血液透析用水處理設備注冊審查指導原則(2024年修訂版)(2024年第19號)
附件:血液透析用水處理設備注冊審查指導原則(2024年修訂版)(2024年第19號).doc血液透析用水處理設備注冊審查指導原則(2024年修訂版)本指導原則旨在指導注冊申請人對血液透析用水處理設備注冊申報資料的準備及撰寫,同時也為技術審評部門提供參考。本指導原則是對血液透析用水處理設備的一般要求,注冊申請人依據產品的具體特性確定其中內容是否適用。若不適用,要具體闡述理由及相應的科學依據,并依據產
來源:醫療器械注冊代辦 發布日期:2011-03-24 閱讀量:次
附件:體外診斷試劑分析性能評估(準確度-方法學比對)技術審查指導原則(食藥監辦械函[2011]116號).doc
準確度評估資料是評價擬上市產品有效性的重要依據,也是產品注冊所需的重要申報資料之一。定量檢測方法的方法學比對試驗是評估準確度的方法之一,可以與參考方法或臨床公認質量較好的已上市產品進行比對。
本指導原則基于國家食品藥品監督管理局《體外診斷試劑注冊管理辦法(試行)》的有關要求,參考CLSI有關標準,對采用方法學比對進行準確度評估的實驗方法和數據處理方法進行了原則性要求。其目的是為生產企業采用方法學比對進行準確度評估并準備準確度評估資料提供原則性指導,也為注冊管理部門審核該部分分析性能評估資料提供技術參考。
由于體外診斷試劑產品發展速度快、專業跨度大,國家食品藥品監督管理局將根據體外診斷試劑發展的需要,適時對本指導原則進行修訂。
本指導原則適用于首次申請注冊、申請許可事項變更的用于定量檢測的體外診斷產品。因體外診斷產品評價是將儀器、試劑、質控品、校準品等作為一個系統進行評價,因此方法學比對的評價采用系統的概念進行描述。如特殊產品不適用于本指導原則,可進行詳細說明并采用適當的方法進行準確度評價。
(一)方法學比對實驗的基本要求
1.操作者應熟悉待評價系統和比對系統的操作。
2.編寫系統標準操作規程,其中包括校準程序和室內質控程序,采用合適的校準品、質控品并保持儀器處于正常狀態。
3.比對系統的選擇
比對系統應具有以下條件:
(1)具有比待評價系統更好的精密度;
(2)同待評價系統檢測結果具有相同的單位;
(3)如有參考方法應具有與參考方法已知的偏差。
比對系統應該選擇正確性經過驗證的系統,根據實際條件,選擇的順序如下:參考方法、原裝系統、配套系統、經過驗證的非配套系統。
4.待評價系統的處理
進行方法學對比實驗前,應該對待評價系統進行初步評價,并且對待評價系統進行精密度及線性的評價(參考相關標準),只有在以上評價完成并且符合相關標準要求后,才可進行方法學對比實驗。
(二)方法學比對實驗的評估及數據處理方法
1.實驗樣本的基本要求
(1)按照實驗對樣本的要求收集處理病人樣本,樣本貯存時間及條件由被測組分的穩定性而定,盡可能避免使用貯存的樣本。
(2)樣本應來自于不同患者,并且此患者所患疾病對于被測組分的影響應該是已知的,樣本不應含有干擾此方法的組分。
(3)樣本濃度應在方法的線性范圍內,并覆蓋醫學決定水平。通常基本從線性范圍的低限到線性范圍的高限(應至少有50%的樣本在參考范圍以外,但在線性范圍內)。分析樣本的濃度應盡可能在線性范圍內均勻分布。商品質控物或者校準物可能存在基質效應,應避免使用。
2.實驗過程
(1)每天選擇8個臨床患者樣本,按1到8的順序編號。用兩種方法同時進行實驗,按照1,2,3,4,5,6,7,8,8,7,6,5,4,3,2,1的樣本順序進行測定。
(2)以上實驗至少重復5天,即至少分析40個不同的臨床患者樣本。每天實驗必須進行校準和室內質控,只有在室內質控合格的情況下,當天的實驗室數據才有效。
3.數據處理及結果報告
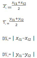
(1)記錄測定結果(Xij和Yij),
Xij 為比對系統測定值
Yij為待評價系統測定值
i為測定樣本的序號(1、2、3...40)
j為同一樣本同一天測定的次序(1、2)
(2)計算每個樣本測定的均值(Xi和Yi),樣本重復測定間差值的絕對值(DXi和DYi)及兩種方法測定結果間的均值差值(Yi-Xi)。相關實驗記錄見表1。
表1
| 比對系統 | 待評價系統 | |||||||
| 樣本編號i | Xi1 | Xi2 | Xi | DXi | Yi1 | Yi2 | Yi | DYi |
| 1 | ||||||||
| 2 | ||||||||
| 3 | ||||||||
| 4 | ||||||||
| ┆ | ||||||||
| 40 | ||||||||
注: i=1、2┄40。
![體外診斷試劑分析性能評估(準確度-方法學比對)技術審查指導原則(食藥監辦械函[2011]116號)(圖1) 體外診斷試劑分析性能評估(準確度—方法學比對)技術審查指導原則(食藥監辦械函[2011]116號)(圖1)](/uploads/allimg/220114/112ICT8-0.png)
(3)以Yi對Xi作散點圖。
(4)以(Yi-Xi)對做偏倚圖。
(5)以(Yij-Xij)對做偏倚圖。
(6)檢查批內離群點:計算樣本重復測定間差值(DXi 和DYi)的平均數,
![體外診斷試劑分析性能評估(準確度-方法學比對)技術審查指導原則(食藥監辦械函[2011]116號)(圖7) 體外診斷試劑分析性能評估(準確度—方法學比對)技術審查指導原則(食藥監辦械函[2011]116號)(圖2)](/uploads/allimg/220114/112IA1K-6.png)
樣本重復測定間差值超出該平均數4倍時,則判斷為離群點,如離群點超過1個時,整組數據應舍棄,尋找原因后重新進行評價。如離群點為1個,可以補充數據后重新進行統計。
(7)檢查批間離群點:計算兩種方法測定結果間均值差值(│Yi-Xi│)的平均數,如兩種方法測定結果間均值差值超出該平均數4倍時,則判斷該樣本為離群點,如離群點超過1個時,整組數據應舍棄,尋找原因后重新進行評價。如離群點為1個,可以補充數據后重新進行統計。
(8)相關系數計算:利用所有樣本雙份測定值進行相關系數計算,如果r≥0.975(或r2≥0.95),則認為選擇的數據范圍適合,數據滿足要求。該分析的誤差可以由數據范圍給以適當補償,并且可以采用簡單的線性回歸來評價斜率和截距。
如果r2<0.95,那么必須通過分析另外一些樣品以擴大數據范圍,然后再檢查全部數據系列,如仍然r2<0.95,則應尋找待評價方法存在的缺陷,糾正后重新進行試驗。
對于某些免疫項目,可適當放寬標準,原則上r2≥0.90,則認為數據范圍適合,數據滿足要求。
(9)回歸計算:利用所有樣本雙份測定的有效數據,計算兩個方法間的線性回歸方程:Y= bX+a。
(10)偏差估計:在醫學決定水平,利用回歸方程計算預期偏差,預期偏差Bx=a+(b-1)X,相對偏差=Bx/X。
(11)結果評估:結果至少應滿足相關國際及國家標準,同時滿足臨床需求。
(一)采用的患者樣本對于被測組分的影響應該是已知的,樣本不應含有干擾此檢測方法的組分。
(二)樣本貯存時間及條件由被測組分的穩定性而定,盡可能避免使用貯存的樣本。
(三)實驗前必須對待評價系統進行精密度及線性的評價,評價合格后方可進行實驗。
(一)待評價系統:擬進行性能評估的產品。
(二)比對系統:參考方法(系統)或臨床公認質量較好的已上市產品。
EP9-A2: Method comparison and bias estimation using patient samples; Approved Guideline-Second Edition.

站點聲明
本網站所提供的信息僅供參考之用,并不代表本網贊同其觀點,也不代表本網對其真實性負責。圖片版權歸原作者所有,如有侵權請聯系我們,我們立刻刪除。如有關于作品內容、版權或其它問題請于作品發表后的30日內與本站聯系,本網將迅速給您回應并做相關處理。
鄭州思途醫療科技有限公司專注于醫療器械產品政策與法規規事務服務,提供產品注冊備案申報代理、臨床試驗、體系建立輔導、分類界定、申請創新辦理服務。
附件:血液透析用水處理設備注冊審查指導原則(2024年修訂版)(2024年第19號).doc血液透析用水處理設備注冊審查指導原則(2024年修訂版)本指導原則旨在指導注冊申請人對血液透析用水處理設備注冊申報資料的準備及撰寫,同時也為技術審評部門提供參考。本指導原則是對血液透析用水處理設備的一般要求,注冊申請人依據產品的具體特性確定其中內容是否適用。若不適用,要具體闡述理由及相應的科學依據,并依據產
本指導原則旨在幫助和指導注冊申請人對一次性使用腹部穿刺器注冊申報資料進行準備,以滿足技術審評的基本要求。同時有助于審評機構對該類產品進行科學規范的審評,提高審評工
附件:重組膠原蛋白創面敷料注冊審查指導原則(2023年第16號).doc重組膠原蛋白創面敷料注冊審查指導原則本指導原則旨在指導注冊申請人準備及撰寫重組膠原蛋白創
國家藥監局關于發布免于臨床試驗的體外診斷試劑臨床評價技術指導原則的通告(2021年第74號)發布時間:2021-09-24為指導體外診斷試劑的臨床評價工作,根據
國家藥監局藥審中心關于發布《抗腫瘤藥物臨床試驗中SUSAR分析與處理技術指導原則》的通告(2024年第42號) 發布日期:20241010
國家藥監局器審中心關于發布影像型超聲診斷設備(第三類)注冊審查指導原則(2023年修訂版)的通告(2024年第29號)發布時間:2024-10-14為進一步規范
附件:一次性使用醫用沖洗器產品注冊審查指導原則(2022年第41號).doc一次性使用醫用沖洗器產品注冊審查指導原則本指導原則旨在指導注冊申請人對一次性使用醫用
附件:醫用透明質酸鈉創面敷料注冊審查指導原則(2024年第21號).doc醫用透明質酸鈉創面敷料注冊審查指導原則本指導原則旨在指導注冊申請人準備及撰寫醫用透明質酸鈉創面敷料注冊申報資料,同時也為技術審評部門審查注冊申報資料提供參考。本指導原則是對醫用透明質酸鈉創面敷料產品的一般要求,注冊申請人應依據產品的具體特性確定其中內容是否適用,若不適用,需具體闡述理由及相應的科學依據,并依據產品的具體特性對
為提高醫療器械技術審評的規范性和科學性,指導醫療器械注冊人/備案人編寫產品技術要求,根據《醫療器械監督管理條例》及《醫療器械注冊與備案管理辦法》《體外診斷試劑注冊與
本指導原則是對腸內營養泵的常規性要求,指導原則中的條款若不適用,需具體闡述理由及相應的科學依據,并依據產品的具體特性對注冊申報資料的內容進行充實和細化。
行業資訊
知識分享
八年
醫療器械服務經驗
聯系思途,免費獲得專屬《落地解決方案》及報價
咨詢相關問題或咨詢報價,可以直接與我們聯系
思途CRO——醫療器械注冊臨床第三方平臺
