驗進行準確度評價。將標準溶液或被測物純品加入到臨床樣本中,配制成回收樣品進行檢測,建議其回收率應在85%~115%范圍內。
注:標準溶液的體積與臨床樣本的體積比應不會產生基質變化,建議標準溶液的體積不超過10%。保證總濃度在方法分析測量范圍內,盡量使加入標準液后樣本中的被測物濃度接近醫學決定水平,每個濃度重復檢測至少3次。
3.4 采用參考方法或國內/國際普遍認為質量較好的已上市同類試劑作為比對方法,與擬申報試劑同時檢測一批臨床樣本(至少40例樣本),比較兩種方法之間的偏倚,如果偏倚在企業規定的允許誤差范圍內,說明兩檢測系統對樣本的測定結果基本相符。樣本濃度應盡量覆蓋試劑的線性范圍并均勻分布。
4. 精密度
精密度的評估應包括2-3個濃度水平的樣本,樣本濃度都應在試劑的線性范圍內,建議至少有一個濃度在醫學決定水平左右。測量精密度的評估一般包括批內精密度、批間精密度的評價。
4.1 批內精密度
對不同濃度的樣品分別重復測定至少10次,手工操作試劑盒測定結果的變異系數(CV)應不高于10.0%,全自動操作試劑盒測定結果的變異系數(CV)應不高于8.0%。
4.2 批間精密度
用三個不同批號試劑盒,對不同濃度的樣品分別重復測定10次,30次測定結果的變異系數(CV)應不高于15.0%。
5. 分析特異性
5.1 交叉反應
與易產生交叉反應的其他類似物的驗證情況,應考慮驗證人生長激素(GH)及其他易產生交叉反應的物質。
5.2 干擾物質
應充分考慮干擾物質對檢測結果的影響。企業可根據實際情況選擇適用的干擾物質進行評價。
常見的內源性干擾因素有溶血(血紅蛋白)、脂血(甘油三酯)、黃疸(膽紅素)等。干擾物濃度的分布應覆蓋人體生理及病理狀態下可能出現的物質濃度。方法為對模擬添加干擾物的樣本分別進行驗證,樣本量選擇應體現一定的統計學意義,說明樣本的制備方法及干擾試驗的評價標準,確定可接受的干擾物質濃度,結果應量化表示。
藥物干擾的研究可根據需要由申請人選擇是否進行或選擇何種藥物及其濃度進行。
5.3 抗凝劑研究
如果試劑適用樣本類型包括血漿樣本,應采用適用抗凝劑(如EDTA、枸櫞酸鈉、肝素等)抗凝的血漿樣本與血清樣本進行對比試驗研究。方法為對比線性范圍內的同一人的血清和血漿樣本來驗證申報試劑對于血清和血漿樣本檢測結果的一致性。
6. HOOK效應
采用一步法夾心法原理檢測的樣本,建議進行HOOK效應研究。
可采用高濃度的泌乳素樣本進行梯度稀釋后逐一檢測,每個梯度濃度重復檢測3-5次,明確不產生HOOK效應的分析物濃度。
7. 校準品溯源及質控品賦值(如適用)
應參照GB/T 21415—2008/ISO 17511:2003《體外診斷醫療器械 生物樣品中量的測量 校準品和控制物質賦值的計量學溯源性》的要求,提供企業(工作)校準品及試劑盒配套校準品定值、不確定度及互換性研究資料,提供質控品賦值及其靶值范圍確定的研究資料。同時,應對校準品、質控品的準確度、均勻性進行評價。
8. 其它需注意問題
8.1 對于適用多個儀器的產品,應提供如產品說明書【適用儀器】項中所列的所有適用儀器的性能評估資料。
8.2 如注冊申請包含不同的包裝規格,需對不同包裝規格進行分析或驗證。如不同的包裝規格產品間存在性能差異,需提交每個包裝規格產品項目評估的試驗資料及總結;如不同包裝規格之間不存在性能差異,需提交包裝規格之間不存在性能差異的詳細說明。
(五)參考區間確定資料
應明確研究采用的樣本來源、詳細的試驗資料、統計方法等。樣本選擇應根據產品的預期用途,考慮不同年齡、性別、地域等因素的影響,納入的樣本應具有代表性。泌乳素在不同性別中濃度水平相差較大,建議參考區間按性別(男性、女性)進行分組。若引用專家共識、臨床指南等的參考區間,應明確說明出處,并進行驗證。
(六)穩定性研究資料
穩定性研究資料主要涉及兩部分內容,申報試劑的穩定性和適用樣本的穩定性研究。
試劑穩定性研究主要包括實時穩定性、開瓶穩定性、運輸穩定性等,申請人應至少提供3個生產批次的實時穩定性研究資料,并提供1個生產批次的開瓶穩定性和運輸穩定性研究資料。若產品為干粉狀態,應提供復溶穩定性的研究資料。穩定性研究資料應包括研究方法的確定依據、具體方法及過程、實驗數據和研究結論,研究應涵蓋產品的主要性能指標。
企業根據申報產品的實際情況確定樣本的保存條件和時間,并提供相應的研究資料。對于可進行冷凍保存的樣本還應對凍融次數進行評價。
試劑穩定性和樣本穩定性的研究結果應分別在說明書【儲存條件及有效期】和【樣本要求】兩項中進行詳細說明。
(七)生產及自檢記錄
提供連續三批產品生產及自檢記錄的復印件。
(八)臨床評價資料
此項目已經列入《關于新修訂免于進行臨床試驗醫療器械目錄的通告》(國家藥品監督管理局通告2018年第94號)中免于進行臨床試驗的體外診斷試劑目錄。根據體外診斷試劑臨床評價的相關要求,申請人可按照《免于進行臨床試驗的體外診斷試劑臨床評價資料基本要求(試行)》(國家食品藥品監督管理總局通告2017年第179號)要求進行臨床評價。如免臨床試驗的相關指導原則有更新,應符合相應的指導原則要求。
如果通過臨床試驗方式進行臨床評價時,臨床試驗的倫理、方案的制定以及報告的撰寫等臨床試驗資料均應符合《關于發布體外診斷試劑臨床試驗技術指導原則的通告》(國家食品藥品監督管理總局通告2014年第16號)及相關法規的要求,同時研究資料的形式應符合《關于公布體外診斷試劑注冊申報資料要求和批準證明文件格式的公告》(國家食品藥品監督管理總局公告2014年第44號)。
臨床研究資料有關的規定如有相應的國家法規發布或更新,按其要求執行。
(九)產品風險分析資料
申請人應考慮產品壽命周期的各個環節,從預期用途、可能的使用錯誤、與安全性有關的特征、已知及可預見的危害等方面的判定以及對患者風險的估計進行風險分析,應符合YY/T 0316—2016《醫療器械 風險管理對醫療器械的應用》的要求。
(十)產品技術要求
申請人應當在原材料質量和生產工藝穩定的前提下,根據注冊申請人產品研制、前期臨床評價等結果,依據國家標準、行業標準及有關文獻,按照《關于發布醫療器械產品技術要求編寫指導原則的通告》(國家食品藥品監督管理總局通告2014年第9號)的有關要求進行產品技術要求編寫。產品技術要求的性能指標應不低于國家/行業標準的要求。
下面就產品技術要求中涉及的產品適用的相關標準和主要性能指標等相關內容作簡要敘述。以下標準如有修訂,以最新發布版本為準。
1. 產品適用的相關標準:
| GB/T 191—2008 | 包裝儲運圖示標志 |
| GB/T 21415—2008 | 體外診斷醫療器械 生物樣品中量的測量 校準品和控制物質賦值的計量學溯源性 |
| YY/T 0466.1—2016 | 醫療器械 用于醫療器械標簽、標記和提供信息的符號 第1部分:通用要求 |
| YY/T 0316—2016 | 醫療器械 風險管理對醫療器械的應用 |
| YY/T 1516—2017 | 泌乳素定量標記免疫分析試劑盒 |
2. 主要性能指標
2.1 外觀
制造商應根據自己產品的包裝特點規定適當的外觀要求。一般應有試劑盒各組分組成、性狀;內外包裝、標簽清晰等的要求。
2.2 空白限
應不高于20.0μIU/mL。
2.3 線性
在制造商給定的線性區間內,相關系數(r)應不低于0.9900。
注:劑量-反應曲線范圍的下限不高于40μIU/mL,上限不低于3000μIU/mL。
2.4 準確度
準確度應符合如下要求之一:
2.4.1試劑盒內校準品與相應濃度的泌乳素國家(或國際)標準品同時進行分析測定,用雙對數或其他適當的數學模型擬合,要求兩條劑量-反應曲線不顯著偏離平行(t檢驗);以泌乳素國家(或國際)標準曲線為對照,試劑盒內校準品的實測值與標示值的效價比應在0.900~1.100之間。
2.4.2在試劑盒規定的劑量-反應曲線范圍內檢測泌乳素國家(或國際)標準品,其測量結果的相對偏差應在±10.0%范圍內。
2.4.3將已知濃度的泌乳素加入到正常血清中,其回收率應在85%~115%范圍內。
2.5 精密度
2.5.1批內精密度
在試劑盒的劑量-反應曲線范圍內,設置2~3個不同濃度的質控品,手工操作試劑盒測定結果的變異系數(CV)應不高于10.0%,全自動操作試劑盒測定結果的變異系數(CV)應不高于8.0%。
2.5.2批間精密度
在3個不同批次產品之間,在試劑盒的劑量-反應曲線范圍內,設置2~3個不同濃度的質控品,測定結果的變異系數(CV)應不高于15.0%。
2.6 特異性
測定濃度為200ng/mL的人生長激素(GH)樣本,其測定結果應不高于20.0μIU/mL。
2.7 穩定性
2.7.1 效期末穩定性
試劑盒在規定條件下保存至有效期末,檢驗結果應符合2.1、2.2、2.3、2.4、2.5.1的規定。
2.7.2 熱穩定性
試劑盒在37℃條件下放置一定時間,檢驗結果應符合2.1、2.2、2.3、2.4、2.5.1的規定。
2.7.3 凍干試劑復溶后穩定性
試劑盒中凍干組分按照規定的條件復溶后,在廠家規定的條件下放置一定時間,檢驗結果應符合2.1、2.2、2.3、2.4、2.5.1的規定。
注1:一般地,效期為1年時選擇不超過1個月的產品,效期為半年時選擇不超過半個月的產品,以此類推。但如果超過規定時間,產品符合要求時也可以接受。
注2:熱穩定性不能用于推導產品有效期,除非是采用基于大量的穩定性研究數據建立的推導公式。
注3:根據產品特性可選擇以上方法中2.7.1或2.7.2之一進行驗證,但所選用方法應能驗證產品的穩定性,以保證在效期內產品性能符合標準要求。
注4:若試劑盒內含凍干校準品等組分,且聲明復溶后放置一定時間后穩定,需進行2.7.3的驗證。
3. 試驗方法
3.1 外觀
采用目測法,在自然光線明亮處目視,應符合2.1的規定。
3.2 空白限
用零濃度校準品或樣本稀釋液作為樣本進行檢測,重復測定20次,計算信號值的平均值(M)和標準差(SD),根據零濃度校準品和相鄰校準品之間的濃度-信號值結果進行兩點回歸擬合得出一次方程,將(M+2SD)的信號值帶入上述方程中,求出對應的濃度值,即為空白限,其結果應符合2.2的規定。
3.3 線性
將接近線性區間上限的高值樣本按一定比例稀釋為至少5個濃度,其中稀釋的最低濃度樣本須接近線性區間的下限。對每一濃度的樣本至少重復測定2次,計算其平均值,將測定濃度的平均值與理論濃度或稀釋比例用最小二乘法進行直線擬合,并計算線性相關系數r,結果應符合2.3的規定。
3.4 準確度
準確度可選擇如下試驗方法之一:
3.4.1用試劑盒緩沖體系將泌乳素國家(或國際)標準品配制成與試劑盒內校準品相應的(一般應不少于5個)濃度點,每點平行測定不少于2次,用雙對數或其他適當的數學模型擬合,計算兩條劑量-反應曲線的斜率,要求兩條劑量-反應曲線不顯著偏離平行(t檢驗);以泌乳素國家(或國際)標準曲線為對照,計算試劑盒內校準品的實測值與標示值的效價比,應符合2.4.1的規定。
3.4.2將泌乳素國家(或國際)標準品配制成一定濃度的準確度樣品進行檢測,重復3次,根據式(1)計算相對偏差,應符合2.4.2的規定。
Bi = (Xi -T)/T×100%………………(1)
式中:Bi—相對偏差;
Xi—樣本的實測濃度;
T—樣本的靶值。
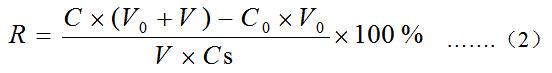
3.4.3將已知濃度的泌乳素(A)加入到正常人血清樣本(B)中,所加入泌乳素與正常人血清之間的體積比例為1:9,根據式(2)計算結果,應符合2.4.3的規定。

式中:R —回收率;
V —樣品A的體積;
V0 —樣品B的體積;
C —樣品B加入樣品A后的檢測濃度;
C0 —樣品B的檢測濃度;
Cs —樣品A的濃度。
3.5 精密度
3.5.1批內精密度
用同一批號試劑盒,對不同濃度的質控品分別重復測定10次,計算測定結果的平均值(X)和標準差(S),根據式(3)得出變異系數(CV),結果應符合2.5.1的規定。

式中:
CV—變異系數;
S—10次測定結果的標準差;
X—10次測量結果的平均值。
3.5.2批間精密度
用3個不同批號試劑盒,對不同濃度的質控品分別重復測定10次,計算測定結果的平均值(X)和標準差(S),根據式(4)得出變異系數(CV),結果應符合2.5.2的規定。

式中:
CV—變異系數;
S—30次測定結果的標準差;
X—30次測量結果的平均值。
3.6 特異性
用試劑盒緩沖體系,將特異性樣本配制成規定的濃度,平行測定2次,其測定結果應符合2.6的規定。
3.7 穩定性
試劑盒按照2.7規定的條件保存后,按照3.1、3.2、3.3、3.4、3.5.1的方法進行檢測,結果應符合2.7的規定。
4. 校準品和質控品(如適用)
4.1 如產品中包含校準品和質控品,應至少評估外觀、裝量(凍干型試劑可不做)、準確性、均勻性、穩定性等項目。凍干型校準品和質控品還應檢測復溶穩定性。
(十一)產品注冊檢驗報告
根據《體外診斷試劑注冊申報資料要求和批準證明文件格式》的要求,應提供具有相應醫療器械檢驗資質和承檢范圍的醫療器械檢驗機構出具的產品注冊檢驗報告和產品技術要求預評價意見。如有相應的國家法規發布或更新,按其要求執行。
(十二)產品說明書
產品說明書承載了產品預期用途、試驗方法、檢測結果解釋以及注意事項等重要信息,是指導實驗室工作人員正確操作、臨床醫生針對檢驗結果給出合理醫學解釋的重要依據。因此,產品說明書是體外診斷試劑注冊申報最重要的文件之一。
產品說明書格式應符合《醫療器械說明書和標簽管理規定》(國家食品藥品監督管理總局令第6號)和《體外診斷試劑說明書編寫指導原則》(國家食品藥品監督管理總局通告2014年第17號)的要求。產品說明書的所有內容均應與申請人提交的注冊申報資料中的相關研究結果保持一致,如某些內容引用自參考文獻,則應以規范格式對此內容進行標注,并單獨列明參考文獻的相關信息。
以下內容僅對泌乳素檢測試劑說明書的重點內容進行詳細說明,說明書其他內容應根據《體外診斷試劑說明書編寫指導原則》要求進行編寫。
產品說明書內容原則上應全部用中文進行表述,如含有國際通用或行業內普遍認可的英文縮寫,可用括號在中文后標明,對于確實無適當中文表述的詞語,可使用相應英文或其縮寫。
1.【產品名稱】
產品名稱由三部分組成:被測物名稱、用途、方法或原理。例如:泌乳素測定試劑(盒)(化學發光法)。
產品的名稱中均不應當出現樣本類型、定性/定量等內容。
2.【包裝規格】
應注明可測試的樣本數或裝量,如××測試/盒、××人份/盒、××mL,除國際通用計量單位外,其余內容均應采用中文進行表述。如不同包裝規格對應不同的機型,應分別明確適用機型。
3.【預期用途】
第一段詳細說明試劑盒用于體外定量檢測人血清/血漿樣本中泌乳素的含量。適用的樣本類型應結合實際的臨床研究情況進行確認。若樣本來源于特殊受試人群,如孕婦、新生兒等,應當予以注明。上述內容均應有相應的分析性能評估資料和臨床評價資料支持。
第二段說明與預期用途相關的臨床適應癥及背景情況,說明相關的臨床或實驗室診斷方法等。
4.【檢驗原理】
詳細說明檢驗原理、方法,必要時可采用圖示方法描述。
5.【主要組成成分】
5.1 對于產品中包含的試劑組分:
5.1.1 說明名稱、數量及在反應體系中的比例或濃度,如果對于正確的操作很重要,應提供其生物學來源、活性及其他特性。
5.1.2 對于多組分試劑盒,明確說明不同批號試劑盒中各組分是否可以互換。
5.1.3 如盒中包含耗材,應列明耗材名稱、數量等信息。如塑料滴管、封板膜、自封袋等。對于產品中不包含,但對該試驗必需的試劑組分,說明書中應列出此類試劑的名稱、純度,提供稀釋或混合方法及其他相關信息。
5.2 對于校準品和質控品:
5.2.1 說明主要組成成分及其生物學來源。
5.2.2 注明校準品的定值及其溯源性。溯源性應寫明溯源的最高級別,包括標準物質或參考物的發布單位及編號。
5.2.3 注明質控品的靶值范圍。如靶值范圍為批特異,可注明批特異,并在適當的位置標明,如附單獨的靶值單。
6.【儲存條件及有效期】
6.1 對試劑盒的效期穩定性、開瓶穩定性等信息做詳細介紹,包括環境溫濕度、避光條件等。如注冊單元含校準品或質控品且其形態為干粉(包含試劑為凍干粉狀態),則應對復溶后的儲存條件、穩定性做詳細介紹。
6.2 保存溫度不應有模糊表述,如“常溫”“室溫”,應直接以℃為單位。
6.3 如試劑盒各組分的穩定性不一致,則應對各組分的儲存條件和有效期分別進行描述。
6.4 對于可以冷凍的試劑應注明凍融次數限制。
6.5 生產日期、使用期限或失效日期(詳見標簽)。
7.【適用儀器】
注明所適用的儀器類型,應細化到具體廠家、型號。如需要可提供與儀器有關的信息以便指導用戶操作。如適用儀器為酶標儀則需給出對酶標儀配置的要求,如適用儀器為非通用的儀器則需寫明其具體型號,避免“系列”。
8.【樣本要求】
應至少在以下幾方面進行說明:
8.1 適用的樣本類型。
8.2 在樣本收集過程中的特別注意事項。采集時間點是否受臨床癥狀、用藥情況等因素的影響,盡量減少由于樣本采集或處理不當對實驗造成的影響。
8.3 為保證樣本各組分穩定所必需的抗凝劑或保護劑等。
8.4 已知的干擾物。
8.5 能夠保證樣本穩定的儲存、處理和運輸方法。冷藏/冷凍樣本檢測前是否需恢復至室溫,凍融次數的要求。
9.【檢驗方法】
為保證試驗的正確進行,詳細說明試驗操作的各個步驟:
9.1 試劑配制:各試劑組分的稀釋、混合及其他必要的程序。
9.2 必須滿足的試驗條件:如pH值、溫度、每一步試驗所需的時間、波長、試劑用量、樣本用量、測定方法、最終反應產物的穩定性等。試驗過程中必須注意的事項。
9.3 校準程序:校準品的準備和使用,校準曲線的繪制方法,推薦的校準周期,以及何種情況須重新校準。
9.4 質量控制程序:質控品的使用、質量控制方法、注意事項、對質控結果的必要解釋以及推薦的質控周期等。
9.5 試驗結果的計算或讀取,包括對每個系數及對每個計算步驟的解釋。如果可能,應舉例說明。
10.【參考區間】
分別說明常用樣本類型的參考區間,并簡要說明參考區間的確定方法。建議注明以下字樣“由于地理、人種、性別等差異,建議各實驗室建立自己的參考區間”。
11.【檢驗結果的解釋】
應根據其臨床意義對可能出現的結果進行合理的解釋。說明在何種情況下應對樣本進行重復測試,以及在重復測試時需要采取的樣本處理方式。
12.【檢驗方法的局限性】
說明該檢驗方法的局限性,如試劑盒的檢測結果僅供臨床參考,不能單獨作為確診或排除病例的依據,為達到診斷目的,此檢測結果要與臨床檢查、病史和其他的檢查結果結合使用。
13.【產品性能指標】
說明該產品的主要性能指標。泌乳素的主要性能指標包括空白限、線性、準確度、精密度等。
14.【注意事項】
注明必要的注意事項,如本品僅用于體外診斷等。
如該產品含有人源或動物源性物質,應給出具有潛在感染性的警告。如:試劑盒內的質控品、校準品或其他人源組分,雖已經通過了HBs-Ag、HIV1/2-Ab、HCV-Ab等項目的檢測,但截至目前,沒有任何一項檢測可以確保絕對安全,故仍應將這些組分作為潛在傳染源對待。廢棄物的處理方式。對所有樣本和反應廢棄物都應視為傳染源進行處理。
說明檢測過程中應嚴格按照說明書提供的操作步驟及相關實驗室規范要求進行操作,否則可能對結果造成的影響。
15.【標識的解釋】
如有圖形或符號,請解釋其代表的意義。可參考相關標準YY/T 0466.1—2016《醫療器械 用于醫療器械標簽、標記和提供信息的符號 第1部分:通用要求》。
16.【參考文獻】
注明引用參考文獻,其書寫應清楚、易查詢且格式規范統一,符合相關標準要求。
17.【基本信息】
17.1 境內體外診斷試劑:
注冊人與生產企業為同一企業的,按以下格式標注基本信息:注冊人/生產企業名稱,住所,聯系方式,售后服務單位名稱,聯系方式,生產地址,生產許可證編號或者生產備案憑證編號。
委托生產的按照以下格式標注基本信息:注冊人名稱,住所,聯系方式,售后服務單位名稱,聯系方式,受托企業的名稱,住所,生產地址,生產許可證編號或者生產備案憑證編號。
17.2 進口體外診斷試劑:
按照以下格式標注基本信息:注冊人/生產企業名稱,住所,生產地址,聯系方式,售后服務單位名稱,聯系方式,代理人的名稱,住所,聯系方式。
18.【醫療器械注冊證編號/產品技術要求編號】
應當寫明醫療器械注冊證編號/產品技術要求編號。
19.【說明書核準日期及修改日期】
應注明該產品說明書的核準日期。如曾進行過說明書的變更申請,還應該同時注明說明書的修改日期。
技術要求中性能指標的設定及檢驗方法是否符合相關行業標準的要求,技術要求的格式是否符合《醫療器械產品技術要求編寫指導原則》(國家食品藥品監督管理總局通告2014年第9號)的相關規定。
產品說明書的編寫內容及格式是否符合《體外診斷試劑說明書編寫指導原則》(國家食品藥品監督管理總局通告2014年第17號)的要求,相關內容是否符合《醫療器械說明書和標簽管理規定》(國家食品藥品監督管理總局令第6號)中對說明書的要求。
分析性能評估指標及結果是否滿足產品技術要求的規定,是否滿足本規范中各指標驗證的要求。
參考區間或陽性判斷值確定使用的方法是否合理,數據統計是否符合統計學的相關要求,結論是否和說明書聲稱一致。
穩定性研究方法是否合理,穩定性結論是否和說明書聲稱一致。
產品風險分析資料的撰寫是否符合YY/T 0316—2016《醫療器械 風險管理對醫療器械的應用》的要求。
江蘇省食品藥品監督管理局認證審評中心

站點聲明
本網站所提供的信息僅供參考之用,并不代表本網贊同其觀點,也不代表本網對其真實性負責。圖片版權歸原作者所有,如有侵權請聯系我們,我們立刻刪除。如有關于作品內容、版權或其它問題請于作品發表后的30日內與本站聯系,本網將迅速給您回應并做相關處理。
鄭州思途醫療科技有限公司專注于醫療器械產品政策與法規規事務服務,提供產品注冊備案申報代理、臨床試驗、體系建立輔導、分類界定、申請創新辦理服務。
《海南博鰲樂城國際醫療旅游先行區臨床急需進口藥品帶離先行區使用管理暫行辦法》已經3月24日海南博鰲樂城國際醫療旅游先行區領導小組會議審議通過,現印發給你們,請遵照執行
為深入貫徹落實中共中央辦公廳、國務院辦公廳印發的《關于深化審評審批制度改革鼓勵藥品醫療器械創新的意見》(廳字〔2017〕42號),按照國家藥品監督管理局《關于擴大醫療器械
為規范醫療器械注冊人跨區域委托生產的監督管理,推進長江三角洲區域醫療器械跨區域監管,根據《中共中央辦公廳國務院辦公廳關于深化審評審批制度改革鼓勵藥品醫療器械創新的意見》《
《海南博鰲樂城國際醫療旅游先行區醫療機構制劑調劑使用管理暫行辦法》已經3月24日海南博鰲樂城國際醫療旅游先行區領導小組會議審議通過,現印發給你們,請遵照執行。
附件:血液透析用水處理設備注冊審查指導原則(2024年修訂版)(2024年第19號).doc血液透析用水處理設備注冊審查指導原則(2024年修訂版)本指導原則旨在指導注冊申請人對血液透析用水處理設備注冊申報資料的準備及撰寫,同時也為技術審評部門提供參考。本指導原則是對血液透析用水處理設備的一般要求,注冊申請人依據產品的具體特性確定其中內容是否適用。若不適用,要具體闡述理由及相應的科學依據,并依據產
為加強醫療器械生產監督管理,規范醫療器械生產質量管理,根據《醫療器械監督管理條例》(國務院令650號)、《醫療器械生產監督管理辦法》(國家食品藥品監督管理總局令第7號)
本指導原則旨在幫助和指導注冊申請人對一次性使用腹部穿刺器注冊申報資料進行準備,以滿足技術審評的基本要求。同時有助于審評機構對該類產品進行科學規范的審評,提高審評工
附件:重組膠原蛋白創面敷料注冊審查指導原則(2023年第16號).doc重組膠原蛋白創面敷料注冊審查指導原則本指導原則旨在指導注冊申請人準備及撰寫重組膠原蛋白創
國家藥監局關于發布免于臨床試驗的體外診斷試劑臨床評價技術指導原則的通告(2021年第74號)發布時間:2021-09-24為指導體外診斷試劑的臨床評價工作,根據
國家市場監督管理總局令 第47號 《醫療器械注冊與備案管理辦法》已經2021年7月22日市場監管總局第11次局務會議通過,現予公布,自2021年10月1日起施行。 附件: 醫療器械注冊與備案管
行業資訊
知識分享
八年
醫療器械服務經驗
聯系思途,免費獲得專屬《落地解決方案》及報價
咨詢相關問題或咨詢報價,可以直接與我們聯系
思途CRO——醫療器械注冊臨床第三方平臺
